Номер 18, страница 73 - гдз по алгебре 11 класс сборник задач Арефьева, Пирютко

Алгебра, 11 класс Сборник задач, авторы: Арефьева Ирина Глебовна, Пирютко Ольга Николаевна, издательство Народная асвета, Минск, 2020, белого цвета

Авторы: Арефьева И. Г., Пирютко О. Н.

Тип: Сборник задач

Издательство: Народная асвета

Год издания: 2020 - 2025

Уровень обучения: базовый и повышенный

Цвет обложки: белый с графиком

Допущено Министерством образования Республики Беларусь

Популярные ГДЗ в 11 классе

Глава 3. Логарифмическая функция. Параграф 9. Логарифмические уравнения - номер 18, страница 73.

№18 (с. 73)
Условие. №18 (с. 73)
скриншот условия
Алгебра, 11 класс Сборник задач, авторы: Арефьева Ирина Глебовна, Пирютко Ольга Николаевна, издательство Народная асвета, Минск, 2020, белого цвета, страница 73, номер 18, Условие

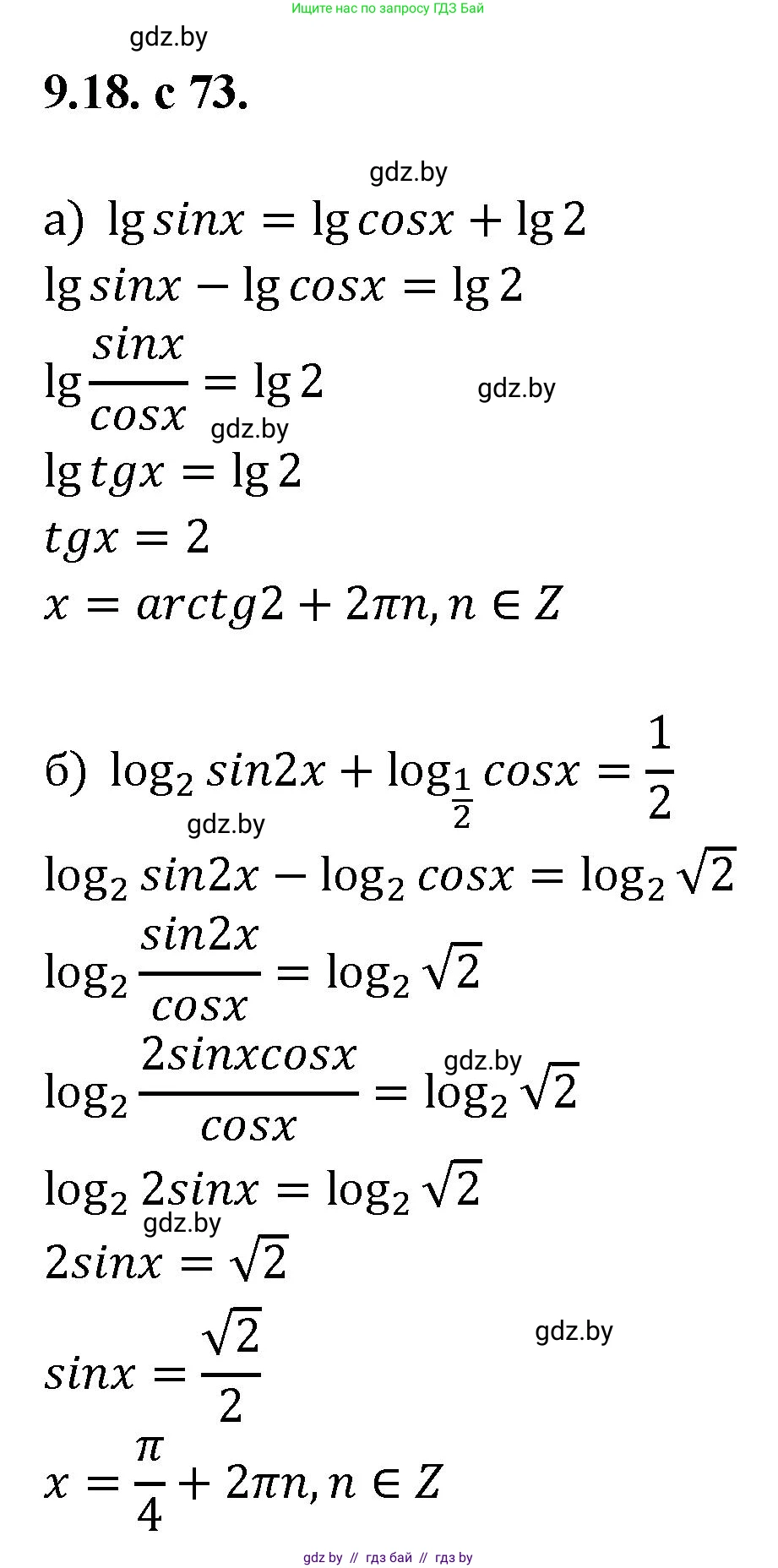
9.18. Найдите все корни уравнения:

a) $\lg \sin x = \lg \cos x + \lg 2$;

б) $\log_2 \sin 2x + \log_{\frac{1}{2}} \cos x = \frac{1}{2}$.

Решение. №18 (с. 73)
Алгебра, 11 класс Сборник задач, авторы: Арефьева Ирина Глебовна, Пирютко Ольга Николаевна, издательство Народная асвета, Минск, 2020, белого цвета, страница 73, номер 18, Решение
Решение 2. №18 (с. 73)

а) Решим уравнение $lg \sin x = lg \cos x + lg 2$.
Найдем область допустимых значений (ОДЗ). Аргументы логарифмов должны быть строго положительными:
$\begin{cases} \sin x > 0 \\ \cos x > 0 \end{cases}$
Эта система неравенств выполняется, когда угол $x$ находится в первой координатной четверти, то есть $x \in (2\pi k, \frac{\pi}{2} + 2\pi k)$, где $k \in \mathbb{Z}$.
Используя свойство логарифма $\log_a b + \log_a c = \log_a (bc)$, преобразуем правую часть уравнения:
$lg \cos x + lg 2 = lg(2 \cos x)$
Тогда уравнение принимает вид:
$lg \sin x = lg(2 \cos x)$
Так как основания логарифмов одинаковы, можем приравнять их аргументы:
$\sin x = 2 \cos x$
Так как из ОДЗ следует, что $\cos x \neq 0$, разделим обе части уравнения на $\cos x$:
$\frac{\sin x}{\cos x} = 2$
$\tan x = 2$
Общее решение этого уравнения:
$x = \arctan(2) + \pi n$, где $n \in \mathbb{Z}$.
Теперь учтем ОДЗ. Решения должны принадлежать первой четверти.
При четных $n=2k$, получаем $x = \arctan(2) + 2\pi k$. Так как $\arctan(2) \in (0, \frac{\pi}{2})$, эти корни удовлетворяют ОДЗ.
При нечетных $n=2k+1$, получаем $x = \arctan(2) + \pi(2k+1) = \arctan(2) + \pi + 2\pi k$. Эти корни находятся в третьей четверти и не удовлетворяют ОДЗ.
Следовательно, подходят только корни при четных $n$.
Ответ: $x = \arctan(2) + 2\pi k$, где $k \in \mathbb{Z}$.

б) Решим уравнение $\log_2 \sin 2x + \log_{\frac{1}{2}} \cos x = \frac{1}{2}$.
Найдем область допустимых значений (ОДЗ):
$\begin{cases} \sin 2x > 0 \\ \cos x > 0 \end{cases}$
Из $\cos x > 0$ следует, что $x$ находится в первой или четвертой четверти.
Из $\sin 2x = 2 \sin x \cos x > 0$ и $\cos x > 0$ следует, что $\sin x > 0$.
Условие $\sin x > 0$ выполняется в первой и второй четвертях.
Пересечение этих условий дает первую четверть: $x \in (2\pi n, \frac{\pi}{2} + 2\pi n)$, где $n \in \mathbb{Z}$.
Преобразуем второй логарифм к основанию 2, используя формулу перехода к новому основанию $\log_{a^k} b = \frac{1}{k} \log_a b$:
$\log_{\frac{1}{2}} \cos x = \log_{2^{-1}} \cos x = -\log_2 \cos x$
Подставим это в исходное уравнение:
$\log_2 \sin 2x - \log_2 \cos x = \frac{1}{2}$
Используя свойство логарифма $\log_a b - \log_a c = \log_a(\frac{b}{c})$, получаем:
$\log_2 \left( \frac{\sin 2x}{\cos x} \right) = \frac{1}{2}$
По определению логарифма:
$\frac{\sin 2x}{\cos x} = 2^{\frac{1}{2}} = \sqrt{2}$
Используем формулу синуса двойного угла $\sin 2x = 2 \sin x \cos x$:
$\frac{2 \sin x \cos x}{\cos x} = \sqrt{2}$
Так как из ОДЗ $\cos x \neq 0$, сокращаем на $\cos x$:
$2 \sin x = \sqrt{2}$
$\sin x = \frac{\sqrt{2}}{2}$
Общие решения этого уравнения:
$x = \frac{\pi}{4} + 2\pi k$ и $x = \frac{3\pi}{4} + 2\pi k$, где $k \in \mathbb{Z}$.
Проверим решения на соответствие ОДЗ (первая четверть).
Серия корней $x = \frac{\pi}{4} + 2\pi k$ принадлежит первой четверти и удовлетворяет ОДЗ.
Серия корней $x = \frac{3\pi}{4} + 2\pi k$ принадлежит второй четверти, где $\cos x < 0$, и не удовлетворяет ОДЗ.
Следовательно, оставляем только первую серию корней.
Ответ: $x = \frac{\pi}{4} + 2\pi n$, где $n \in \mathbb{Z}$.

Помогло решение? Оставьте отзыв в комментариях ниже.

Присоединяйтесь к Телеграм-группе @gdz_by_belarus

Присоединиться

Мы подготовили для вас ответ c подробным объяснением домашего задания по алгебре за 11 класс, для упражнения номер 18 расположенного на странице 73 к сборнику задач 2020 года издания для учащихся школ и гимназий.

Теперь на нашем сайте ГДЗ.ТОП вы всегда легко и бесплатно найдёте условие с правильным ответом на вопрос «Как решить ДЗ» и «Как сделать» задание по алгебре к упражнению №18 (с. 73), авторов: Арефьева (Ирина Глебовна), Пирютко (Ольга Николаевна), базовый и повышенный уровень обучения учебного пособия издательства Народная асвета.