Номер 25, страница 74 - гдз по алгебре 11 класс сборник задач Арефьева, Пирютко
Авторы: Арефьева И. Г., Пирютко О. Н.
Тип: Сборник задач
Издательство: Народная асвета
Год издания: 2020 - 2025
Уровень обучения: базовый и повышенный
Цвет обложки: белый с графиком
Допущено Министерством образования Республики Беларусь
Популярные ГДЗ в 11 классе
Глава 3. Логарифмическая функция. Параграф 9. Логарифмические уравнения - номер 25, страница 74.
№25 (с. 74)
Условие. №25 (с. 74)
скриншот условия
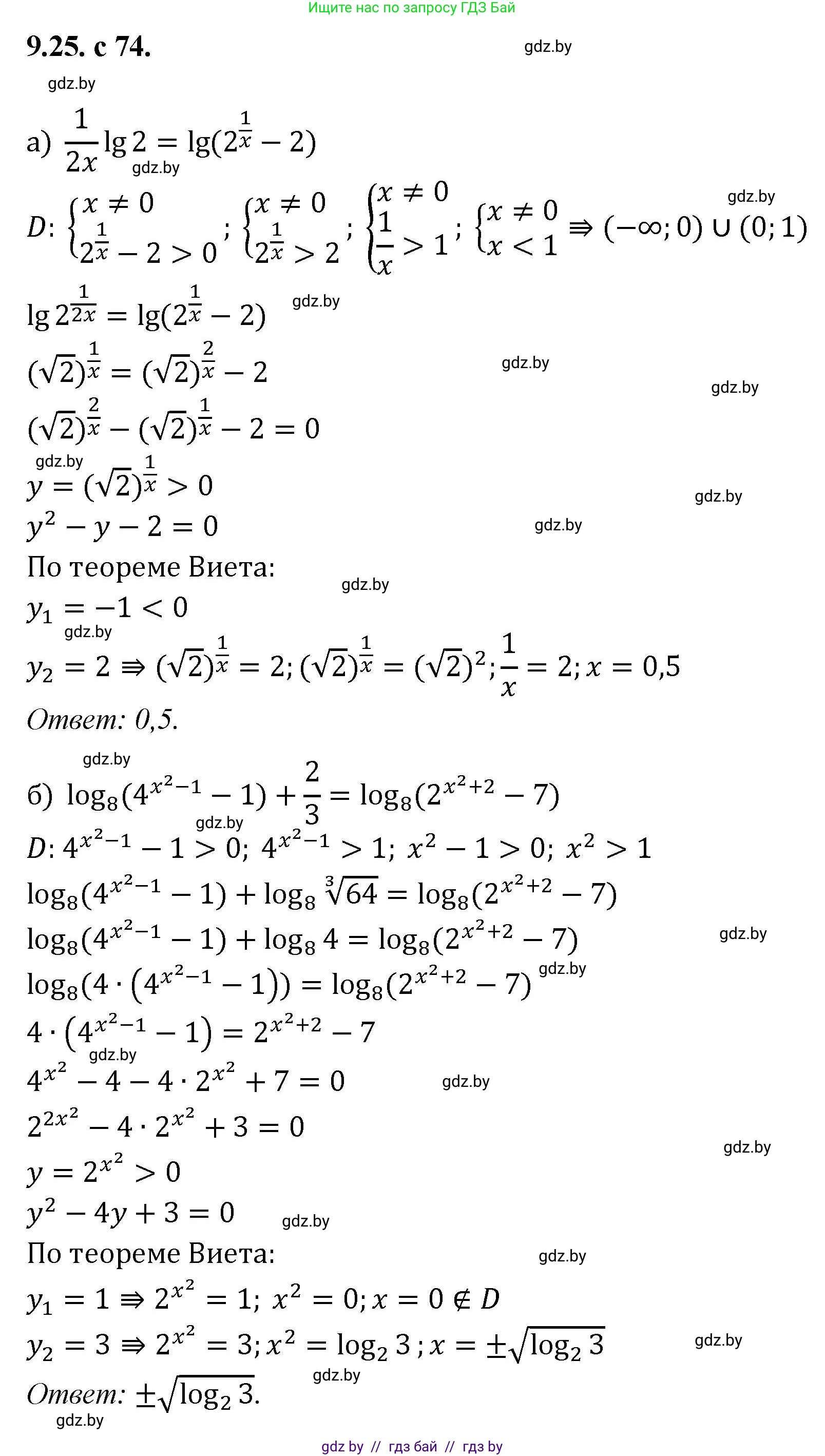
9.25. Решите уравнение:
а) $\frac{1}{2x}\lg2 = \lg\left(2^{\frac{1}{x}}-2\right);$
б) $\log_8\left(4^{x^2-1}-1\right)+\frac{2}{3}=\log_8\left(2^{x^2+2}-7\right).$
Решение. №25 (с. 74)
Решение 2. №25 (с. 74)
а) Исходное уравнение: $$ \frac{1}{2x} \lg 2 = \lg(2^{\frac{1}{x}} - 2) $$
1. Найдем Область допустимых значений (ОДЗ).
Аргумент логарифма должен быть строго положительным:
$$ 2^{\frac{1}{x}} - 2 > 0 \implies 2^{\frac{1}{x}} > 2^1 $$
Поскольку основание степени $2 > 1$, то неравенство для показателей будет иметь тот же знак:
$$ \frac{1}{x} > 1 \implies \frac{1}{x} - 1 > 0 \implies \frac{1-x}{x} > 0 $$
Решая данное неравенство методом интервалов, находим, что оно выполняется при $x \in (0, 1)$.
Также в уравнении присутствует знаменатель $2x$, который не должен быть равен нулю, то есть $x \neq 0$. Это условие уже входит в найденный интервал.
Таким образом, ОДЗ уравнения: $x \in (0, 1)$.
2. Преобразуем уравнение.
Воспользуемся свойством логарифма $n \cdot \log_a b = \log_a (b^n)$ для левой части уравнения:
$$ \lg(2^{\frac{1}{2x}}) = \lg(2^{\frac{1}{x}} - 2) $$
Так как основания логарифмов равны (оба десятичные), мы можем приравнять их аргументы:
$$ 2^{\frac{1}{2x}} = 2^{\frac{1}{x}} - 2 $$
3. Решим полученное показательное уравнение.
Введем замену. Пусть $t = 2^{\frac{1}{2x}}$. Тогда $2^{\frac{1}{x}} = (2^{\frac{1}{2x}})^2 = t^2$. Уравнение принимает вид:
$$ t = t^2 - 2 $$
Переносим все члены в одну сторону и получаем квадратное уравнение:
$$ t^2 - t - 2 = 0 $$
Находим корни с помощью теоремы Виета или через дискриминант:
$$ t_1 = 2, \quad t_2 = -1 $$
4. Выполним обратную замену.
Случай 1: $t = 2$
$$ 2^{\frac{1}{2x}} = 2 \implies 2^{\frac{1}{2x}} = 2^1 $$
Приравниваем показатели:
$$ \frac{1}{2x} = 1 \implies 2x = 1 \implies x = \frac{1}{2} $$
Случай 2: $t = -1$
$$ 2^{\frac{1}{2x}} = -1 $$
Данное уравнение не имеет решений, так как показательная функция с положительным основанием ($2^y$) всегда принимает только положительные значения.
5. Проверим корень на соответствие ОДЗ.
Найденный корень $x = \frac{1}{2}$. ОДЗ: $x \in (0, 1)$.
Поскольку $0 < \frac{1}{2} < 1$, корень удовлетворяет ОДЗ.
Ответ: $x = \frac{1}{2}$.
б) Исходное уравнение: $$ \log_8(4^{x^2-1} - 1) + \frac{2}{3} = \log_8(2^{x^2+2} - 7) $$
1. Найдем Область допустимых значений (ОДЗ).
Аргументы обоих логарифмов должны быть строго положительными:
1) $4^{x^2-1} - 1 > 0 \implies 2^{2(x^2-1)} > 2^0 \implies 2x^2-2 > 0 \implies x^2 > 1$. Это соответствует $x \in (-\infty, -1) \cup (1, \infty)$.
2) $2^{x^2+2} - 7 > 0 \implies 2^{x^2+2} > 7 \implies x^2+2 > \log_2 7 \implies x^2 > \log_2 7 - 2$.
Сравним $1$ и $\log_2 7 - 2$. Так как $2 = \log_2 4 < \log_2 7 < \log_2 8 = 3$, то $0 < \log_2 7 - 2 < 1$. Следовательно, условие $x^2 > 1$ является более строгим.
Пересечение этих двух условий дает ОДЗ: $x \in (-\infty, -1) \cup (1, \infty)$.
2. Преобразуем уравнение.
Перенесем логарифмы в одну сторону и представим число $\frac{2}{3}$ как логарифм по основанию 8:
$$ \frac{2}{3} = \log_8(8^{\frac{2}{3}}) = \log_8((\sqrt[3]{8})^2) = \log_8(2^2) = \log_8 4 $$
Подставим это в исходное уравнение и сгруппируем логарифмы:
$$ \log_8(4^{x^2-1} - 1) + \log_8 4 = \log_8(2^{x^2+2} - 7) $$
Используем свойство суммы логарифмов $\log_a b + \log_a c = \log_a (bc)$:
$$ \log_8(4 \cdot (4^{x^2-1} - 1)) = \log_8(2^{x^2+2} - 7) $$
Приравниваем аргументы логарифмов:
$$ 4 \cdot (4^{x^2-1} - 1) = 2^{x^2+2} - 7 $$
3. Решим полученное показательное уравнение.
Упростим степени:
$$ 4 \cdot (\frac{(2^2)^{x^2}}{4} - 1) = 2^{x^2} \cdot 2^2 - 7 $$
$$ (2^{x^2})^2 - 4 = 4 \cdot 2^{x^2} - 7 $$
Введем замену. Пусть $t = 2^{x^2}$. Из ОДЗ ($x^2>1$) следует, что $t = 2^{x^2} > 2^1=2$.
Уравнение принимает вид:
$$ t^2 - 4 = 4t - 7 $$
$$ t^2 - 4t + 3 = 0 $$
Находим корни квадратного уравнения:
$$ t_1 = 1, \quad t_2 = 3 $$
4. Выполним обратную замену.
Проверим корни для $t$ с учетом ограничения $t > 2$.
Случай 1: $t = 1$.
Корень $t=1$ не удовлетворяет условию $t>2$, следовательно, он посторонний.
Случай 2: $t = 3$.
Корень $t=3$ удовлетворяет условию $t>2$.
$$ 2^{x^2} = 3 $$
Прологарифмируем обе части по основанию 2:
$$ \log_2(2^{x^2}) = \log_2 3 \implies x^2 = \log_2 3 $$
Отсюда находим $x$:
$$ x = \pm\sqrt{\log_2 3} $$
5. Проверим корни на соответствие ОДЗ.
ОДЗ: $x^2 > 1$. Для наших корней $x^2 = \log_2 3$.
Сравним $\log_2 3$ с 1: $\log_2 3 > \log_2 2 = 1$.
Условие $x^2 > 1$ выполняется, значит оба корня подходят.
Ответ: $x = \pm\sqrt{\log_2 3}$.
Другие задания:
Помогло решение? Оставьте отзыв в комментариях ниже.
Присоединяйтесь к Телеграм-группе @gdz_by_belarus
ПрисоединитьсяМы подготовили для вас ответ c подробным объяснением домашего задания по алгебре за 11 класс, для упражнения номер 25 расположенного на странице 74 к сборнику задач 2020 года издания для учащихся школ и гимназий.
Теперь на нашем сайте ГДЗ.ТОП вы всегда легко и бесплатно найдёте условие с правильным ответом на вопрос «Как решить ДЗ» и «Как сделать» задание по алгебре к упражнению №25 (с. 74), авторов: Арефьева (Ирина Глебовна), Пирютко (Ольга Николаевна), базовый и повышенный уровень обучения учебного пособия издательства Народная асвета.