Номер 31, страница 74 - гдз по алгебре 11 класс сборник задач Арефьева, Пирютко

Алгебра, 11 класс Сборник задач, авторы: Арефьева Ирина Глебовна, Пирютко Ольга Николаевна, издательство Народная асвета, Минск, 2020, белого цвета

Авторы: Арефьева И. Г., Пирютко О. Н.

Тип: Сборник задач

Издательство: Народная асвета

Год издания: 2020 - 2025

Уровень обучения: базовый и повышенный

Цвет обложки: белый с графиком

Допущено Министерством образования Республики Беларусь

Популярные ГДЗ в 11 классе

Глава 3. Логарифмическая функция. Параграф 9. Логарифмические уравнения - номер 31, страница 74.

№31 (с. 74)
Условие. №31 (с. 74)
скриншот условия
Алгебра, 11 класс Сборник задач, авторы: Арефьева Ирина Глебовна, Пирютко Ольга Николаевна, издательство Народная асвета, Минск, 2020, белого цвета, страница 74, номер 31, Условие

9.31. Решите уравнение:

а) $\log_2 x + \frac{4}{\log_x 2} = 5;$

б) $\log_3 x - 6\log_x 3 = 1;$

в) $\log_{1-x} (3 - x) = \log_{3-x} (1 - x);$

г) $\log_2 (1 - x) = 1 + 6\log_{1-x} 2;$

д) $\log_{x^2} 9 + \log_{\sqrt{x}} 4 = 2;$

е) $\log_x 2 \cdot \log_{\frac{x}{16}} 2 = \log_{\frac{x}{64}} 2.$

Решение. №31 (с. 74)
Алгебра, 11 класс Сборник задач, авторы: Арефьева Ирина Глебовна, Пирютко Ольга Николаевна, издательство Народная асвета, Минск, 2020, белого цвета, страница 74, номер 31, Решение Алгебра, 11 класс Сборник задач, авторы: Арефьева Ирина Глебовна, Пирютко Ольга Николаевна, издательство Народная асвета, Минск, 2020, белого цвета, страница 74, номер 31, Решение (продолжение 2) Алгебра, 11 класс Сборник задач, авторы: Арефьева Ирина Глебовна, Пирютко Ольга Николаевна, издательство Народная асвета, Минск, 2020, белого цвета, страница 74, номер 31, Решение (продолжение 3)
Решение 2. №31 (с. 74)

а)Исходное уравнение: $\log_2 x + \frac{4}{\log_x 2} = 5$.
Область допустимых значений (ОДЗ) определяется условиями: аргумент логарифма должен быть больше нуля, а основание — больше нуля и не равно единице.$\begin{cases} x > 0 \\ x \neq 1 \end{cases}$
Для решения воспользуемся свойством логарифма $\log_b a = \frac{1}{\log_a b}$. Преобразуем второе слагаемое:$\frac{4}{\log_x 2} = 4 \cdot \frac{1}{\log_x 2} = 4 \log_2 x$.
Подставим это выражение в исходное уравнение:$\log_2 x + 4\log_2 x = 5$
Приводим подобные слагаемые:$5\log_2 x = 5$
$\log_2 x = 1$
Из определения логарифма следует:$x = 2^1 = 2$.
Полученный корень $x=2$ удовлетворяет ОДЗ ($2 > 0$ и $2 \neq 1$).
Ответ: $2$.

б)Исходное уравнение: $\log_3 x - 6\log_x 3 = 1$.
ОДЗ: $\begin{cases} x > 0 \\ x \neq 1 \end{cases}$
Используем свойство $\log_b a = \frac{1}{\log_a b}$ и преобразуем уравнение:$\log_3 x - \frac{6}{\log_3 x} = 1$.
Введем замену: пусть $y = \log_3 x$. Тогда уравнение принимает вид:$y - \frac{6}{y} = 1$.
Так как $x \neq 1$, то $y = \log_3 x \neq 0$. Умножим обе части уравнения на $y$:$y^2 - 6 = y$
$y^2 - y - 6 = 0$
Решим квадратное уравнение. По теореме Виета, корни $y_1 = 3$ и $y_2 = -2$.
Вернемся к исходной переменной:1) $\log_3 x = 3 \implies x = 3^3 = 27$.2) $\log_3 x = -2 \implies x = 3^{-2} = \frac{1}{9}$.
Оба корня ($27$ и $1/9$) удовлетворяют ОДЗ.
Ответ: $27, \frac{1}{9}$.

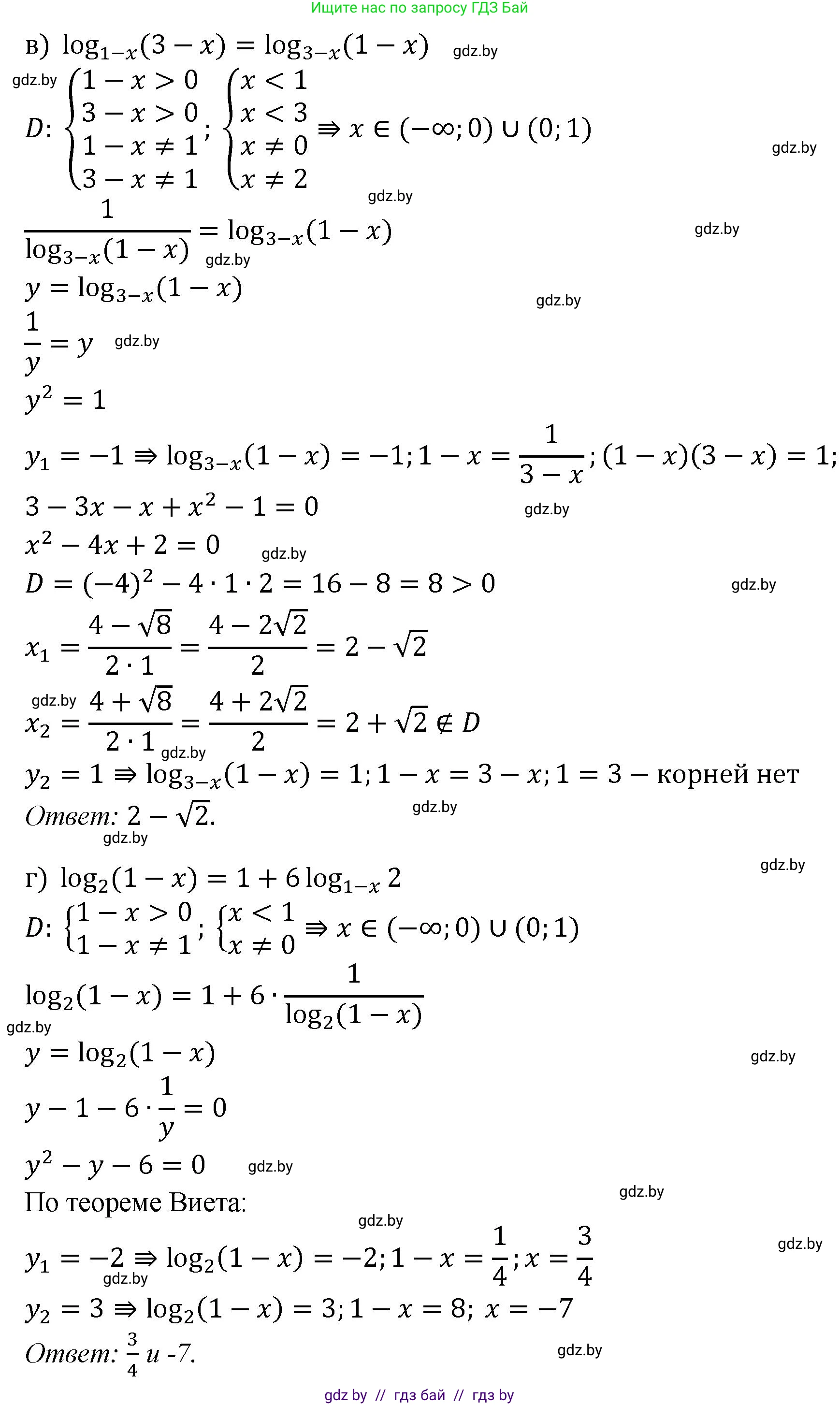
в)Исходное уравнение: $\log_{1-x} (3-x) = \log_{3-x} (1-x)$.
ОДЗ:$\begin{cases} 1-x > 0 \\ 1-x \neq 1 \\ 3-x > 0 \\ 3-x \neq 1 \end{cases} \implies \begin{cases} x < 1 \\ x \neq 0 \\ x < 3 \\ x \neq 2 \end{cases}$. Объединяя условия, получаем: $x < 1, x \neq 0$.
Используем свойство $\log_b a = \frac{1}{\log_a b}$. Пусть $y = \log_{1-x} (3-x)$. Тогда уравнение примет вид:$y = \frac{1}{y}$
$y^2 = 1$, откуда $y=1$ или $y=-1$.
Рассмотрим оба случая:1) $\log_{1-x} (3-x) = 1 \implies 3-x = 1-x \implies 3=1$. Это неверно, решений в этом случае нет.2) $\log_{1-x} (3-x) = -1 \implies 3-x = (1-x)^{-1} \implies 3-x = \frac{1}{1-x}$.
$(3-x)(1-x) = 1$
$3 - 3x - x + x^2 = 1$
$x^2 - 4x + 2 = 0$.
Решим квадратное уравнение через дискриминант: $D = (-4)^2 - 4 \cdot 1 \cdot 2 = 16 - 8 = 8$.$x = \frac{4 \pm \sqrt{8}}{2} = \frac{4 \pm 2\sqrt{2}}{2} = 2 \pm \sqrt{2}$.
Проверим корни по ОДЗ ($x < 1, x \neq 0$):$x_1 = 2 + \sqrt{2} > 1$ - не удовлетворяет ОДЗ.$x_2 = 2 - \sqrt{2} \approx 2 - 1.414 = 0.586 < 1$ и не равно 0 - удовлетворяет ОДЗ.
Ответ: $2-\sqrt{2}$.

г)Исходное уравнение: $\log_2 (1-x) = 1 + 6\log_{1-x} 2$.
ОДЗ:$\begin{cases} 1-x > 0 \\ 1-x \neq 1 \end{cases} \implies \begin{cases} x < 1 \\ x \neq 0 \end{cases}$.
Используем свойство $\log_b a = \frac{1}{\log_a b}$ и введем замену $y = \log_2 (1-x)$:$y = 1 + \frac{6}{y}$.
Так как $x \neq 0$, то $1-x \neq 1$, и $y=\log_2(1-x) \neq \log_2 1 = 0$. Умножим на $y$:$y^2 = y + 6$
$y^2 - y - 6 = 0$.
Корни этого уравнения: $y_1 = 3$ и $y_2 = -2$.
Вернемся к замене:1) $\log_2 (1-x) = 3 \implies 1-x = 2^3 = 8 \implies x = -7$.2) $\log_2 (1-x) = -2 \implies 1-x = 2^{-2} = \frac{1}{4} \implies x = 1 - \frac{1}{4} = \frac{3}{4}$.
Оба корня ($-7$ и $3/4$) удовлетворяют ОДЗ.
Ответ: $-7, \frac{3}{4}$.

д)Исходное уравнение: $\log_{x^2} 9 + \log_{\sqrt{x}} 4 = 2$.
ОДЗ:$\begin{cases} x^2 > 0 \\ x^2 \neq 1 \\ \sqrt{x} > 0 \\ \sqrt{x} \neq 1 \end{cases} \implies \begin{cases} x \neq 0 \\ x \neq \pm 1 \\ x > 0 \\ x \neq 1 \end{cases}$. Объединяя условия, получаем: $x > 0, x \neq 1$.
Используем свойство логарифма $\log_{a^k} b^m = \frac{m}{k}\log_a b$:$\log_{x^2} 9 = \log_{x^2} 3^2 = \frac{2}{2}\log_x 3 = \log_x 3$.
$\log_{\sqrt{x}} 4 = \log_{x^{1/2}} 2^2 = \frac{2}{1/2}\log_x 2 = 4\log_x 2 = \log_x 2^4 = \log_x 16$.
Уравнение принимает вид:$\log_x 3 + \log_x 16 = 2$.
Используем свойство суммы логарифмов $\log_c a + \log_c b = \log_c (ab)$:$\log_x (3 \cdot 16) = 2$
$\log_x 48 = 2$
По определению логарифма:$x^2 = 48$.
$x = \pm\sqrt{48} = \pm\sqrt{16 \cdot 3} = \pm 4\sqrt{3}$.
Согласно ОДЗ ($x>0$), выбираем положительный корень: $x = 4\sqrt{3}$.
Ответ: $4\sqrt{3}$.

е)Исходное уравнение: $\log_x 2 \cdot \log_{x/16} 2 = \log_{x/64} 2$.
ОДЗ:$\begin{cases} x > 0, x \neq 1 \\ x/16 > 0, x/16 \neq 1 \\ x/64 > 0, x/64 \neq 1 \end{cases} \implies \begin{cases} x > 0, x \neq 1 \\ x > 0, x \neq 16 \\ x > 0, x \neq 64 \end{cases}$. Итоговое ОДЗ: $x > 0, x \notin \{1, 16, 64\}$.
Перейдем к основанию 2, используя формулу $\log_b a = \frac{1}{\log_a b}$:$\log_x 2 = \frac{1}{\log_2 x}$
$\log_{x/16} 2 = \frac{1}{\log_2(x/16)} = \frac{1}{\log_2 x - \log_2 16} = \frac{1}{\log_2 x - 4}$
$\log_{x/64} 2 = \frac{1}{\log_2(x/64)} = \frac{1}{\log_2 x - \log_2 64} = \frac{1}{\log_2 x - 6}$
Введем замену $y = \log_2 x$. Уравнение примет вид:$\frac{1}{y} \cdot \frac{1}{y-4} = \frac{1}{y-6}$.
$\frac{1}{y^2 - 4y} = \frac{1}{y-6}$.
Приравниваем знаменатели (при условии, что они не равны нулю, что учтено в ОДЗ):$y^2 - 4y = y-6$
$y^2 - 5y + 6 = 0$.
Корни квадратного уравнения: $y_1=2, y_2=3$.
Возвращаемся к переменной $x$:1) $\log_2 x = 2 \implies x = 2^2 = 4$.2) $\log_2 x = 3 \implies x = 2^3 = 8$.
Оба корня ($4$ и $8$) удовлетворяют ОДЗ.
Ответ: $4, 8$.

Помогло решение? Оставьте отзыв в комментариях ниже.

Присоединяйтесь к Телеграм-группе @gdz_by_belarus

Присоединиться

Мы подготовили для вас ответ c подробным объяснением домашего задания по алгебре за 11 класс, для упражнения номер 31 расположенного на странице 74 к сборнику задач 2020 года издания для учащихся школ и гимназий.

Теперь на нашем сайте ГДЗ.ТОП вы всегда легко и бесплатно найдёте условие с правильным ответом на вопрос «Как решить ДЗ» и «Как сделать» задание по алгебре к упражнению №31 (с. 74), авторов: Арефьева (Ирина Глебовна), Пирютко (Ольга Николаевна), базовый и повышенный уровень обучения учебного пособия издательства Народная асвета.