Номер 2.287, страница 112 - гдз по алгебре 7 класс учебник Арефьева, Пирютко

Алгебра, 7 класс Учебник, авторы: Арефьева Ирина Глебовна, Пирютко Ольга Николаевна, издательство Народная асвета, Минск, 2022, зелёного цвета

Авторы: Арефьева И. Г., Пирютко О. Н.

Тип: Учебник

Издательство: Народная асвета

Год издания: 2022 - 2025

Цвет обложки: зелёный с графиком

ISBN: ISBN 978-985-03-3770-2

Допущено Министерством образования Республики Беларусь

Популярные ГДЗ в 7 классе

Глава 2. Выражения и их преобразования. Параграф 12. Формулы сокращенного умножения: квадрат суммы и квадрат разности двух выражений - номер 2.287, страница 112.

№2.287 (с. 112)
Условие. №2.287 (с. 112)
скриншот условия
Алгебра, 7 класс Учебник, авторы: Арефьева Ирина Глебовна, Пирютко Ольга Николаевна, издательство Народная асвета, Минск, 2022, зелёного цвета, страница 112, номер 2.287, Условие

2.287. Решите уравнение:

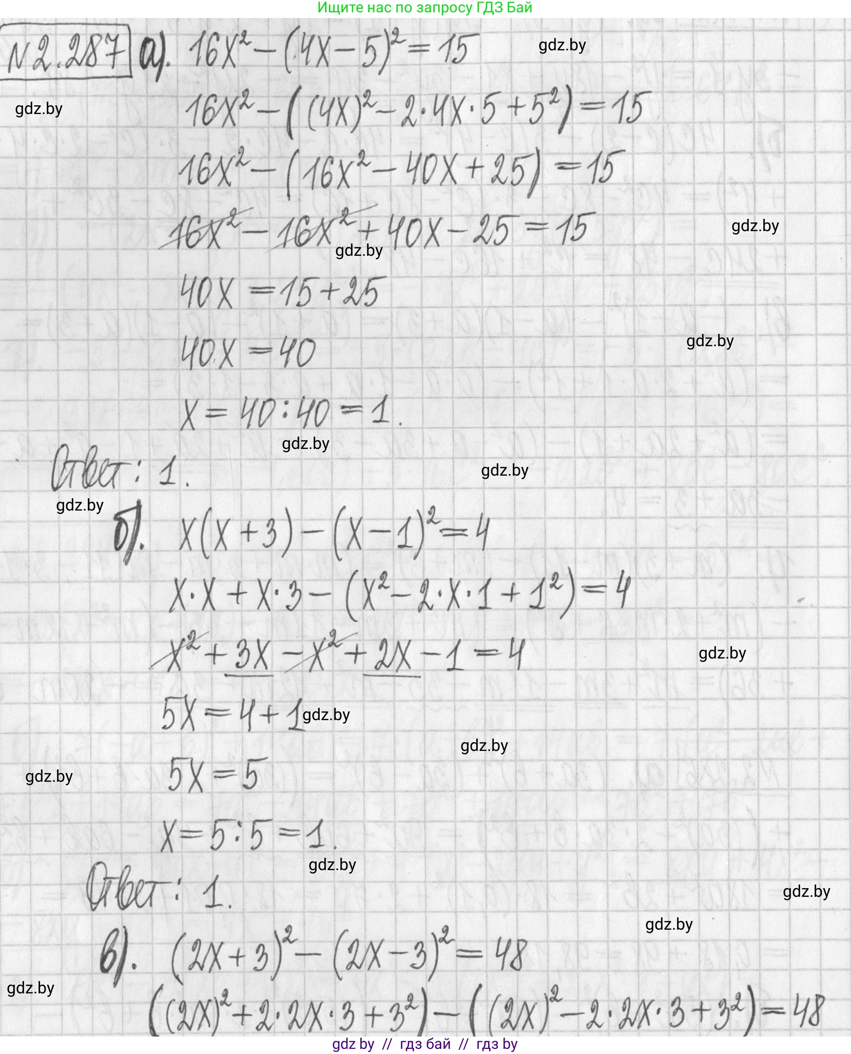
а) $16x^2 - (4x - 5)^2 = 15;$

б) $x(x + 3) - (x - 1)^2 = 4;$

в) $(2x + 3)^2 - (2x - 3)^2 = 48.$

Решение. №2.287 (с. 112)
Алгебра, 7 класс Учебник, авторы: Арефьева Ирина Глебовна, Пирютко Ольга Николаевна, издательство Народная асвета, Минск, 2022, зелёного цвета, страница 112, номер 2.287, Решение Алгебра, 7 класс Учебник, авторы: Арефьева Ирина Глебовна, Пирютко Ольга Николаевна, издательство Народная асвета, Минск, 2022, зелёного цвета, страница 112, номер 2.287, Решение (продолжение 2)
Решение 2. №2.287 (с. 112)

а) $16x^2 - (4x - 5)^2 = 15$

Данное уравнение можно решить, используя формулу разности квадратов $a^2 - b^2 = (a-b)(a+b)$. Для этого представим $16x^2$ в виде $(4x)^2$.

$(4x)^2 - (4x - 5)^2 = 15$

Применим формулу, где $a = 4x$ и $b = 4x - 5$:

$(4x - (4x - 5))(4x + (4x - 5)) = 15$

Раскроем внутренние скобки в каждом множителе:

$(4x - 4x + 5)(4x + 4x - 5) = 15$

Упростим выражения в скобках:

$(5)(8x - 5) = 15$

Теперь раскроем скобки и решим полученное линейное уравнение:

$40x - 25 = 15$

$40x = 15 + 25$

$40x = 40$

$x = \frac{40}{40}$

$x = 1$

Ответ: 1


б) $x(x + 3) - (x - 1)^2 = 4$

Для решения этого уравнения раскроем скобки. Выражение $(x-1)^2$ раскроем по формуле квадрата разности $(a-b)^2 = a^2 - 2ab + b^2$.

$(x^2 + 3x) - (x^2 - 2x + 1) = 4$

Раскроем скобки, обращая внимание на знак "минус" перед ними:

$x^2 + 3x - x^2 + 2x - 1 = 4$

Приведем подобные слагаемые:

$(x^2 - x^2) + (3x + 2x) - 1 = 4$

$5x - 1 = 4$

Перенесем -1 в правую часть уравнения:

$5x = 4 + 1$

$5x = 5$

$x = \frac{5}{5}$

$x = 1$

Ответ: 1


в) $(2x + 3)^2 - (2x - 3)^2 = 48$

Это уравнение также удобно решить с помощью формулы разности квадратов $a^2 - b^2 = (a-b)(a+b)$, где $a = 2x+3$ и $b = 2x-3$.

$((2x + 3) - (2x - 3))((2x + 3) + (2x - 3)) = 48$

Упростим выражения в каждой из скобок:

$(2x + 3 - 2x + 3)(2x + 3 + 2x - 3) = 48$

$(6)(4x) = 48$

Выполним умножение в левой части:

$24x = 48$

Найдем $x$:

$x = \frac{48}{24}$

$x = 2$

Ответ: 2

Помогло решение? Оставьте отзыв в комментариях ниже.

Присоединяйтесь к Телеграм-группе @gdz_by_belarus

Присоединиться

Мы подготовили для вас ответ c подробным объяснением домашего задания по алгебре за 7 класс, для упражнения номер 2.287 расположенного на странице 112 к учебнику 2022 года издания для учащихся школ и гимназий.

Теперь на нашем сайте ГДЗ.ТОП вы всегда легко и бесплатно найдёте условие с правильным ответом на вопрос «Как решить ДЗ» и «Как сделать» задание по алгебре к упражнению №2.287 (с. 112), авторов: Арефьева (Ирина Глебовна), Пирютко (Ольга Николаевна), учебного пособия издательства Народная асвета.