Номер 1.228, страница 66 - гдз по алгебре 9 класс учебник Арефьева, Пирютко

Алгебра, 9 класс Учебник, авторы: Арефьева Ирина Глебовна, Пирютко Ольга Николаевна, издательство Народная асвета, Минск, 2019, голубого цвета

Авторы: Арефьева И. Г., Пирютко О. Н.

Тип: Учебник

Издательство: Народная асвета

Год издания: 2019 - 2025

Цвет обложки: голубой, синий с графиком

ISBN: 978-985-03-3077-2

Допущено Министерством образования Республики Беларусь

Популярные ГДЗ в 9 классе

Глава 1. Рациональные выражения. Параграф 5. Преобразования рациональных выражений - номер 1.228, страница 66.

№1.228 (с. 66)
Условие. №1.228 (с. 66)
скриншот условия
Алгебра, 9 класс Учебник, авторы: Арефьева Ирина Глебовна, Пирютко Ольга Николаевна, издательство Народная асвета, Минск, 2019, голубого цвета, страница 66, номер 1.228, Условие

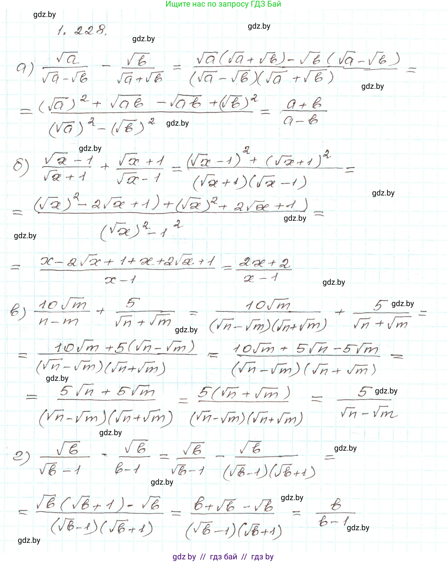
1.228. Выполните действия:

а) $\frac{\sqrt{a}}{\sqrt{a}-\sqrt{b}} - \frac{\sqrt{b}}{\sqrt{a}+\sqrt{b}};

б) $\frac{\sqrt{x}-1}{\sqrt{x}+1} + \frac{\sqrt{x}+1}{\sqrt{x}-1};

В) $\frac{10\sqrt{m}}{n-m} + \frac{5}{\sqrt{n}+\sqrt{m}};

Г) $\frac{\sqrt{b}}{\sqrt{b}-1} - \frac{\sqrt{b}}{b-1}$.

Решение. №1.228 (с. 66)
Алгебра, 9 класс Учебник, авторы: Арефьева Ирина Глебовна, Пирютко Ольга Николаевна, издательство Народная асвета, Минск, 2019, голубого цвета, страница 66, номер 1.228, Решение
Решение 2. №1.228 (с. 66)
а)

Чтобы выполнить вычитание дробей $\frac{\sqrt{a}}{\sqrt{a}-\sqrt{b}} - \frac{\sqrt{b}}{\sqrt{a}+\sqrt{b}}$, приведем их к общему знаменателю. Общим знаменателем является произведение знаменателей $(\sqrt{a}-\sqrt{b})(\sqrt{a}+\sqrt{b})$.

Используя формулу разности квадратов $(x-y)(x+y) = x^2 - y^2$, упростим знаменатель: $(\sqrt{a}-\sqrt{b})(\sqrt{a}+\sqrt{b}) = (\sqrt{a})^2 - (\sqrt{b})^2 = a-b$.

Теперь приведем дроби к общему знаменателю и выполним вычитание:

$\frac{\sqrt{a}(\sqrt{a}+\sqrt{b})}{(\sqrt{a}-\sqrt{b})(\sqrt{a}+\sqrt{b})} - \frac{\sqrt{b}(\sqrt{a}-\sqrt{b})}{(\sqrt{a}+\sqrt{b})(\sqrt{a}-\sqrt{b})} = \frac{\sqrt{a}(\sqrt{a}+\sqrt{b}) - \sqrt{b}(\sqrt{a}-\sqrt{b})}{a-b}$

Раскроем скобки в числителе:

$\frac{a + \sqrt{ab} - \sqrt{ab} + b}{a-b} = \frac{a+b}{a-b}$

Выделим целую часть из полученной неправильной дроби:

$\frac{a+b}{a-b} = \frac{(a-b) + 2b}{a-b} = \frac{a-b}{a-b} + \frac{2b}{a-b} = 1 + \frac{2b}{a-b}$

Ответ: $1 + \frac{2b}{a-b}$

б)

Для сложения дробей $\frac{\sqrt{x}-1}{\sqrt{x}+1} + \frac{\sqrt{x}+1}{\sqrt{x}-1}$ найдем общий знаменатель, который равен $(\sqrt{x}+1)(\sqrt{x}-1)$.

По формуле разности квадратов, знаменатель равен $(\sqrt{x})^2 - 1^2 = x-1$.

Приведем дроби к общему знаменателю и сложим их:

$\frac{(\sqrt{x}-1)(\sqrt{x}-1)}{(\sqrt{x}+1)(\sqrt{x}-1)} + \frac{(\sqrt{x}+1)(\sqrt{x}+1)}{(\sqrt{x}-1)(\sqrt{x}+1)} = \frac{(\sqrt{x}-1)^2 + (\sqrt{x}+1)^2}{x-1}$

Раскроем квадраты в числителе по формулам $(a-b)^2 = a^2-2ab+b^2$ и $(a+b)^2 = a^2+2ab+b^2$:

$\frac{(x - 2\sqrt{x} + 1) + (x + 2\sqrt{x} + 1)}{x-1}$

Упростим числитель:

$\frac{2x+2}{x-1}$

Выделим целую часть:

$\frac{2x+2}{x-1} = \frac{2(x-1)+4}{x-1} = \frac{2(x-1)}{x-1} + \frac{4}{x-1} = 2 + \frac{4}{x-1}$

Ответ: $2 + \frac{4}{x-1}$

в)

В выражении $\frac{10\sqrt{m}}{n-m} + \frac{5}{\sqrt{n}+\sqrt{m}}$ разложим знаменатель первой дроби на множители, используя формулу разности квадратов:

$n-m = (\sqrt{n})^2 - (\sqrt{m})^2 = (\sqrt{n}-\sqrt{m})(\sqrt{n}+\sqrt{m})$

Выражение примет вид:

$\frac{10\sqrt{m}}{(\sqrt{n}-\sqrt{m})(\sqrt{n}+\sqrt{m})} + \frac{5}{\sqrt{n}+\sqrt{m}}$

Общий знаменатель — $(\sqrt{n}-\sqrt{m})(\sqrt{n}+\sqrt{m})$. Приведем вторую дробь к этому знаменателю:

$\frac{10\sqrt{m}}{(\sqrt{n}-\sqrt{m})(\sqrt{n}+\sqrt{m})} + \frac{5(\sqrt{n}-\sqrt{m})}{(\sqrt{n}-\sqrt{m})(\sqrt{n}+\sqrt{m})}$

Сложим числители:

$\frac{10\sqrt{m} + 5(\sqrt{n}-\sqrt{m})}{(\sqrt{n}-\sqrt{m})(\sqrt{n}+\sqrt{m})} = \frac{10\sqrt{m} + 5\sqrt{n} - 5\sqrt{m}}{n-m} = \frac{5\sqrt{n} + 5\sqrt{m}}{n-m}$

Вынесем общий множитель 5 в числителе и подставим разложенный на множители знаменатель:

$\frac{5(\sqrt{n}+\sqrt{m})}{(\sqrt{n}-\sqrt{m})(\sqrt{n}+\sqrt{m})}$

Сократим дробь на общий множитель $(\sqrt{n}+\sqrt{m})$:

$\frac{5}{\sqrt{n}-\sqrt{m}}$

Ответ: $\frac{5}{\sqrt{n}-\sqrt{m}}$

г)

В выражении $\frac{\sqrt{b}}{\sqrt{b}-1} - \frac{\sqrt{b}}{b-1}$ разложим знаменатель второй дроби $b-1$ на множители:

$b-1 = (\sqrt{b})^2 - 1^2 = (\sqrt{b}-1)(\sqrt{b}+1)$

Теперь выражение выглядит так:

$\frac{\sqrt{b}}{\sqrt{b}-1} - \frac{\sqrt{b}}{(\sqrt{b}-1)(\sqrt{b}+1)}$

Приведем первую дробь к общему знаменателю $(\sqrt{b}-1)(\sqrt{b}+1)$:

$\frac{\sqrt{b}(\sqrt{b}+1)}{(\sqrt{b}-1)(\sqrt{b}+1)} - \frac{\sqrt{b}}{(\sqrt{b}-1)(\sqrt{b}+1)}$

Выполним вычитание, объединив числители над общим знаменателем:

$\frac{\sqrt{b}(\sqrt{b}+1) - \sqrt{b}}{b-1} = \frac{b+\sqrt{b}-\sqrt{b}}{b-1} = \frac{b}{b-1}$

Выделим целую часть из полученной дроби:

$\frac{b}{b-1} = \frac{b-1+1}{b-1} = \frac{b-1}{b-1} + \frac{1}{b-1} = 1 + \frac{1}{b-1}$

Ответ: $1 + \frac{1}{b-1}$

Помогло решение? Оставьте отзыв в комментариях ниже.

Присоединяйтесь к Телеграм-группе @gdz_by_belarus

Присоединиться

Мы подготовили для вас ответ c подробным объяснением домашего задания по алгебре за 9 класс, для упражнения номер 1.228 расположенного на странице 66 к учебнику 2019 года издания для учащихся школ и гимназий.

Теперь на нашем сайте ГДЗ.ТОП вы всегда легко и бесплатно найдёте условие с правильным ответом на вопрос «Как решить ДЗ» и «Как сделать» задание по алгебре к упражнению №1.228 (с. 66), авторов: Арефьева (Ирина Глебовна), Пирютко (Ольга Николаевна), учебного пособия издательства Народная асвета.