Номер 17.17, страница 96 - гдз по алгебре 10 класс сборник задач Арефьева, Пирютко

Алгебра, 10 класс Сборник задач, авторы: Арефьева Ирина Глебовна, Пирютко Ольга Николаевна, издательство Народная асвета, Минск, 2020, белого цвета

Авторы: Арефьева И. Г., Пирютко О. Н.

Тип: Сборник задач

Издательство: Народная асвета

Год издания: 2020 - 2025

Уровень обучения: базовый и повышенный

Цвет обложки: белый, голубой с графиком

Допущено Министерством образования Республики Беларусь

Популярные ГДЗ в 10 классе

Глава 3. Тригонометрия. Параграф 17. Формулы преобразования суммы и разности синусов (косинусов) в произведение - номер 17.17, страница 96.

№17.17 (с. 96)
Условие. №17.17 (с. 96)
скриншот условия
Алгебра, 10 класс Сборник задач, авторы: Арефьева Ирина Глебовна, Пирютко Ольга Николаевна, издательство Народная асвета, Минск, 2020, белого цвета, страница 96, номер 17.17, Условие

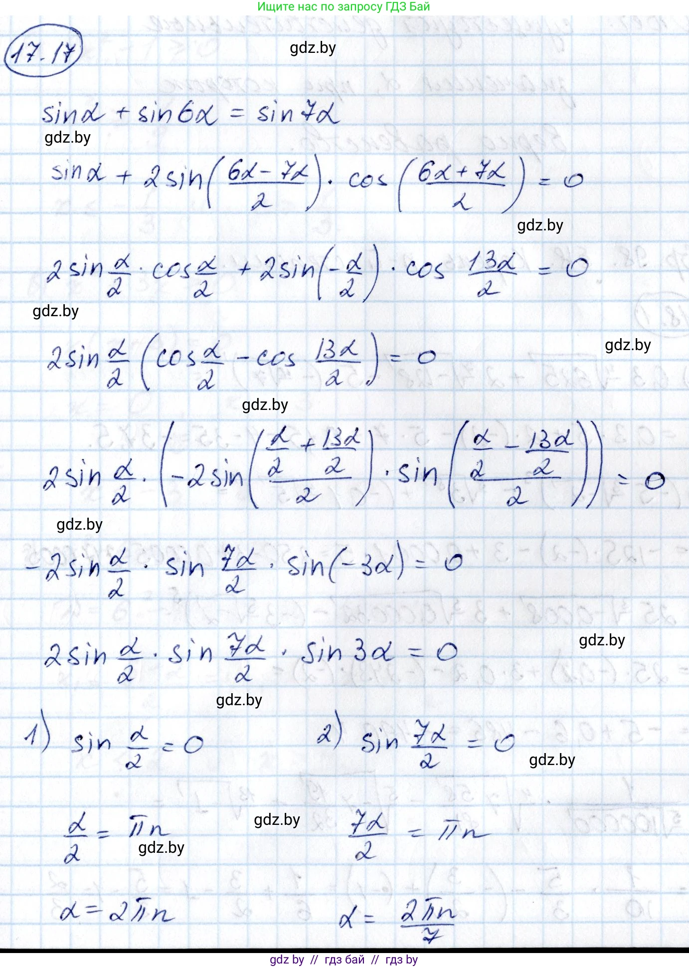
17.17. Существуют ли действительные значения α, при которых верно равенство $ \sin\alpha + \sin6\alpha = \sin7\alpha $?

Решение. №17.17 (с. 96)
Алгебра, 10 класс Сборник задач, авторы: Арефьева Ирина Глебовна, Пирютко Ольга Николаевна, издательство Народная асвета, Минск, 2020, белого цвета, страница 96, номер 17.17, Решение Алгебра, 10 класс Сборник задач, авторы: Арефьева Ирина Глебовна, Пирютко Ольга Николаевна, издательство Народная асвета, Минск, 2020, белого цвета, страница 96, номер 17.17, Решение (продолжение 2)
Решение 2. №17.17 (с. 96)

Чтобы определить, существуют ли такие действительные значения $\alpha$, преобразуем данное равенство.

Исходное уравнение:

$\sin\alpha + \sin(6\alpha) = \sin(7\alpha)$

Перенесем $\sin\alpha$ в правую часть уравнения:

$\sin(6\alpha) = \sin(7\alpha) - \sin\alpha$

Для правой части применим формулу разности синусов: $\sin x - \sin y = 2\sin\frac{x-y}{2}\cos\frac{x+y}{2}$.

$\sin(7\alpha) - \sin\alpha = 2\sin\frac{7\alpha-\alpha}{2}\cos\frac{7\alpha+\alpha}{2} = 2\sin(3\alpha)\cos(4\alpha)$

Таким образом, уравнение принимает вид:

$\sin(6\alpha) = 2\sin(3\alpha)\cos(4\alpha)$

Теперь преобразуем левую часть, используя формулу синуса двойного угла $\sin(2x) = 2\sin x \cos x$:

$\sin(6\alpha) = \sin(2 \cdot 3\alpha) = 2\sin(3\alpha)\cos(3\alpha)$

Подставим полученное выражение обратно в уравнение:

$2\sin(3\alpha)\cos(3\alpha) = 2\sin(3\alpha)\cos(4\alpha)$

Перенесем все в левую часть и вынесем общий множитель за скобки:

$2\sin(3\alpha)\cos(3\alpha) - 2\sin(3\alpha)\cos(4\alpha) = 0$

$2\sin(3\alpha)(\cos(3\alpha) - \cos(4\alpha)) = 0$

Произведение равно нулю, если хотя бы один из множителей равен нулю. Это приводит к двум независимым случаям.

Случай 1: $\sin(3\alpha) = 0$

Решением этого тригонометрического уравнения является серия значений:

$3\alpha = \pi k$, где $k$ — любое целое число ($k \in \mathbb{Z}$).

$\alpha = \frac{\pi k}{3}$

Например, при $k=0$ мы получаем $\alpha=0$. Подстановка в исходное уравнение дает $\sin(0) + \sin(0) = \sin(0)$, или $0+0=0$, что является верным равенством. Это уже доказывает, что решения существуют.

Случай 2: $\cos(3\alpha) - \cos(4\alpha) = 0$

$\cos(3\alpha) = \cos(4\alpha)$

Это равенство выполняется, если аргументы косинусов равны с точностью до знака и периода $2\pi n$:

$4\alpha = \pm 3\alpha + 2\pi n$, где $n$ — любое целое число ($n \in \mathbb{Z}$).

а) $4\alpha = 3\alpha + 2\pi n \implies \alpha = 2\pi n$. Эта серия решений является частью решений из первого случая (при $k=6n$).

б) $4\alpha = -3\alpha + 2\pi n \implies 7\alpha = 2\pi n \implies \alpha = \frac{2\pi n}{7}$.

Эта серия также дает действительные значения $\alpha$, удовлетворяющие исходному равенству.

Поскольку мы нашли нетривиальные решения для $\alpha$ (например, $\alpha = \frac{\pi}{3}$ или $\alpha = \frac{2\pi}{7}$), мы можем с уверенностью утверждать, что такие действительные значения существуют.

Ответ: Да, существуют.

Помогло решение? Оставьте отзыв в комментариях ниже.

Присоединяйтесь к Телеграм-группе @gdz_by_belarus

Присоединиться

Мы подготовили для вас ответ c подробным объяснением домашего задания по алгебре за 10 класс, для упражнения номер 17.17 расположенного на странице 96 к сборнику задач 2020 года издания для учащихся школ и гимназий.

Теперь на нашем сайте ГДЗ.ТОП вы всегда легко и бесплатно найдёте условие с правильным ответом на вопрос «Как решить ДЗ» и «Как сделать» задание по алгебре к упражнению №17.17 (с. 96), авторов: Арефьева (Ирина Глебовна), Пирютко (Ольга Николаевна), базовый и повышенный уровень обучения учебного пособия издательства Народная асвета.