Номер 45, страница 76 - гдз по алгебре 11 класс сборник задач Арефьева, Пирютко
Авторы: Арефьева И. Г., Пирютко О. Н.
Тип: Сборник задач
Издательство: Народная асвета
Год издания: 2020 - 2025
Уровень обучения: базовый и повышенный
Цвет обложки: белый с графиком
Допущено Министерством образования Республики Беларусь
Популярные ГДЗ в 11 классе
Глава 3. Логарифмическая функция. Параграф 9. Логарифмические уравнения - номер 45, страница 76.
№45 (с. 76)
Условие. №45 (с. 76)
скриншот условия
9.45. Найдите все корни уравнения:
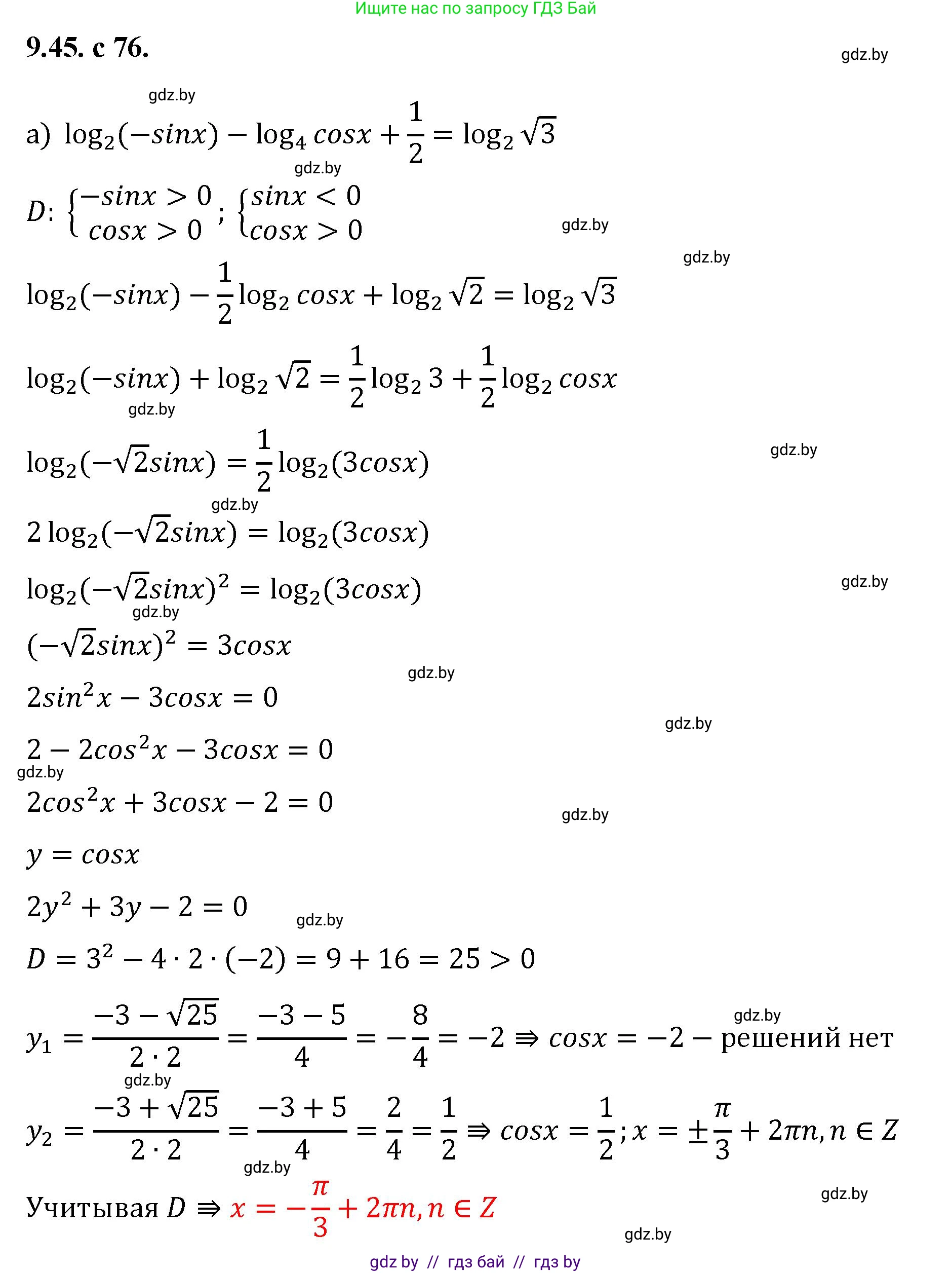
a) $ \log_2 (-\sin x) - \log_4 \cos x + \frac{1}{2} = \log_2 \sqrt{3}; $
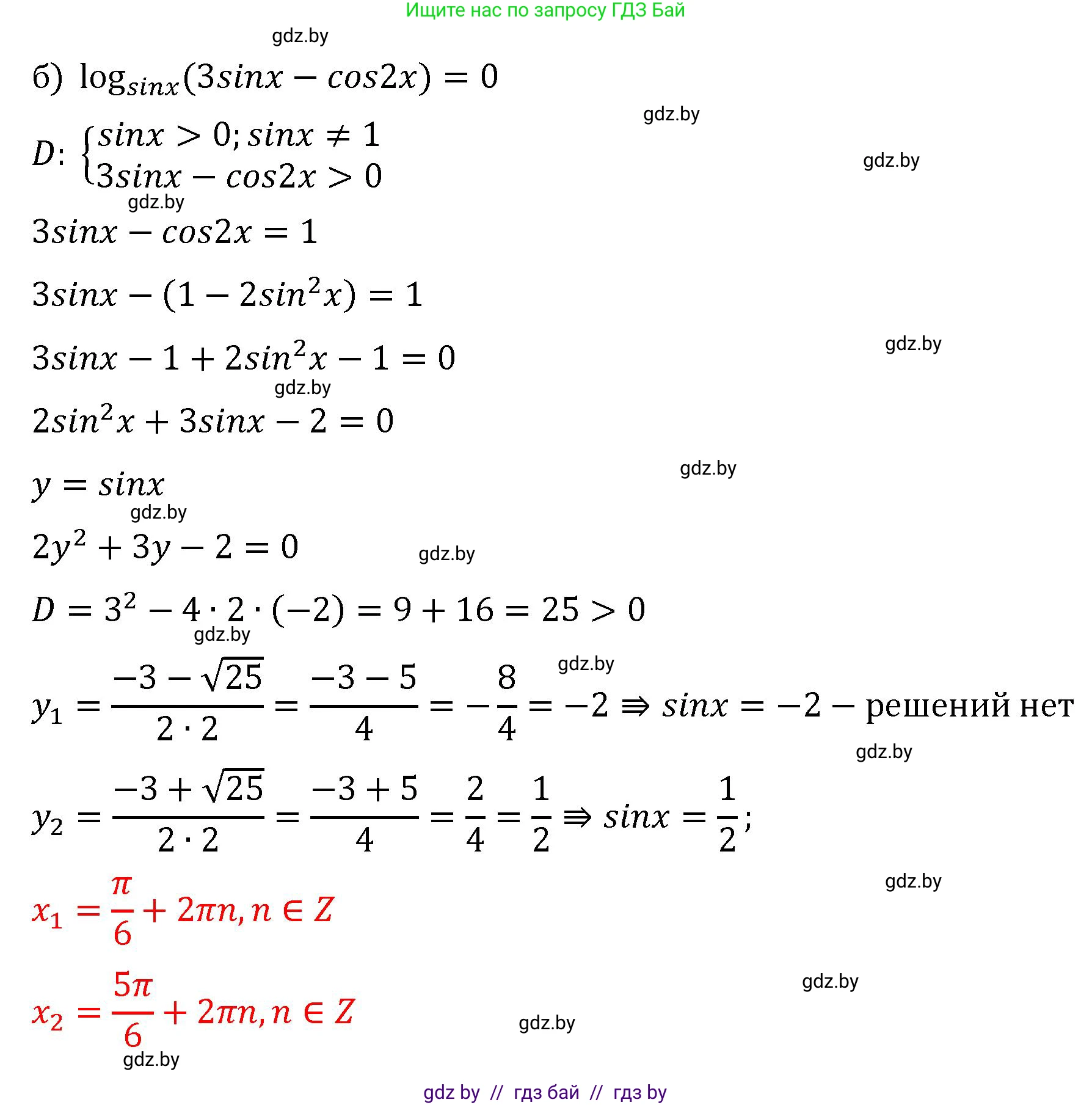
б) $ \log_{\sin x} (3\sin x - \cos 2x) = 0. $
Решение. №45 (с. 76)
Решение 2. №45 (с. 76)
а) $\log_{2} (-\sin x) - \log_{4} \cos x + \frac{1}{2} = \log_{2} \sqrt{3}$
1. Найдем область допустимых значений (ОДЗ). Аргументы логарифмов должны быть строго положительными:
- $-\sin x > 0 \implies \sin x < 0$
- $\cos x > 0$
Условия $\sin x < 0$ и $\cos x > 0$ выполняются одновременно только в IV координатной четверти. Таким образом, ОДЗ: $x \in (2\pi k - \frac{\pi}{2}; 2\pi k)$, где $k \in \mathbb{Z}$.
2. Приведем все слагаемые в уравнении к логарифмам по основанию 2.
- Используем формулу перехода к новому основанию: $\log_{4} \cos x = \frac{\log_{2} \cos x}{\log_{2} 4} = \frac{\log_{2} \cos x}{2} = \frac{1}{2}\log_{2} \cos x = \log_{2} (\cos x)^{1/2} = \log_{2} \sqrt{\cos x}$.
- Представим константу в виде логарифма: $\frac{1}{2} = \frac{1}{2} \cdot \log_{2} 2 = \log_{2} 2^{1/2} = \log_{2} \sqrt{2}$.
3. Подставим преобразованные выражения в исходное уравнение:
$\log_{2} (-\sin x) - \log_{2} \sqrt{\cos x} + \log_{2} \sqrt{2} = \log_{2} \sqrt{3}$
4. Используем свойства логарифмов $\log a - \log b = \log(a/b)$ и $\log a + \log b = \log(ab)$:
$\log_{2} \left(\frac{-\sin x \cdot \sqrt{2}}{\sqrt{\cos x}}\right) = \log_{2} \sqrt{3}$
5. Приравняем аргументы логарифмов:
$\frac{-\sin x \cdot \sqrt{2}}{\sqrt{\cos x}} = \sqrt{3}$
$-\sqrt{2} \sin x = \sqrt{3} \sqrt{\cos x}$
6. В ОДЗ обе части уравнения положительны, поэтому можно возвести их в квадрат:
$(-\sqrt{2} \sin x)^2 = (\sqrt{3} \sqrt{\cos x})^2$
$2\sin^2 x = 3\cos x$
7. Используем основное тригонометрическое тождество $\sin^2 x = 1 - \cos^2 x$, чтобы получить уравнение относительно $\cos x$:
$2(1 - \cos^2 x) = 3\cos x$
$2 - 2\cos^2 x - 3\cos x = 0$
$2\cos^2 x + 3\cos x - 2 = 0$
8. Сделаем замену $t = \cos x$ (где $|t| \le 1$) и решим квадратное уравнение $2t^2 + 3t - 2 = 0$:
$D = 3^2 - 4 \cdot 2 \cdot (-2) = 9 + 16 = 25$
$t_1 = \frac{-3 + \sqrt{25}}{2 \cdot 2} = \frac{-3+5}{4} = \frac{2}{4} = \frac{1}{2}$
$t_2 = \frac{-3 - \sqrt{25}}{2 \cdot 2} = \frac{-3-5}{4} = \frac{-8}{4} = -2$
9. Выполним обратную замену:
- $\cos x = -2$. Это уравнение не имеет решений, так как $|\cos x| \le 1$.
- $\cos x = \frac{1}{2}$. Общее решение: $x = \pm\frac{\pi}{3} + 2\pi k, k \in \mathbb{Z}$.
10. Выберем корни, удовлетворяющие ОДЗ ($\sin x < 0$):
- Для серии $x = \frac{\pi}{3} + 2\pi k$, $\sin(\frac{\pi}{3} + 2\pi k) = \sin(\frac{\pi}{3}) = \frac{\sqrt{3}}{2} > 0$. Эти корни не подходят.
- Для серии $x = -\frac{\pi}{3} + 2\pi k$, $\sin(-\frac{\pi}{3} + 2\pi k) = \sin(-\frac{\pi}{3}) = -\frac{\sqrt{3}}{2} < 0$. Эти корни подходят.
Корни уравнения: $x = -\frac{\pi}{3} + 2\pi k, k \in \mathbb{Z}$. Эту же серию можно записать в виде $x = \frac{5\pi}{3} + 2\pi n, n \in \mathbb{Z}$. Дробь $\frac{5}{3}$ является неправильной. Выделим целую часть: $\frac{5}{3} = 1\frac{2}{3}$.
Ответ: а) $x = \mathbf{1}\frac{2}{3}\pi + 2\pi k, k \in \mathbb{Z}$.
б) $\log_{\sin x} (3\sin x - \cos 2x) = 0$
1. Найдем область допустимых значений (ОДЗ):
- Основание логарифма: $\sin x > 0$ и $\sin x \neq 1$.
- Аргумент логарифма: $3\sin x - \cos 2x > 0$.
2. По определению логарифма, если $\log_a b = 0$, то $b=1$. Применим это к нашему уравнению:
$3\sin x - \cos 2x = 1$
3. Используем формулу косинуса двойного угла $\cos 2x = 1 - 2\sin^2 x$, чтобы привести уравнение к одной функции $\sin x$:
$3\sin x - (1 - 2\sin^2 x) = 1$
$3\sin x - 1 + 2\sin^2 x = 1$
$2\sin^2 x + 3\sin x - 2 = 0$
4. Сделаем замену $y = \sin x$ и решим полученное квадратное уравнение $2y^2 + 3y - 2 = 0$:
$D = 3^2 - 4 \cdot 2 \cdot (-2) = 25$
$y_1 = \frac{-3 + 5}{4} = \frac{1}{2}$
$y_2 = \frac{-3 - 5}{4} = -2$
5. Выполним обратную замену:
- $\sin x = -2$. Уравнение не имеет решений, так как $|\sin x| \le 1$.
- $\sin x = \frac{1}{2}$.
6. Проверим решение $\sin x = \frac{1}{2}$ по ОДЗ:
- $\sin x = \frac{1}{2} > 0$. Условие выполнено.
- $\sin x = \frac{1}{2} \neq 1$. Условие выполнено.
- $3\sin x - \cos 2x = 1 > 0$. Условие для аргумента также выполнено.
Все условия ОДЗ соблюдены.
7. Найдем все значения $x$, для которых $\sin x = \frac{1}{2}$:
Это стандартное тригонометрическое уравнение, которое имеет две серии решений:
- $x = \frac{\pi}{6} + 2\pi k, k \in \mathbb{Z}$
- $x = \pi - \frac{\pi}{6} + 2\pi k = \frac{5\pi}{6} + 2\pi k, k \in \mathbb{Z}$
Коэффициенты при $\pi$ ($\frac{1}{6}$ и $\frac{5}{6}$) являются правильными дробями, поэтому преобразование не требуется.
Ответ: б) $x = \frac{\pi}{6} + 2\pi k, x = \frac{5\pi}{6} + 2\pi k, k \in \mathbb{Z}$.
Другие задания:
Помогло решение? Оставьте отзыв в комментариях ниже.
Присоединяйтесь к Телеграм-группе @gdz_by_belarus
ПрисоединитьсяМы подготовили для вас ответ c подробным объяснением домашего задания по алгебре за 11 класс, для упражнения номер 45 расположенного на странице 76 к сборнику задач 2020 года издания для учащихся школ и гимназий.
Теперь на нашем сайте ГДЗ.ТОП вы всегда легко и бесплатно найдёте условие с правильным ответом на вопрос «Как решить ДЗ» и «Как сделать» задание по алгебре к упражнению №45 (с. 76), авторов: Арефьева (Ирина Глебовна), Пирютко (Ольга Николаевна), базовый и повышенный уровень обучения учебного пособия издательства Народная асвета.