Номер 34.31, страница 168 - гдз по алгебре 7-9 класс сборник задач Арефьева, Пирютко

Алгебра, 7-9 класс Сборник задач, авторы: Арефьева Ирина Глебовна, Пирютко Ольга Николаевна, издательство Народная асвета, Минск, 2020

Авторы: Арефьева И. Г., Пирютко О. Н.

Тип: Сборник задач

Издательство: Народная асвета

Год издания: 2020 - 2025

Цвет обложки: синий с графиками

Допущено Министерством образования Республики Беларусь

Популярные ГДЗ в 7 классе

9 класс. Параграф 34. Преобразования рациональных выражений - номер 34.31, страница 168.

№34.31 (с. 168)
Условие. №34.31 (с. 168)
скриншот условия
Алгебра, 7-9 класс Сборник задач, авторы: Арефьева Ирина Глебовна, Пирютко Ольга Николаевна, издательство Народная асвета, Минск, 2020, страница 168, номер 34.31, Условие Алгебра, 7-9 класс Сборник задач, авторы: Арефьева Ирина Глебовна, Пирютко Ольга Николаевна, издательство Народная асвета, Минск, 2020, страница 168, номер 34.31, Условие (продолжение 2)

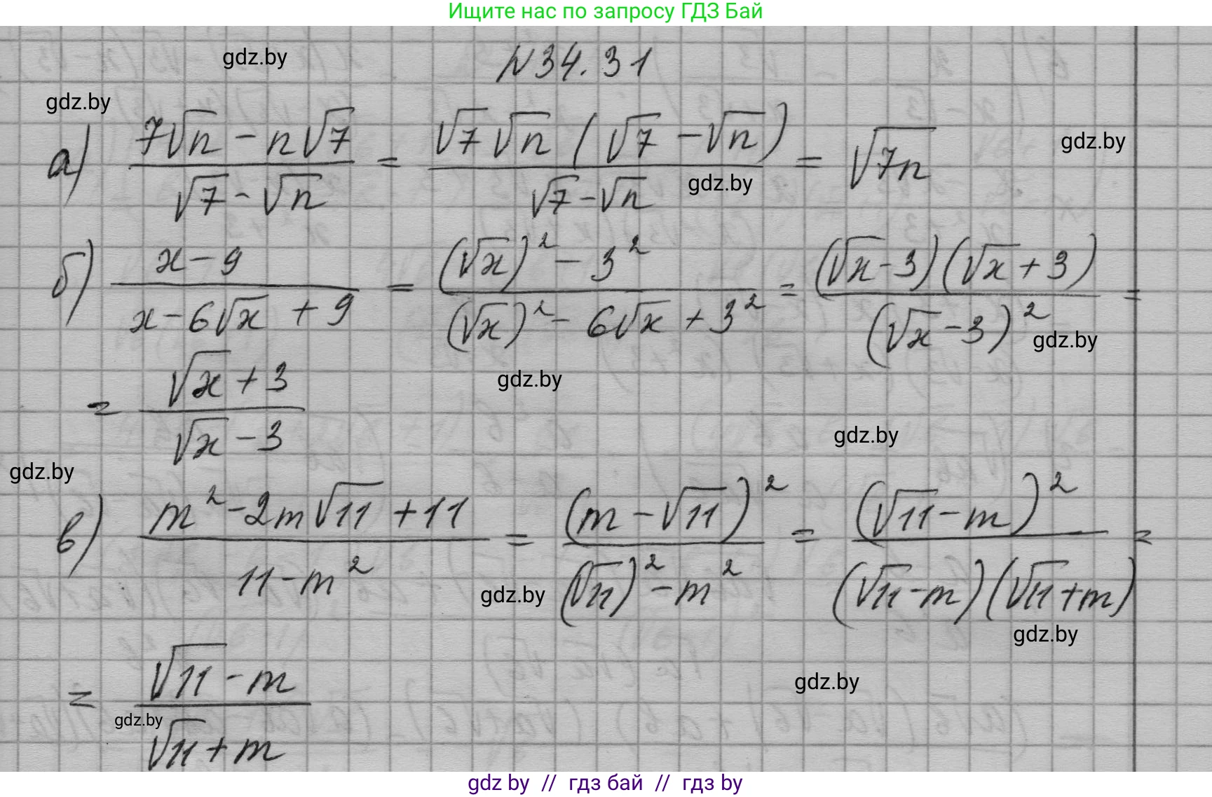
34.31. Разложите числитель и знаменатель на множители и сократите дробь:

а) $ \frac{7\sqrt{n}-n\sqrt{7}}{\sqrt{7}-\sqrt{n}} $;

б) $ \frac{x-9}{x-6\sqrt{x}+9} $;

в) $ \frac{m^2-2m\sqrt{11}+11}{11-m^2} $.

Решение. №34.31 (с. 168)
Алгебра, 7-9 класс Сборник задач, авторы: Арефьева Ирина Глебовна, Пирютко Ольга Николаевна, издательство Народная асвета, Минск, 2020, страница 168, номер 34.31, Решение
Решение 2. №34.31 (с. 168)

а) $\frac{7\sqrt{n} - n\sqrt{7}}{\sqrt{7} - \sqrt{n}}$

Чтобы разложить числитель на множители, представим $7$ как $(\sqrt{7})^2$ и $n$ как $(\sqrt{n})^2$. Затем вынесем общий множитель $\sqrt{7}\sqrt{n}$ за скобки.

$7\sqrt{n} - n\sqrt{7} = (\sqrt{7})^2\sqrt{n} - (\sqrt{n})^2\sqrt{7} = \sqrt{7}\sqrt{n}(\sqrt{7} - \sqrt{n})$

Теперь подставим полученное выражение в числитель дроби и выполним сокращение:

$\frac{\sqrt{7}\sqrt{n}(\sqrt{7} - \sqrt{n})}{\sqrt{7} - \sqrt{n}} = \sqrt{7}\sqrt{n} = \sqrt{7n}$

Сокращение возможно при условии, что $\sqrt{7} - \sqrt{n} \neq 0$, то есть $n \neq 7$ и $n \ge 0$.

Ответ: $\sqrt{7n}$

б) $\frac{x - 9}{x - 6\sqrt{x} + 9}$

Разложим числитель, используя формулу разности квадратов $a^2 - b^2 = (a-b)(a+b)$. Примем $a = \sqrt{x}$ и $b = 3$. Это возможно при $x \ge 0$.

$x - 9 = (\sqrt{x})^2 - 3^2 = (\sqrt{x} - 3)(\sqrt{x} + 3)$

Знаменатель представляет собой полный квадрат разности. Разложим его по формуле $(a-b)^2 = a^2 - 2ab + b^2$, где $a = \sqrt{x}$ и $b = 3$.

$x - 6\sqrt{x} + 9 = (\sqrt{x})^2 - 2 \cdot \sqrt{x} \cdot 3 + 3^2 = (\sqrt{x} - 3)^2$

Подставим разложенные числитель и знаменатель в дробь и сократим:

$\frac{(\sqrt{x} - 3)(\sqrt{x} + 3)}{(\sqrt{x} - 3)^2} = \frac{\sqrt{x} + 3}{\sqrt{x} - 3}$

Сокращение возможно при условии, что $\sqrt{x} - 3 \neq 0$, то есть $x \neq 9$.

Ответ: $\frac{\sqrt{x} + 3}{\sqrt{x} - 3}$

в) $\frac{m^2 - 2m\sqrt{11} + 11}{11 - m^2}$

Числитель является полным квадратом разности. Разложим его по формуле $(a-b)^2 = a^2 - 2ab + b^2$, где $a = m$ и $b = \sqrt{11}$.

$m^2 - 2m\sqrt{11} + 11 = m^2 - 2 \cdot m \cdot \sqrt{11} + (\sqrt{11})^2 = (m - \sqrt{11})^2$

Знаменатель разложим по формуле разности квадратов $a^2 - b^2 = (a-b)(a+b)$, где $a = \sqrt{11}$ и $b = m$.

$11 - m^2 = (\sqrt{11})^2 - m^2 = (\sqrt{11} - m)(\sqrt{11} + m)$

Подставим полученные выражения в дробь. Для удобства сокращения заметим, что $(m - \sqrt{11})^2 = (-( \sqrt{11} - m))^2 = (\sqrt{11} - m)^2$.

$\frac{(m - \sqrt{11})^2}{(\sqrt{11} - m)(\sqrt{11} + m)} = \frac{(\sqrt{11} - m)^2}{(\sqrt{11} - m)(\sqrt{11} + m)}$

Теперь сократим дробь на общий множитель $(\sqrt{11} - m)$:

$\frac{\sqrt{11} - m}{\sqrt{11} + m}$

Сокращение возможно при условии, что $\sqrt{11} - m \neq 0$, то есть $m \neq \sqrt{11}$.

Ответ: $\frac{\sqrt{11} - m}{\sqrt{11} + m}$

Помогло решение? Оставьте отзыв в комментариях ниже.

Присоединяйтесь к Телеграм-группе @gdz_by_belarus

Присоединиться

Мы подготовили для вас ответ c подробным объяснением домашего задания по алгебре за 7-9 класс, для упражнения номер 34.31 расположенного на странице 168 к сборнику задач 2020 года издания для учащихся школ и гимназий.

Теперь на нашем сайте ГДЗ.ТОП вы всегда легко и бесплатно найдёте условие с правильным ответом на вопрос «Как решить ДЗ» и «Как сделать» задание по алгебре к упражнению №34.31 (с. 168), авторов: Арефьева (Ирина Глебовна), Пирютко (Ольга Николаевна), учебного пособия издательства Народная асвета.