Номер 38, страница 75 - гдз по алгебре 11 класс сборник задач Арефьева, Пирютко

Алгебра, 11 класс Сборник задач, авторы: Арефьева Ирина Глебовна, Пирютко Ольга Николаевна, издательство Народная асвета, Минск, 2020, белого цвета

Авторы: Арефьева И. Г., Пирютко О. Н.

Тип: Сборник задач

Издательство: Народная асвета

Год издания: 2020 - 2025

Уровень обучения: базовый и повышенный

Цвет обложки: белый с графиком

Допущено Министерством образования Республики Беларусь

Популярные ГДЗ в 11 классе

Глава 3. Логарифмическая функция. Параграф 9. Логарифмические уравнения - номер 38, страница 75.

№38 (с. 75)
Условие. №38 (с. 75)
скриншот условия
Алгебра, 11 класс Сборник задач, авторы: Арефьева Ирина Глебовна, Пирютко Ольга Николаевна, издательство Народная асвета, Минск, 2020, белого цвета, страница 75, номер 38, Условие

9.38. Решите уравнение:

a) $16^{\log_4 x} + 2x = 15;$

б) $36^{\log_6 \lg x} = \lg x - \lg^2 x + 1;$

В) $9^{\log_{\frac{1}{3}} (x^2 - 0,5x - 9)} = 25^{\log_{\frac{1}{5}} (7 - 0,5x)};$

Г) $16^{\log_{\frac{1}{4}} (2x^2 + 2x + 0,5)} = 49^{\log_{\frac{1}{7}} (x + 1,5)}.$

Решение. №38 (с. 75)
Алгебра, 11 класс Сборник задач, авторы: Арефьева Ирина Глебовна, Пирютко Ольга Николаевна, издательство Народная асвета, Минск, 2020, белого цвета, страница 75, номер 38, Решение Алгебра, 11 класс Сборник задач, авторы: Арефьева Ирина Глебовна, Пирютко Ольга Николаевна, издательство Народная асвета, Минск, 2020, белого цвета, страница 75, номер 38, Решение (продолжение 2)
Решение 2. №38 (с. 75)

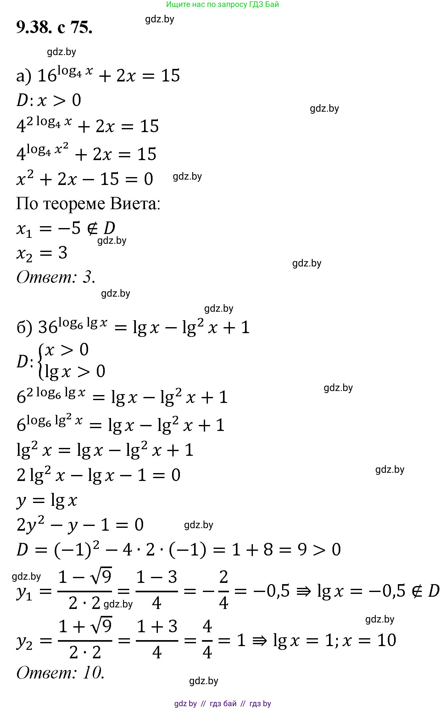
а) $16^{\log_4 x} + 2x = 15$

Найдем область допустимых значений (ОДЗ). Аргумент логарифма должен быть строго положительным:

$x > 0$

Преобразуем левую часть уравнения, используя свойства степеней и логарифмов: $a^{k \cdot \log_a b} = b^k$.

$16^{\log_4 x} = (4^2)^{\log_4 x} = 4^{2\log_4 x} = 4^{\log_4 x^2}$

По основному логарифмическому тождеству $a^{\log_a b} = b$, получаем:

$4^{\log_4 x^2} = x^2$

Подставим полученное выражение в исходное уравнение:

$x^2 + 2x = 15$

Перенесем все члены в левую часть и решим квадратное уравнение:

$x^2 + 2x - 15 = 0$

По теореме Виета, корни уравнения: $x_1 = 3$ и $x_2 = -5$.

Проверим корни на соответствие ОДЗ ($x > 0$).

$x_1 = 3$ удовлетворяет условию $x > 0$.

$x_2 = -5$ не удовлетворяет условию $x > 0$, поэтому является посторонним корнем.

Ответ: 3.


б) $36^{\log_6 \lg x} = \lg x - \lg^2 x + 1$

Найдем ОДЗ. Аргумент десятичного логарифма ($\lg$) должен быть положительным, и аргумент логарифма по основанию 6 также должен быть положительным:

$\begin{cases} x > 0 \\ \lg x > 0 \end{cases}$

Из второго неравенства $\lg x > \lg 1$, что при основании $10 > 1$ равносильно $x > 1$. Таким образом, ОДЗ: $x > 1$.

Преобразуем левую часть уравнения:

$36^{\log_6 \lg x} = (6^2)^{\log_6 \lg x} = 6^{2\log_6 \lg x} = 6^{\log_6 ((\lg x)^2)} = (\lg x)^2 = \lg^2 x$

Подставим в уравнение:

$\lg^2 x = \lg x - \lg^2 x + 1$

$2\lg^2 x - \lg x - 1 = 0$

Сделаем замену переменной. Пусть $t = \lg x$. Уравнение примет вид:

$2t^2 - t - 1 = 0$

Решим это квадратное уравнение относительно $t$, используя формулу для корней:

$D = (-1)^2 - 4 \cdot 2 \cdot (-1) = 1 + 8 = 9$

$t_1 = \frac{1 - \sqrt{9}}{2 \cdot 2} = \frac{1-3}{4} = -\frac{1}{2}$

$t_2 = \frac{1 + \sqrt{9}}{2 \cdot 2} = \frac{4}{4} = 1$

Вернемся к исходной переменной:

1) $\lg x = -\frac{1}{2} \implies x = 10^{-1/2} = \frac{1}{\sqrt{10}}$. Этот корень не удовлетворяет ОДЗ ($x > 1$), так как $\frac{1}{\sqrt{10}} < 1$.

2) $\lg x = 1 \implies x = 10^1 = 10$. Этот корень удовлетворяет ОДЗ ($x > 1$).

Ответ: 10.


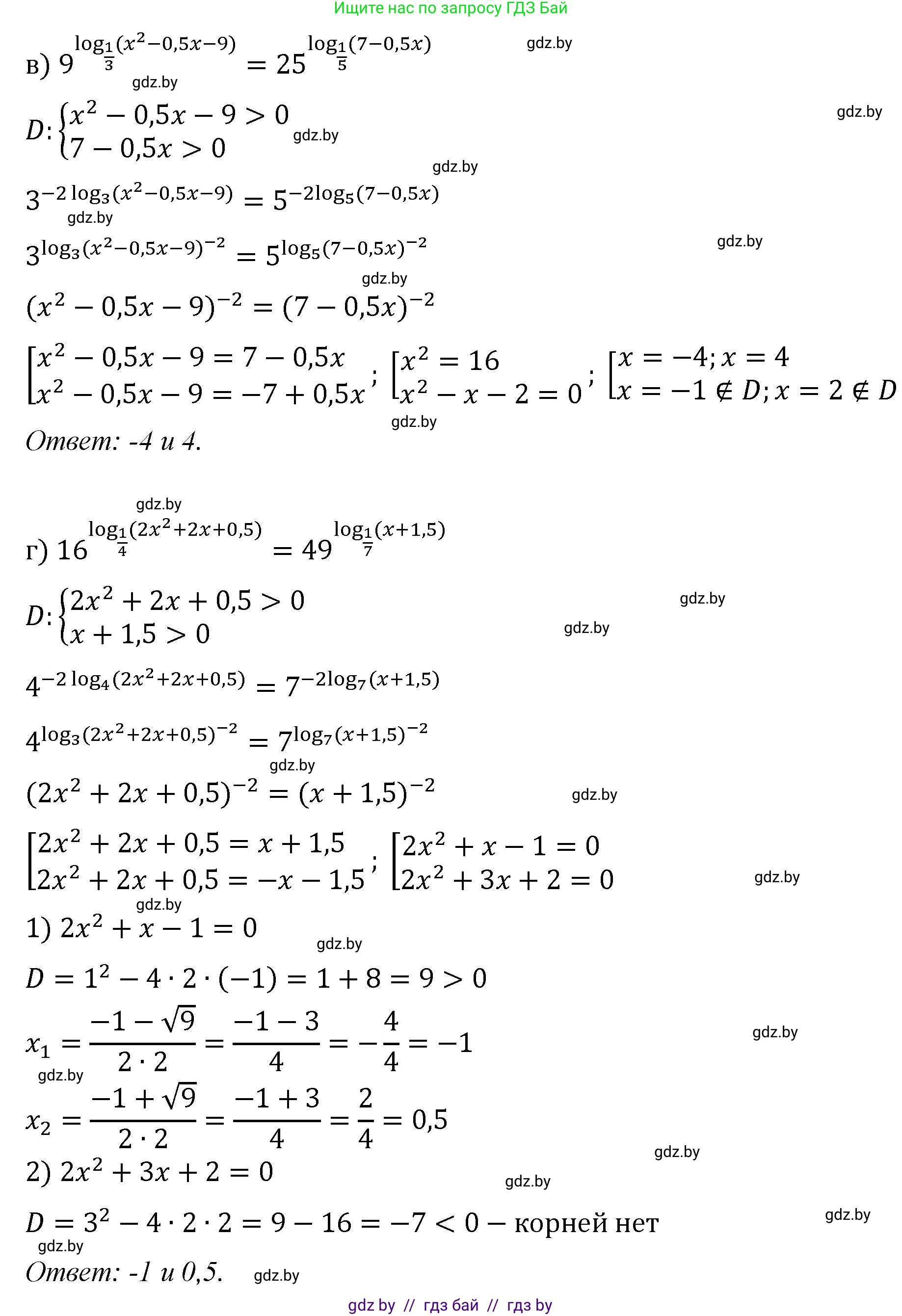
в) $9^{\log_{\frac{1}{3}}(x^2 - 0.5x - 9)} = 25^{\log_{\frac{1}{5}}(7 - 0.5x)}$

Найдем ОДЗ. Аргументы логарифмов должны быть положительными:

$\begin{cases} x^2 - 0.5x - 9 > 0 \\ 7 - 0.5x > 0 \end{cases}$

Из второго неравенства: $0.5x < 7 \implies x < 14$.

Для первого неравенства $x^2 - 0.5x - 9 > 0$ (или $2x^2 - x - 18 > 0$) найдем корни соответствующего уравнения $2x^2 - x - 18 = 0$. $D = (-1)^2 - 4(2)(-18) = 1 + 144 = 145$. Корни $x_{1,2} = \frac{1 \pm \sqrt{145}}{4}$. Так как ветви параболы направлены вверх, неравенство выполняется при $x < \frac{1 - \sqrt{145}}{4}$ или $x > \frac{1 + \sqrt{145}}{4}$.

Приближенные значения корней: $\frac{1 - \sqrt{145}}{4} \approx -2.76$ и $\frac{1 + \sqrt{145}}{4} \approx 3.26$.

ОДЗ: $x \in (-\infty; \frac{1 - \sqrt{145}}{4}) \cup (\frac{1 + \sqrt{145}}{4}; 14)$.

Преобразуем обе части уравнения, используя свойства $\log_{1/b} a = -\log_b a$ и $a^{k \cdot \log_c b} = (a^k)^{\log_c b}$.

Левая часть: $9^{\log_{\frac{1}{3}}(x^2 - 0.5x - 9)} = (3^2)^{-\log_3(x^2 - 0.5x - 9)} = 3^{-2\log_3(x^2 - 0.5x - 9)} = (x^2 - 0.5x - 9)^{-2}$.

Правая часть: $25^{\log_{\frac{1}{5}}(7 - 0.5x)} = (5^2)^{-\log_5(7 - 0.5x)} = 5^{-2\log_5(7 - 0.5x)} = (7 - 0.5x)^{-2}$.

Получаем уравнение: $(x^2 - 0.5x - 9)^{-2} = (7 - 0.5x)^{-2}$.

Это равенство возможно, если $a^{-2}=b^{-2}$, что эквивалентно $a^2=b^2$, т.е. $a = \pm b$.

$x^2 - 0.5x - 9 = \pm(7 - 0.5x)$.

Рассмотрим два случая:

1) $x^2 - 0.5x - 9 = 7 - 0.5x \implies x^2 = 16 \implies x_1 = 4, x_2 = -4$.

2) $x^2 - 0.5x - 9 = -(7 - 0.5x) \implies x^2 - 0.5x - 9 = -7 + 0.5x \implies x^2 - x - 2 = 0$. По теореме Виета, $x_3 = 2, x_4 = -1$.

Проверим корни по ОДЗ: $x \in (-\infty; \approx -2.76) \cup (\approx 3.26; 14)$.

$x_1=4$ - подходит ($4 \in (\approx 3.26; 14)$).

$x_2=-4$ - подходит ($-4 \in (-\infty; \approx -2.76)$).

$x_3=2$ - не подходит.

$x_4=-1$ - не подходит.

Ответ: -4; 4.


г) $16^{\log_{\frac{1}{4}}(2x^2 + 2x + 0.5)} = 49^{\log_{\frac{1}{7}}(x + 1.5)}$

Найдем ОДЗ:

$\begin{cases} 2x^2 + 2x + 0.5 > 0 \\ x + 1.5 > 0 \end{cases}$

Из второго неравенства: $x > -1.5$.

Первое неравенство: $2(x^2 + x + 0.25) > 0 \implies 2(x+0.5)^2 > 0$. Это верно для всех $x$, кроме $x=-0.5$.

ОДЗ: $x \in (-1.5, -0.5) \cup (-0.5, \infty)$.

Преобразуем уравнение аналогично предыдущему пункту:

Левая часть: $16^{\log_{\frac{1}{4}}(2x^2 + 2x + 0.5)} = (4^2)^{-\log_4(2x^2 + 2x + 0.5)} = (2x^2 + 2x + 0.5)^{-2}$.

Правая часть: $49^{\log_{\frac{1}{7}}(x + 1.5)} = (7^2)^{-\log_7(x + 1.5)} = (x + 1.5)^{-2}$.

Получаем уравнение: $(2x^2 + 2x + 0.5)^{-2} = (x + 1.5)^{-2}$.

Отсюда $2x^2 + 2x + 0.5 = \pm(x + 1.5)$.

Рассмотрим два случая:

1) $2x^2 + 2x + 0.5 = x + 1.5 \implies 2x^2 + x - 1 = 0$.

$D = 1^2 - 4(2)(-1) = 9$.

$x_1 = \frac{-1 + 3}{4} = \frac{2}{4} = 0.5$.

$x_2 = \frac{-1 - 3}{4} = -1$.

2) $2x^2 + 2x + 0.5 = -(x + 1.5) \implies 2x^2 + 3x + 2 = 0$.

$D = 3^2 - 4(2)(2) = 9 - 16 = -7 < 0$. Действительных корней нет.

Проверим найденные корни по ОДЗ: $x \in (-1.5, -0.5) \cup (-0.5, \infty)$.

$x_1 = 0.5$ - подходит ($0.5 \in (-0.5, \infty)$).

$x_2 = -1$ - подходит ($-1 \in (-1.5, -0.5)$).

Ответ: -1; 0.5.

Помогло решение? Оставьте отзыв в комментариях ниже.

Присоединяйтесь к Телеграм-группе @gdz_by_belarus

Присоединиться

Мы подготовили для вас ответ c подробным объяснением домашего задания по алгебре за 11 класс, для упражнения номер 38 расположенного на странице 75 к сборнику задач 2020 года издания для учащихся школ и гимназий.

Теперь на нашем сайте ГДЗ.ТОП вы всегда легко и бесплатно найдёте условие с правильным ответом на вопрос «Как решить ДЗ» и «Как сделать» задание по алгебре к упражнению №38 (с. 75), авторов: Арефьева (Ирина Глебовна), Пирютко (Ольга Николаевна), базовый и повышенный уровень обучения учебного пособия издательства Народная асвета.