Номер 2.283, страница 111 - гдз по алгебре 7 класс учебник Арефьева, Пирютко

Алгебра, 7 класс Учебник, авторы: Арефьева Ирина Глебовна, Пирютко Ольга Николаевна, издательство Народная асвета, Минск, 2022, зелёного цвета

Авторы: Арефьева И. Г., Пирютко О. Н.

Тип: Учебник

Издательство: Народная асвета

Год издания: 2022 - 2025

Цвет обложки: зелёный с графиком

ISBN: ISBN 978-985-03-3770-2

Допущено Министерством образования Республики Беларусь

Популярные ГДЗ в 7 классе

Глава 2. Выражения и их преобразования. Параграф 12. Формулы сокращенного умножения: квадрат суммы и квадрат разности двух выражений - номер 2.283, страница 111.

№2.283 (с. 111)
Условие. №2.283 (с. 111)
скриншот условия
Алгебра, 7 класс Учебник, авторы: Арефьева Ирина Глебовна, Пирютко Ольга Николаевна, издательство Народная асвета, Минск, 2022, зелёного цвета, страница 111, номер 2.283, Условие

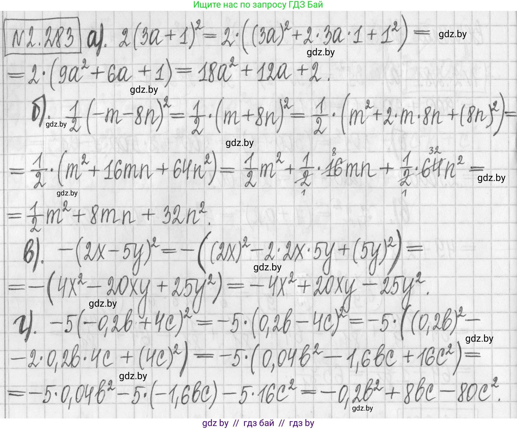
2.283. Упростите выражение:

а) $2(3a + 1)^2$;

б) $\frac{1}{2}(-m - 8n)^2$;

в) $-(2x - 5y)^2$;

г) $-5(-0,2b + 4c)^2$.

Решение. №2.283 (с. 111)
Алгебра, 7 класс Учебник, авторы: Арефьева Ирина Глебовна, Пирютко Ольга Николаевна, издательство Народная асвета, Минск, 2022, зелёного цвета, страница 111, номер 2.283, Решение
Решение 2. №2.283 (с. 111)

а) $2(3a + 1)²$

Для упрощения этого выражения сначала используем формулу квадрата суммы $(x+y)² = x² + 2xy + y²$, чтобы раскрыть скобки $(3a + 1)²$.

$(3a + 1)² = (3a)² + 2 \cdot 3a \cdot 1 + 1² = 9a² + 6a + 1$

Теперь подставим полученное выражение обратно и умножим на 2:

$2(9a² + 6a + 1) = 2 \cdot 9a² + 2 \cdot 6a + 2 \cdot 1 = 18a² + 12a + 2$

Ответ: $18a² + 12a + 2$

б) $\frac{1}{2}(-m - 8n)²$

Сначала заметим, что $(-m - 8n)² = (-(m + 8n))² = (m + 8n)²$. Таким образом, выражение можно переписать как:

$\frac{1}{2}(m + 8n)²$

Теперь используем формулу квадрата суммы $(x+y)² = x² + 2xy + y²$ для раскрытия скобок $(m + 8n)²$.

$(m + 8n)² = m² + 2 \cdot m \cdot 8n + (8n)² = m² + 16mn + 64n²$

Подставляем обратно и умножаем на $\frac{1}{2}$:

$\frac{1}{2}(m² + 16mn + 64n²) = \frac{1}{2}m² + \frac{1}{2} \cdot 16mn + \frac{1}{2} \cdot 64n² = \frac{1}{2}m² + 8mn + 32n²$

Ответ: $\frac{1}{2}m² + 8mn + 32n²$

в) $-(2x - 5y)²$

Для упрощения этого выражения сначала используем формулу квадрата разности $(x-y)² = x² - 2xy + y²$, чтобы раскрыть скобки $(2x - 5y)²$.

$(2x - 5y)² = (2x)² - 2 \cdot 2x \cdot 5y + (5y)² = 4x² - 20xy + 25y²$

Теперь применим знак минуса ко всему выражению в скобках:

$-(4x² - 20xy + 25y²) = -4x² + 20xy - 25y²$

Ответ: $-4x² + 20xy - 25y²$

г) $-5(-0{,}2b + 4c)²$

Сначала раскроем скобки $(-0,2b + 4c)²$. Удобнее переставить слагаемые $(4c - 0,2b)²$ и использовать формулу квадрата разности $(x-y)² = x² - 2xy + y²$.

$(4c - 0.2b)² = (4c)² - 2 \cdot 4c \cdot 0.2b + (0.2b)² = 16c² - 1.6bc + 0.04b²$

Теперь подставим полученное выражение обратно и умножим на -5:

$-5(16c² - 1.6bc + 0.04b²) = -5 \cdot 16c² - 5 \cdot (-1.6bc) - 5 \cdot 0.04b² = -80c² + 8bc - 0.2b²$

Запишем в стандартном порядке по переменной $b$:

$-0.2b² + 8bc - 80c²$

Ответ: $-0.2b² + 8bc - 80c²$

Помогло решение? Оставьте отзыв в комментариях ниже.

Присоединяйтесь к Телеграм-группе @gdz_by_belarus

Присоединиться

Мы подготовили для вас ответ c подробным объяснением домашего задания по алгебре за 7 класс, для упражнения номер 2.283 расположенного на странице 111 к учебнику 2022 года издания для учащихся школ и гимназий.

Теперь на нашем сайте ГДЗ.ТОП вы всегда легко и бесплатно найдёте условие с правильным ответом на вопрос «Как решить ДЗ» и «Как сделать» задание по алгебре к упражнению №2.283 (с. 111), авторов: Арефьева (Ирина Глебовна), Пирютко (Ольга Николаевна), учебного пособия издательства Народная асвета.