Номер 36, страница 75 - гдз по алгебре 11 класс сборник задач Арефьева, Пирютко
Авторы: Арефьева И. Г., Пирютко О. Н.
Тип: Сборник задач
Издательство: Народная асвета
Год издания: 2020 - 2025
Уровень обучения: базовый и повышенный
Цвет обложки: белый с графиком
Допущено Министерством образования Республики Беларусь
Популярные ГДЗ в 11 классе
Глава 3. Логарифмическая функция. Параграф 9. Логарифмические уравнения - номер 36, страница 75.
№36 (с. 75)
Условие. №36 (с. 75)
скриншот условия
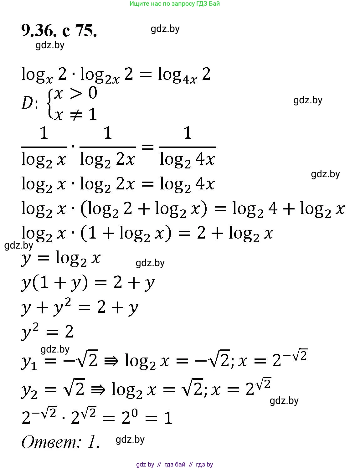
9.36. Найдите произведение корней уравнения $log_x 2 \cdot log_{2x} 2 = log_{4x} 2$.
Решение. №36 (с. 75)
Решение 2. №36 (с. 75)
Для решения уравнения $\log_x 2 \cdot \log_{2x} 2 = \log_{4x} 2$ выполним следующие шаги.
1. Определение области допустимых значений (ОДЗ) Основания логарифмов должны быть положительными и не равняться единице. Составим систему ограничений:$$ \begin{cases} x > 0 \\ x \neq 1 \\ 2x > 0 \implies x > 0 \\ 2x \neq 1 \implies x \neq \frac{1}{2} \\ 4x > 0 \implies x > 0 \\ 4x \neq 1 \implies x \neq \frac{1}{4} \end{cases} $$Таким образом, ОДЗ: $x > 0, x \neq 1, x \neq \frac{1}{2}, x \neq \frac{1}{4}$.
2. Преобразование уравнения
Воспользуемся формулой перехода к новому основанию логарифма $\log_b a = \frac{1}{\log_a b}$, чтобы привести все логарифмы к основанию 2:$$ \frac{1}{\log_2 x} \cdot \frac{1}{\log_2 (2x)} = \frac{1}{\log_2 (4x)} $$Применим свойство логарифма произведения $\log_a (bc) = \log_a b + \log_a c$:$$ \log_2(2x) = \log_2 2 + \log_2 x = 1 + \log_2 x $$$$ \log_2(4x) = \log_2 4 + \log_2 x = \log_2 (2^2) + \log_2 x = 2 + \log_2 x $$Подставим полученные выражения в уравнение:$$ \frac{1}{\log_2 x \cdot (1 + \log_2 x)} = \frac{1}{2 + \log_2 x} $$
3. Введение замены и решение нового уравнения
Сделаем замену переменной: $t = \log_2 x$. Уравнение примет вид:$$ \frac{1}{t(1+t)} = \frac{1}{2+t} $$Это уравнение равносильно тому, что знаменатели равны (при условии, что они не равны нулю, что учтено в ОДЗ):$$ t(1+t) = 2+t $$Раскроем скобки и упростим:$$ t + t^2 = 2 + t $$$$ t^2 = 2 $$Отсюда получаем два решения для $t$:$$ t_1 = \sqrt{2} \quad \text{и} \quad t_2 = -\sqrt{2} $$
4. Нахождение корней исходного уравнения
Выполним обратную замену:
- Для $t_1 = \sqrt{2}$: $\log_2 x_1 = \sqrt{2} \implies x_1 = 2^{\sqrt{2}}$
- Для $t_2 = -\sqrt{2}$: $\log_2 x_2 = -\sqrt{2} \implies x_2 = 2^{-\sqrt{2}}$
Оба корня удовлетворяют ОДЗ.
5. Нахождение произведения корней
По условию задачи, необходимо найти произведение корней $x_1 \cdot x_2$:$$ x_1 \cdot x_2 = 2^{\sqrt{2}} \cdot 2^{-\sqrt{2}} = 2^{\sqrt{2} - \sqrt{2}} = 2^0 = 1 $$
Произведение корней уравнения Ответ: 1.
Другие задания:
Помогло решение? Оставьте отзыв в комментариях ниже.
Присоединяйтесь к Телеграм-группе @gdz_by_belarus
ПрисоединитьсяМы подготовили для вас ответ c подробным объяснением домашего задания по алгебре за 11 класс, для упражнения номер 36 расположенного на странице 75 к сборнику задач 2020 года издания для учащихся школ и гимназий.
Теперь на нашем сайте ГДЗ.ТОП вы всегда легко и бесплатно найдёте условие с правильным ответом на вопрос «Как решить ДЗ» и «Как сделать» задание по алгебре к упражнению №36 (с. 75), авторов: Арефьева (Ирина Глебовна), Пирютко (Ольга Николаевна), базовый и повышенный уровень обучения учебного пособия издательства Народная асвета.