Номер 28, страница 74 - гдз по алгебре 11 класс сборник задач Арефьева, Пирютко

Алгебра, 11 класс Сборник задач, авторы: Арефьева Ирина Глебовна, Пирютко Ольга Николаевна, издательство Народная асвета, Минск, 2020, белого цвета

Авторы: Арефьева И. Г., Пирютко О. Н.

Тип: Сборник задач

Издательство: Народная асвета

Год издания: 2020 - 2025

Уровень обучения: базовый и повышенный

Цвет обложки: белый с графиком

Допущено Министерством образования Республики Беларусь

Популярные ГДЗ в 11 классе

Глава 3. Логарифмическая функция. Параграф 9. Логарифмические уравнения - номер 28, страница 74.

№28 (с. 74)
Условие. №28 (с. 74)
скриншот условия
Алгебра, 11 класс Сборник задач, авторы: Арефьева Ирина Глебовна, Пирютко Ольга Николаевна, издательство Народная асвета, Минск, 2020, белого цвета, страница 74, номер 28, Условие

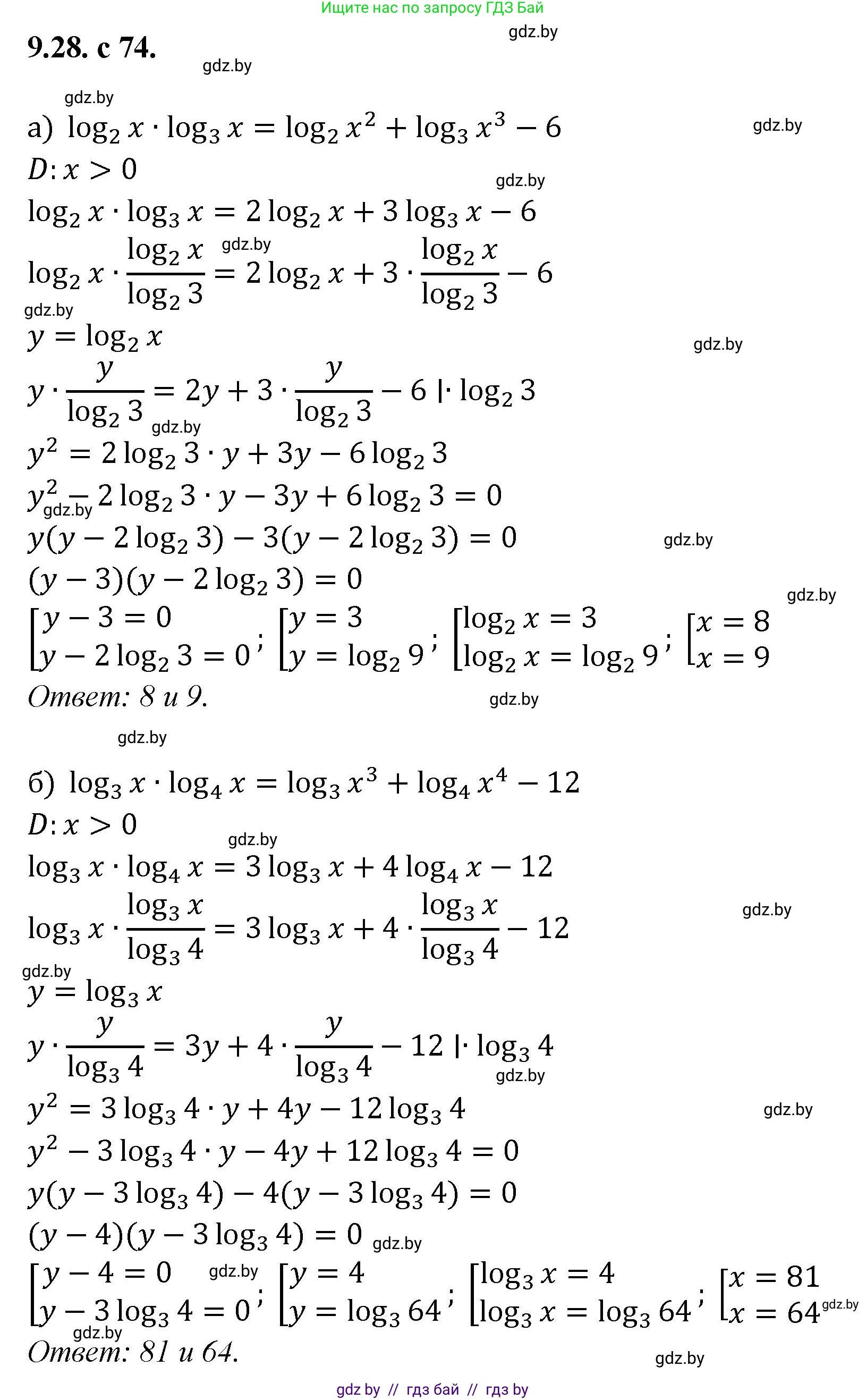
9.28. Решите уравнение:

a) $\log_2 x \cdot \log_3 x = \log_2 x^2 + \log_3 x^3 - 6;$

б) $\log_3 x \cdot \log_4 x = \log_3 x^3 + \log_4 x^4 - 12.$

Решение. №28 (с. 74)
Алгебра, 11 класс Сборник задач, авторы: Арефьева Ирина Глебовна, Пирютко Ольга Николаевна, издательство Народная асвета, Минск, 2020, белого цвета, страница 74, номер 28, Решение
Решение 2. №28 (с. 74)

а) Исходное уравнение:

$$ \log_2 x \cdot \log_3 x = \log_2 x^2 + \log_3 x^3 - 6 $$

1. Определим область допустимых значений (ОДЗ). Аргумент логарифма должен быть строго положительным, поэтому $x > 0$.

2. Используем свойство логарифма $\log_a b^c = c \cdot \log_a b$ для упрощения правой части уравнения:

$$ \log_2 x^2 = 2 \log_2 x $$

$$ \log_3 x^3 = 3 \log_3 x $$

Подставим эти выражения в исходное уравнение:

$$ \log_2 x \cdot \log_3 x = 2 \log_2 x + 3 \log_3 x - 6 $$

3. Перенесем все члены в левую часть:

$$ \log_2 x \cdot \log_3 x - 2 \log_2 x - 3 \log_3 x + 6 = 0 $$

4. Для удобства введем замены. Пусть $a = \log_2 x$ и $b = \log_3 x$. Уравнение примет вид:

$$ ab - 2a - 3b + 6 = 0 $$

5. Разложим левую часть на множители методом группировки:

$$ a(b - 2) - 3(b - 2) = 0 $$

$$ (a - 3)(b - 2) = 0 $$

Произведение равно нулю, если один из множителей равен нулю. Это дает нам два случая:

Случай 1: $a - 3 = 0 \Rightarrow a = 3$

Случай 2: $b - 2 = 0 \Rightarrow b = 2$

6. Вернемся к исходной переменной $x$ для каждого случая.

Для случая 1:

$$ \log_2 x = 3 $$

$$ x = 2^3 = 8 $$

Для случая 2:

$$ \log_3 x = 2 $$

$$ x = 3^2 = 9 $$

Оба корня $x=8$ и $x=9$ удовлетворяют ОДЗ ($x > 0$).

Ответ: $x_1 = 8$, $x_2 = 9$.

б) Исходное уравнение:

$$ \log_3 x \cdot \log_4 x = \log_3 x^3 + \log_4 x^4 - 12 $$

1. Область допустимых значений (ОДЗ): $x > 0$.

2. Упростим уравнение, используя свойство логарифма $\log_a b^c = c \cdot \log_a b$:

$$ \log_3 x^3 = 3 \log_3 x $$

$$ \log_4 x^4 = 4 \log_4 x $$

Подставим в исходное уравнение:

$$ \log_3 x \cdot \log_4 x = 3 \log_3 x + 4 \log_4 x - 12 $$

3. Перенесем все слагаемые в одну сторону:

$$ \log_3 x \cdot \log_4 x - 3 \log_3 x - 4 \log_4 x + 12 = 0 $$

4. Введем замены. Пусть $a = \log_3 x$ и $b = \log_4 x$. Уравнение примет вид:

$$ ab - 3a - 4b + 12 = 0 $$

5. Разложим левую часть на множители:

$$ a(b - 3) - 4(b - 3) = 0 $$

$$ (a - 4)(b - 3) = 0 $$

Это уравнение распадается на два:

Случай 1: $a - 4 = 0 \Rightarrow a = 4$

Случай 2: $b - 3 = 0 \Rightarrow b = 3$

6. Сделаем обратную замену для каждого случая.

Для случая 1:

$$ \log_3 x = 4 $$

$$ x = 3^4 = 81 $$

Для случая 2:

$$ \log_4 x = 3 $$

$$ x = 4^3 = 64 $$

Оба корня $x=81$ и $x=64$ удовлетворяют ОДЗ ($x > 0$).

Ответ: $x_1 = 64$, $x_2 = 81$.

Помогло решение? Оставьте отзыв в комментариях ниже.

Присоединяйтесь к Телеграм-группе @gdz_by_belarus

Присоединиться

Мы подготовили для вас ответ c подробным объяснением домашего задания по алгебре за 11 класс, для упражнения номер 28 расположенного на странице 74 к сборнику задач 2020 года издания для учащихся школ и гимназий.

Теперь на нашем сайте ГДЗ.ТОП вы всегда легко и бесплатно найдёте условие с правильным ответом на вопрос «Как решить ДЗ» и «Как сделать» задание по алгебре к упражнению №28 (с. 74), авторов: Арефьева (Ирина Глебовна), Пирютко (Ольга Николаевна), базовый и повышенный уровень обучения учебного пособия издательства Народная асвета.