Номер 4, страница 115 - гдз по алгебре 11 класс сборник задач Арефьева, Пирютко

Алгебра, 11 класс Сборник задач, авторы: Арефьева Ирина Глебовна, Пирютко Ольга Николаевна, издательство Народная асвета, Минск, 2020, белого цвета

Авторы: Арефьева И. Г., Пирютко О. Н.

Тип: Сборник задач

Издательство: Народная асвета

Год издания: 2020 - 2025

Уровень обучения: базовый и повышенный

Цвет обложки: белый с графиком

Допущено Министерством образования Республики Беларусь

Популярные ГДЗ в 11 классе

Глава 4. Системы уравнений и неравенств. Параграф 11. Методы решения систем уравнений - номер 4, страница 115.

№4 (с. 115)
Условие. №4 (с. 115)
скриншот условия
Алгебра, 11 класс Сборник задач, авторы: Арефьева Ирина Глебовна, Пирютко Ольга Николаевна, издательство Народная асвета, Минск, 2020, белого цвета, страница 115, номер 4, Условие

11.4. Решите систему уравнений:

а) $\begin{cases} \frac{y-2}{x-1} = 2, \\ y - 2x = x^2 - 1; \end{cases}$

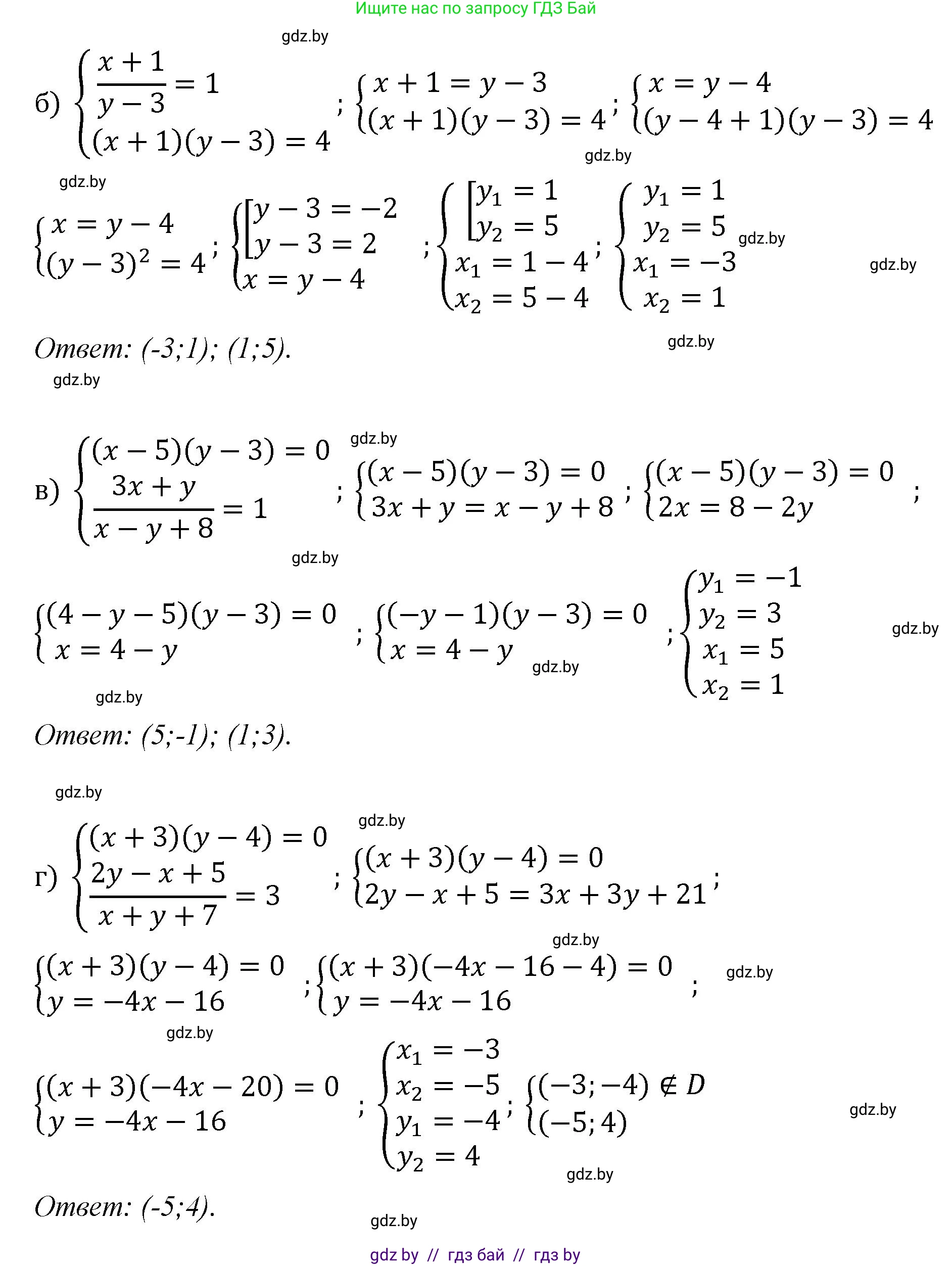
б) $\begin{cases} \frac{x+1}{y-3} = 1, \\ (x+1)(y-3) = 4; \end{cases}$

в) $\begin{cases} (x-5)(y-3) = 0; \\ \frac{3x+y}{x-y+8} = 1; \end{cases}$

г) $\begin{cases} (x+3)(y-4) = 0; \\ \frac{2y-x+5}{x+y+7} = 3. \end{cases}$

Решение. №4 (с. 115)
Алгебра, 11 класс Сборник задач, авторы: Арефьева Ирина Глебовна, Пирютко Ольга Николаевна, издательство Народная асвета, Минск, 2020, белого цвета, страница 115, номер 4, Решение Алгебра, 11 класс Сборник задач, авторы: Арефьева Ирина Глебовна, Пирютко Ольга Николаевна, издательство Народная асвета, Минск, 2020, белого цвета, страница 115, номер 4, Решение (продолжение 2)
Решение 2. №4 (с. 115)

а)Исходная система уравнений:$$\begin{cases}\frac{y-2}{x-1} = 2, \\y - 2x = x^2 - 1;\end{cases}$$Найдем область допустимых значений (ОДЗ). Знаменатель дроби не должен быть равен нулю: $x - 1 \neq 0$, следовательно, $x \neq 1$.
Из первого уравнения выразим $y$ через $x$:$y - 2 = 2(x - 1)$
$y - 2 = 2x - 2$
$y = 2x$
Теперь подставим полученное выражение для $y$ во второе уравнение системы:$(2x) - 2x = x^2 - 1$
$0 = x^2 - 1$
$x^2 = 1$
Это уравнение имеет два корня: $x_1 = 1$ и $x_2 = -1$.
Согласно ОДЗ, $x \neq 1$, поэтому корень $x_1 = 1$ является посторонним. Единственным решением для $x$ является $x = -1$.
Найдем соответствующее значение $y$, используя выражение $y = 2x$:$y = 2(-1) = -2$
Таким образом, решение системы — пара чисел $(-1, -2)$.
Ответ: $(-1, -2)$.

б)Исходная система уравнений:$$\begin{cases}\frac{x+1}{y-3} = 1, \\(x+1)(y-3) = 4;\end{cases}$$ОДЗ: $y - 3 \neq 0$, следовательно, $y \neq 3$.
Из первого уравнения выразим $x+1$:$x + 1 = 1 \cdot (y - 3)$
$x + 1 = y - 3$
Подставим это выражение во второе уравнение системы:$(y - 3)(y - 3) = 4$
$(y - 3)^2 = 4$
Это уравнение распадается на два:
1) $y - 3 = 2 \Rightarrow y = 5$.
Найдем $x$ из уравнения $x + 1 = y - 3$:
$x + 1 = 5 - 3 \Rightarrow x + 1 = 2 \Rightarrow x = 1$.
Первое решение: $(1, 5)$.
2) $y - 3 = -2 \Rightarrow y = 1$.
Найдем $x$ из уравнения $x + 1 = y - 3$:
$x + 1 = 1 - 3 \Rightarrow x + 1 = -2 \Rightarrow x = -3$.
Второе решение: $(-3, 1)$.
Оба значения $y$ (5 и 1) удовлетворяют ОДЗ.
Ответ: $(1, 5)$, $(-3, 1)$.

в)Исходная система уравнений:$$\begin{cases}(x-5)(y-3) = 0, \\\frac{3x+y}{x-y+8} = 1;\end{cases}$$ОДЗ: $x - y + 8 \neq 0$.
Первое уравнение $(x-5)(y-3) = 0$ истинно, если хотя бы один из множителей равен нулю. Рассмотрим два случая.
Случай 1: $x - 5 = 0 \Rightarrow x = 5$.
Подставим $x=5$ во второе уравнение:$\frac{3(5)+y}{5-y+8} = 1$
$\frac{15+y}{13-y} = 1$ (при этом $13-y \neq 0 \Rightarrow y \neq 13$)
$15 + y = 13 - y$
$2y = -2 \Rightarrow y = -1$.
Получили решение $(5, -1)$. Проверим его по ОДЗ: $x - y + 8 = 5 - (-1) + 8 = 14 \neq 0$. Решение подходит.
Случай 2: $y - 3 = 0 \Rightarrow y = 3$.
Подставим $y=3$ во второе уравнение:$\frac{3x+3}{x-3+8} = 1$
$\frac{3x+3}{x+5} = 1$ (при этом $x+5 \neq 0 \Rightarrow x \neq -5$)
$3x + 3 = x + 5$
$2x = 2 \Rightarrow x = 1$.
Получили решение $(1, 3)$. Проверим его по ОДЗ: $x - y + 8 = 1 - 3 + 8 = 6 \neq 0$. Решение подходит.
Ответ: $(5, -1)$, $(1, 3)$.

г)Исходная система уравнений:$$\begin{cases}(x+3)(y-4) = 0, \\\frac{2y-x+5}{x+y+7} = 3.\end{cases}$$ОДЗ: $x + y + 7 \neq 0$.
Первое уравнение $(x+3)(y-4) = 0$ истинно, если хотя бы один из множителей равен нулю. Рассмотрим два случая.
Случай 1: $x + 3 = 0 \Rightarrow x = -3$.
Подставим $x=-3$ во второе уравнение:$\frac{2y-(-3)+5}{-3+y+7} = 3$
$\frac{2y+8}{y+4} = 3$ (при этом $y+4 \neq 0 \Rightarrow y \neq -4$)
$2y + 8 = 3(y + 4)$
$2y + 8 = 3y + 12$
$y = -4$.
Полученное значение $y=-4$ противоречит условию $y \neq -4$. Значит, в этом случае решений нет.
Случай 2: $y - 4 = 0 \Rightarrow y = 4$.
Подставим $y=4$ во второе уравнение:$\frac{2(4)-x+5}{x+4+7} = 3$
$\frac{13-x}{x+11} = 3$ (при этом $x+11 \neq 0 \Rightarrow x \neq -11$)
$13 - x = 3(x + 11)$
$13 - x = 3x + 33$
$4x = -20 \Rightarrow x = -5$.
Получили решение $(-5, 4)$. Проверим его по ОДЗ: $x + y + 7 = -5 + 4 + 7 = 6 \neq 0$. Решение подходит.
Ответ: $(-5, 4)$.

Помогло решение? Оставьте отзыв в комментариях ниже.

Присоединяйтесь к Телеграм-группе @gdz_by_belarus

Присоединиться

Мы подготовили для вас ответ c подробным объяснением домашего задания по алгебре за 11 класс, для упражнения номер 4 расположенного на странице 115 к сборнику задач 2020 года издания для учащихся школ и гимназий.

Теперь на нашем сайте ГДЗ.ТОП вы всегда легко и бесплатно найдёте условие с правильным ответом на вопрос «Как решить ДЗ» и «Как сделать» задание по алгебре к упражнению №4 (с. 115), авторов: Арефьева (Ирина Глебовна), Пирютко (Ольга Николаевна), базовый и повышенный уровень обучения учебного пособия издательства Народная асвета.