Номер 8, страница 92 - гдз по алгебре 11 класс сборник задач Арефьева, Пирютко

Алгебра, 11 класс Сборник задач, авторы: Арефьева Ирина Глебовна, Пирютко Ольга Николаевна, издательство Народная асвета, Минск, 2020, белого цвета

Авторы: Арефьева И. Г., Пирютко О. Н.

Тип: Сборник задач

Издательство: Народная асвета

Год издания: 2020 - 2025

Уровень обучения: базовый и повышенный

Цвет обложки: белый с графиком

Допущено Министерством образования Республики Беларусь

Популярные ГДЗ в 11 классе

Глава 3. Логарифмическая функция. Параграф 10. Логарифмические неравенства - номер 8, страница 92.

№8 (с. 92)
Условие. №8 (с. 92)
скриншот условия
Алгебра, 11 класс Сборник задач, авторы: Арефьева Ирина Глебовна, Пирютко Ольга Николаевна, издательство Народная асвета, Минск, 2020, белого цвета, страница 92, номер 8, Условие

10.8. Решите неравенство:

a) $ \log^2_3 x - 2\log_3 x \le 3; $

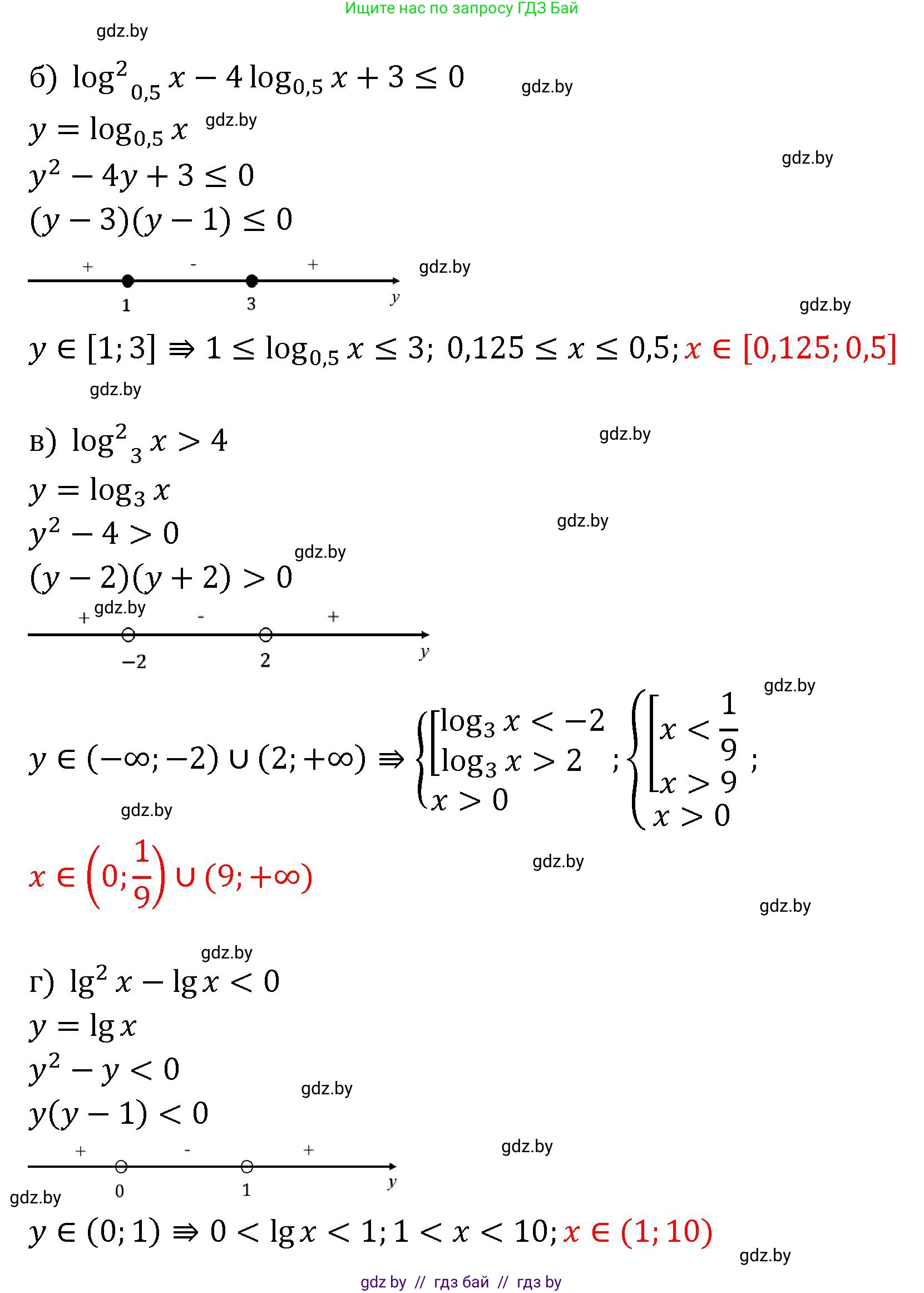
б) $ \log^2_{0,5} x - 4\log_{0,5} x + 3 \le 0; $

В) $ \log^2_3 x > 4; $

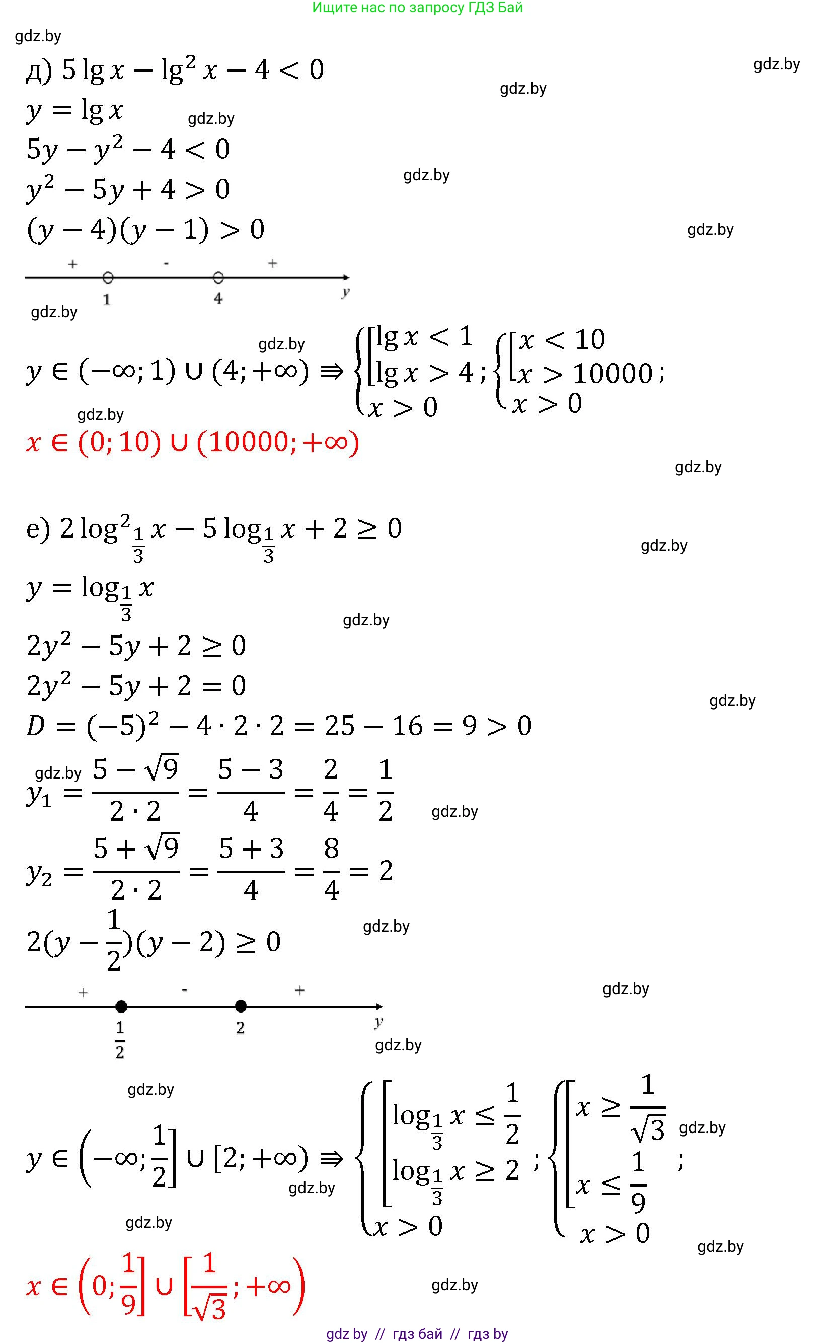
г) $ \lg^2 x - \lg x < 0; $

Д) $ 5\lg x - \lg^2 x - 4 < 0; $

е) $ 2\log^2_{\frac{1}{3}} x - 5\log_{\frac{1}{3}} x + 2 \ge 0. $

Решение. №8 (с. 92)
Алгебра, 11 класс Сборник задач, авторы: Арефьева Ирина Глебовна, Пирютко Ольга Николаевна, издательство Народная асвета, Минск, 2020, белого цвета, страница 92, номер 8, Решение Алгебра, 11 класс Сборник задач, авторы: Арефьева Ирина Глебовна, Пирютко Ольга Николаевна, издательство Народная асвета, Минск, 2020, белого цвета, страница 92, номер 8, Решение (продолжение 2) Алгебра, 11 класс Сборник задач, авторы: Арефьева Ирина Глебовна, Пирютко Ольга Николаевна, издательство Народная асвета, Минск, 2020, белого цвета, страница 92, номер 8, Решение (продолжение 3)
Решение 2. №8 (с. 92)

а) Исходное неравенство: $\log_3^2 x - 2\log_3 x \le 3$.
1. Область допустимых значений (ОДЗ): аргумент логарифма должен быть строго положительным, то есть $x > 0$.
2. Перенесем все члены в левую часть неравенства: $\log_3^2 x - 2\log_3 x - 3 \le 0$.
3. Сделаем замену переменной. Пусть $t = \log_3 x$. Тогда неравенство принимает вид квадратного неравенства относительно $t$: $t^2 - 2t - 3 \le 0$.
4. Решим квадратное неравенство. Найдем корни соответствующего уравнения $t^2 - 2t - 3 = 0$. По теореме Виета (или через дискриминант $D = (-2)^2 - 4 \cdot 1 \cdot (-3) = 16$), корни уравнения: $t_1 = -1$ и $t_2 = 3$.
Графиком функции $y = t^2 - 2t - 3$ является парабола с ветвями, направленными вверх. Значения функции не положительны (меньше или равны нулю) между корнями. Таким образом, решением неравенства для $t$ является отрезок $[-1, 3]$, то есть $-1 \le t \le 3$.
5. Выполним обратную замену: $-1 \le \log_3 x \le 3$.
6. Решим полученное двойное логарифмическое неравенство. Так как основание логарифма $3 > 1$, логарифмическая функция является возрастающей, и знаки неравенства сохраняются при потенцировании: $3^{-1} \le x \le 3^3$
$\frac{1}{3} \le x \le 27$.
7. Это решение полностью удовлетворяет ОДЗ ($x > 0$).
Ответ: $x \in [\frac{1}{3}, 27]$.

б) Исходное неравенство: $\log_{0.5}^2 x - 4\log_{0.5} x + 3 \le 0$.
1. ОДЗ: $x > 0$.
2. Сделаем замену переменной. Пусть $t = \log_{0.5} x$. Неравенство принимает вид: $t^2 - 4t + 3 \le 0$.
3. Решим квадратное неравенство относительно $t$. Найдем корни уравнения $t^2 - 4t + 3 = 0$. По теореме Виета, корни $t_1 = 1$ и $t_2 = 3$.
Парабола $y = t^2 - 4t + 3$ имеет ветви вверх, поэтому неравенство выполняется при $t \in [1, 3]$, то есть $1 \le t \le 3$.
4. Выполним обратную замену: $1 \le \log_{0.5} x \le 3$.
5. Решим полученное двойное неравенство. Основание логарифма $0.5 < 1$, поэтому логарифмическая функция является убывающей, и при потенцировании знаки неравенства меняются на противоположные: $(0.5)^1 \ge x \ge (0.5)^3$
$\frac{1}{2} \ge x \ge \frac{1}{8}$.
Запишем в стандартном виде: $\frac{1}{8} \le x \le \frac{1}{2}$.
6. Это решение полностью удовлетворяет ОДЗ ($x > 0$).
Ответ: $x \in [\frac{1}{8}, \frac{1}{2}]$.

в) Исходное неравенство: $\log_3^2 x > 4$.
1. ОДЗ: $x > 0$.
2. Сделаем замену переменной. Пусть $t = \log_3 x$. Неравенство принимает вид: $t^2 > 4$.
3. Решим неравенство $t^2 - 4 > 0$, или $(t-2)(t+2) > 0$. Корни соответствующего уравнения: $t_1 = -2, t_2 = 2$. Парабола $y=t^2-4$ с ветвями вверх, значит, неравенство выполняется "по краям" от корней: $t < -2$ или $t > 2$.
4. Выполним обратную замену. Получаем совокупность двух неравенств: $\log_3 x < -2$ или $\log_3 x > 2$.
5. Решим каждое неравенство. Основание $3>1$, функция возрастающая, знаки сохраняются: Для $\log_3 x < -2 \implies x < 3^{-2} \implies x < \frac{1}{9}$. Для $\log_3 x > 2 \implies x > 3^2 \implies x > 9$.
6. Учтем ОДЗ ($x>0$). Из $x < \frac{1}{9}$ и $x>0$ получаем $0 < x < \frac{1}{9}$. Неравенство $x>9$ уже удовлетворяет ОДЗ.
Объединяя решения, получаем: $x \in (0, \frac{1}{9}) \cup (9, \infty)$.
Ответ: $x \in (0, \frac{1}{9}) \cup (9, \infty)$.

г) Исходное неравенство: $\lg^2 x - \lg x < 0$. (Напомним, что $\lg x = \log_{10} x$)
1. ОДЗ: $x > 0$.
2. Сделаем замену переменной. Пусть $t = \lg x$. Неравенство принимает вид: $t^2 - t < 0$.
3. Решим неравенство $t(t-1) < 0$. Корни $t=0$ и $t=1$. Парабола с ветвями вверх, значит, неравенство выполняется между корнями: $0 < t < 1$.
4. Выполним обратную замену: $0 < \lg x < 1$.
5. Решим двойное неравенство. Основание $10 > 1$, функция возрастающая, знаки сохраняются: $10^0 < x < 10^1$
$1 < x < 10$.
6. Решение удовлетворяет ОДЗ.
Ответ: $x \in (1, 10)$.

д) Исходное неравенство: $5\lg x - \lg^2 x - 4 < 0$.
1. ОДЗ: $x > 0$.
2. Умножим неравенство на $-1$ и сменим знак, чтобы получить стандартный вид квадратного неравенства: $\lg^2 x - 5\lg x + 4 > 0$.
3. Сделаем замену переменной. Пусть $t = \lg x$. $t^2 - 5t + 4 > 0$.
4. Решим квадратное неравенство. Корни уравнения $t^2 - 5t + 4 = 0$ по теореме Виета равны $t_1 = 1, t_2 = 4$. Парабола $y = t^2 - 5t + 4$ с ветвями вверх, неравенство выполняется вне интервала между корнями: $t < 1$ или $t > 4$.
5. Выполним обратную замену: $\lg x < 1$ или $\lg x > 4$.
6. Решим каждое неравенство. Основание $10 > 1$, знаки сохраняются: $\lg x < 1 \implies x < 10^1 \implies x < 10$. $\lg x > 4 \implies x > 10^4 \implies x > 10000$.
7. Учтем ОДЗ ($x>0$). Из $x < 10$ и $x > 0$ получаем $0 < x < 10$. Неравенство $x > 10000$ удовлетворяет ОДЗ.
Объединяя решения, получаем: $x \in (0, 10) \cup (10000, \infty)$.
Ответ: $x \in (0, 10) \cup (10000, \infty)$.

е) Исходное неравенство: $2\log_{\frac{1}{3}}^2 x - 5\log_{\frac{1}{3}} x + 2 \ge 0$.
1. ОДЗ: $x > 0$.
2. Сделаем замену переменной. Пусть $t = \log_{\frac{1}{3}} x$. $2t^2 - 5t + 2 \ge 0$.
3. Решим квадратное неравенство. Найдем корни уравнения $2t^2 - 5t + 2 = 0$. Дискриминант $D = (-5)^2 - 4 \cdot 2 \cdot 2 = 25 - 16 = 9 = 3^2$. Корни: $t_1 = \frac{5 - 3}{2 \cdot 2} = \frac{2}{4} = \frac{1}{2}$ и $t_2 = \frac{5 + 3}{2 \cdot 2} = \frac{8}{4} = 2$.
Парабола $y = 2t^2 - 5t + 2$ с ветвями вверх, неравенство выполняется при $t$ на корнях или вне интервала между ними: $t \le \frac{1}{2}$ или $t \ge 2$.
4. Выполним обратную замену: $\log_{\frac{1}{3}} x \le \frac{1}{2}$ или $\log_{\frac{1}{3}} x \ge 2$.
5. Решим каждое неравенство. Основание $\frac{1}{3} < 1$, функция убывающая, знаки неравенства меняются на противоположные: Для $\log_{\frac{1}{3}} x \le \frac{1}{2} \implies x \ge (\frac{1}{3})^{\frac{1}{2}} \implies x \ge \frac{1}{\sqrt{3}} \implies x \ge \frac{\sqrt{3}}{3}$. Для $\log_{\frac{1}{3}} x \ge 2 \implies x \le (\frac{1}{3})^2 \implies x \le \frac{1}{9}$.
6. Учтем ОДЗ ($x>0$). Решение $x \ge \frac{\sqrt{3}}{3}$ удовлетворяет ОДЗ. Из $x \le \frac{1}{9}$ и $x>0$ получаем $0 < x \le \frac{1}{9}$.
Объединяя решения, получаем: $x \in (0, \frac{1}{9}] \cup [\frac{\sqrt{3}}{3}, \infty)$.
Ответ: $x \in (0, \frac{1}{9}] \cup [\frac{\sqrt{3}}{3}, \infty)$.

Помогло решение? Оставьте отзыв в комментариях ниже.

Присоединяйтесь к Телеграм-группе @gdz_by_belarus

Присоединиться

Мы подготовили для вас ответ c подробным объяснением домашего задания по алгебре за 11 класс, для упражнения номер 8 расположенного на странице 92 к сборнику задач 2020 года издания для учащихся школ и гимназий.

Теперь на нашем сайте ГДЗ.ТОП вы всегда легко и бесплатно найдёте условие с правильным ответом на вопрос «Как решить ДЗ» и «Как сделать» задание по алгебре к упражнению №8 (с. 92), авторов: Арефьева (Ирина Глебовна), Пирютко (Ольга Николаевна), базовый и повышенный уровень обучения учебного пособия издательства Народная асвета.