Номер 33, страница 75 - гдз по алгебре 11 класс сборник задач Арефьева, Пирютко
Авторы: Арефьева И. Г., Пирютко О. Н.
Тип: Сборник задач
Издательство: Народная асвета
Год издания: 2020 - 2025
Уровень обучения: базовый и повышенный
Цвет обложки: белый с графиком
Допущено Министерством образования Республики Беларусь
Популярные ГДЗ в 11 классе
Глава 3. Логарифмическая функция. Параграф 9. Логарифмические уравнения - номер 33, страница 75.
№33 (с. 75)
Условие. №33 (с. 75)
скриншот условия
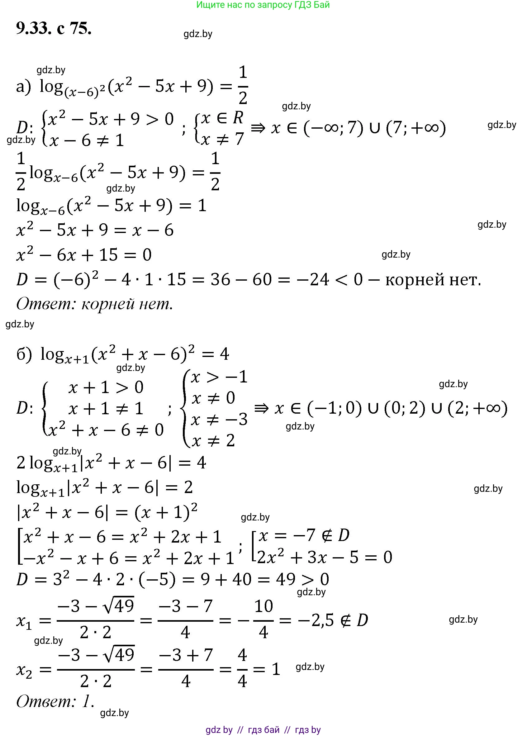
9.33. Найдите все корни уравнения:
а) $log_{(x-6)^2} (x^2 - 5x + 9) = \frac{1}{2};$
б) $log_{x+1} (x^2 + x - 6)^2 = 4.$
Решение. №33 (с. 75)
Решение 2. №33 (с. 75)
a) $\log_{(x-6)^2} (x^2 - 5x + 9) = \frac{1}{2}$
1. Найдем область допустимых значений (ОДЗ) для уравнения.
- Основание логарифма должно быть больше нуля и не равно единице:
$(x-6)^2 > 0 \implies x - 6 \neq 0 \implies x \neq 6$.
$(x-6)^2 \neq 1 \implies x - 6 \neq 1$ и $x - 6 \neq -1$. Отсюда $x \neq 7$ и $x \neq 5$. - Аргумент логарифма должен быть строго больше нуля:
$x^2 - 5x + 9 > 0$.
Найдем дискриминант квадратного трехчлена: $D = (-5)^2 - 4 \cdot 1 \cdot 9 = 25 - 36 = -11$.
Так как дискриминант отрицательный ($D < 0$) и коэффициент при $x^2$ положительный (равен 1), то выражение $x^2 - 5x + 9$ всегда положительно при любом значении $x$.
Итак, ОДЗ: $x \in (-\infty; 5) \cup (5; 6) \cup (6; 7) \cup (7; +\infty)$.
2. Решим уравнение, используя определение логарифма $\log_b a = c \iff a = b^c$.
$x^2 - 5x + 9 = ((x-6)^2)^{\frac{1}{2}}$
Используя свойство степени $(a^m)^n = a^{mn}$ и определение корня, получаем: $((x-6)^2)^{\frac{1}{2}} = \sqrt{(x-6)^2} = |x-6|$.
Уравнение принимает вид:
$x^2 - 5x + 9 = |x-6|$
Рассмотрим два случая раскрытия модуля:
Случай 1: $x-6 \ge 0$, то есть $x \ge 6$.
$x^2 - 5x + 9 = x - 6$
$x^2 - 6x + 15 = 0$
Дискриминант: $D = (-6)^2 - 4 \cdot 1 \cdot 15 = 36 - 60 = -24$.
Так как $D < 0$, в этом случае действительных корней нет.
Случай 2: $x-6 < 0$, то есть $x < 6$.
$x^2 - 5x + 9 = -(x-6)$
$x^2 - 5x + 9 = -x + 6$
$x^2 - 4x + 3 = 0$
По теореме Виета, корни уравнения: $x_1 = 1$, $x_2 = 3$.
3. Проверим найденные корни на соответствие ОДЗ и условию случая ($x < 6$).
- $x_1 = 1$: Условие $1 < 6$ выполняется. Корень $x=1$ не равен 5, 6, 7. Следовательно, $x=1$ является корнем исходного уравнения.
- $x_2 = 3$: Условие $3 < 6$ выполняется. Корень $x=3$ не равен 5, 6, 7. Следовательно, $x=3$ является корнем исходного уравнения.
Ответ: 1; 3.
б) $\log_{x+1} (x^2 + x - 6)^2 = 4$
1. Найдем область допустимых значений (ОДЗ).
- Основание логарифма:
$x+1 > 0 \implies x > -1$.
$x+1 \neq 1 \implies x \neq 0$. - Аргумент логарифма:
$(x^2 + x - 6)^2 > 0 \implies x^2 + x - 6 \neq 0$.
Найдем корни уравнения $x^2 + x - 6 = 0$. По теореме Виета, $x_1 = -3$ и $x_2 = 2$.
Следовательно, $x \neq -3$ и $x \neq 2$.
Объединяя все условия, получаем ОДЗ: $x \in (-1; 0) \cup (0; 2) \cup (2; +\infty)$.
2. Решим уравнение.
Используем свойство логарифма $\log_a (b^p) = p \log_a |b|$ для четного $p=2$:
$2 \log_{x+1} |x^2 + x - 6| = 4$
Разделим обе части на 2:
$\log_{x+1} |x^2 + x - 6| = 2$
По определению логарифма:
$|x^2 + x - 6| = (x+1)^2$
Так как правая часть $(x+1)^2$ всегда неотрицательна, это уравнение равносильно совокупности двух уравнений:
Случай 1: $x^2 + x - 6 = (x+1)^2$
$x^2 + x - 6 = x^2 + 2x + 1$
$x - 2x = 1 + 6$
$-x = 7 \implies x = -7$
Случай 2: $x^2 + x - 6 = -(x+1)^2$
$x^2 + x - 6 = -(x^2 + 2x + 1)$
$x^2 + x - 6 = -x^2 - 2x - 1$
$2x^2 + 3x - 5 = 0$
Найдем корни через дискриминант: $D = 3^2 - 4 \cdot 2 \cdot (-5) = 9 + 40 = 49 = 7^2$.
$x_1 = \frac{-3 - 7}{2 \cdot 2} = \frac{-10}{4} = -\frac{5}{2} = -2.5$
$x_2 = \frac{-3 + 7}{2 \cdot 2} = \frac{4}{4} = 1$
3. Проверим найденные корни на соответствие ОДЗ: $x \in (-1; 0) \cup (0; 2) \cup (2; +\infty)$.
- $x = -7$: не принадлежит ОДЗ, так как $-7 < -1$.
- $x = -2.5$: не принадлежит ОДЗ, так как $-2.5 < -1$.
- $x = 1$: принадлежит ОДЗ, так как $1 \in (0; 2)$.
Единственным корнем уравнения является $x=1$.
Ответ: 1.
Другие задания:
Помогло решение? Оставьте отзыв в комментариях ниже.
Присоединяйтесь к Телеграм-группе @gdz_by_belarus
ПрисоединитьсяМы подготовили для вас ответ c подробным объяснением домашего задания по алгебре за 11 класс, для упражнения номер 33 расположенного на странице 75 к сборнику задач 2020 года издания для учащихся школ и гимназий.
Теперь на нашем сайте ГДЗ.ТОП вы всегда легко и бесплатно найдёте условие с правильным ответом на вопрос «Как решить ДЗ» и «Как сделать» задание по алгебре к упражнению №33 (с. 75), авторов: Арефьева (Ирина Глебовна), Пирютко (Ольга Николаевна), базовый и повышенный уровень обучения учебного пособия издательства Народная асвета.