Номер 34.36, страница 169 - гдз по алгебре 7-9 класс сборник задач Арефьева, Пирютко

Алгебра, 7-9 класс Сборник задач, авторы: Арефьева Ирина Глебовна, Пирютко Ольга Николаевна, издательство Народная асвета, Минск, 2020

Авторы: Арефьева И. Г., Пирютко О. Н.

Тип: Сборник задач

Издательство: Народная асвета

Год издания: 2020 - 2025

Цвет обложки: синий с графиками

Допущено Министерством образования Республики Беларусь

Популярные ГДЗ в 7 классе

9 класс. Параграф 34. Преобразования рациональных выражений - номер 34.36, страница 169.

№34.36 (с. 169)
Условие. №34.36 (с. 169)
скриншот условия
Алгебра, 7-9 класс Сборник задач, авторы: Арефьева Ирина Глебовна, Пирютко Ольга Николаевна, издательство Народная асвета, Минск, 2020, страница 169, номер 34.36, Условие

34.36*. Упростите выражение:

а) $(\frac{1}{\sqrt{a} + \sqrt{a+1}} + \frac{1}{\sqrt{a} - \sqrt{a-1}}) : (1 + \sqrt{\frac{a+1}{a-1}});$

б) $\frac{\sqrt{a} + \sqrt{b} - 1}{a + \sqrt{ab}} + \frac{\sqrt{a} - \sqrt{b}}{2\sqrt{ab}} \cdot \left(\frac{\sqrt{b}}{a - \sqrt{ab}} + \frac{\sqrt{b}}{a + \sqrt{ab}}\right);$

в) $\left(\sqrt{a} + \frac{b - \sqrt{ab}}{\sqrt{a} + \sqrt{b}}\right) : \left(\frac{a}{\sqrt{ab} + b} + \frac{b}{\sqrt{ab} - a} - \frac{a+b}{\sqrt{ab}}\right).$

Решение. №34.36 (с. 169)
Алгебра, 7-9 класс Сборник задач, авторы: Арефьева Ирина Глебовна, Пирютко Ольга Николаевна, издательство Народная асвета, Минск, 2020, страница 169, номер 34.36, Решение Алгебра, 7-9 класс Сборник задач, авторы: Арефьева Ирина Глебовна, Пирютко Ольга Николаевна, издательство Народная асвета, Минск, 2020, страница 169, номер 34.36, Решение (продолжение 2) Алгебра, 7-9 класс Сборник задач, авторы: Арефьева Ирина Глебовна, Пирютко Ольга Николаевна, издательство Народная асвета, Минск, 2020, страница 169, номер 34.36, Решение (продолжение 3)
Решение 2. №34.36 (с. 169)

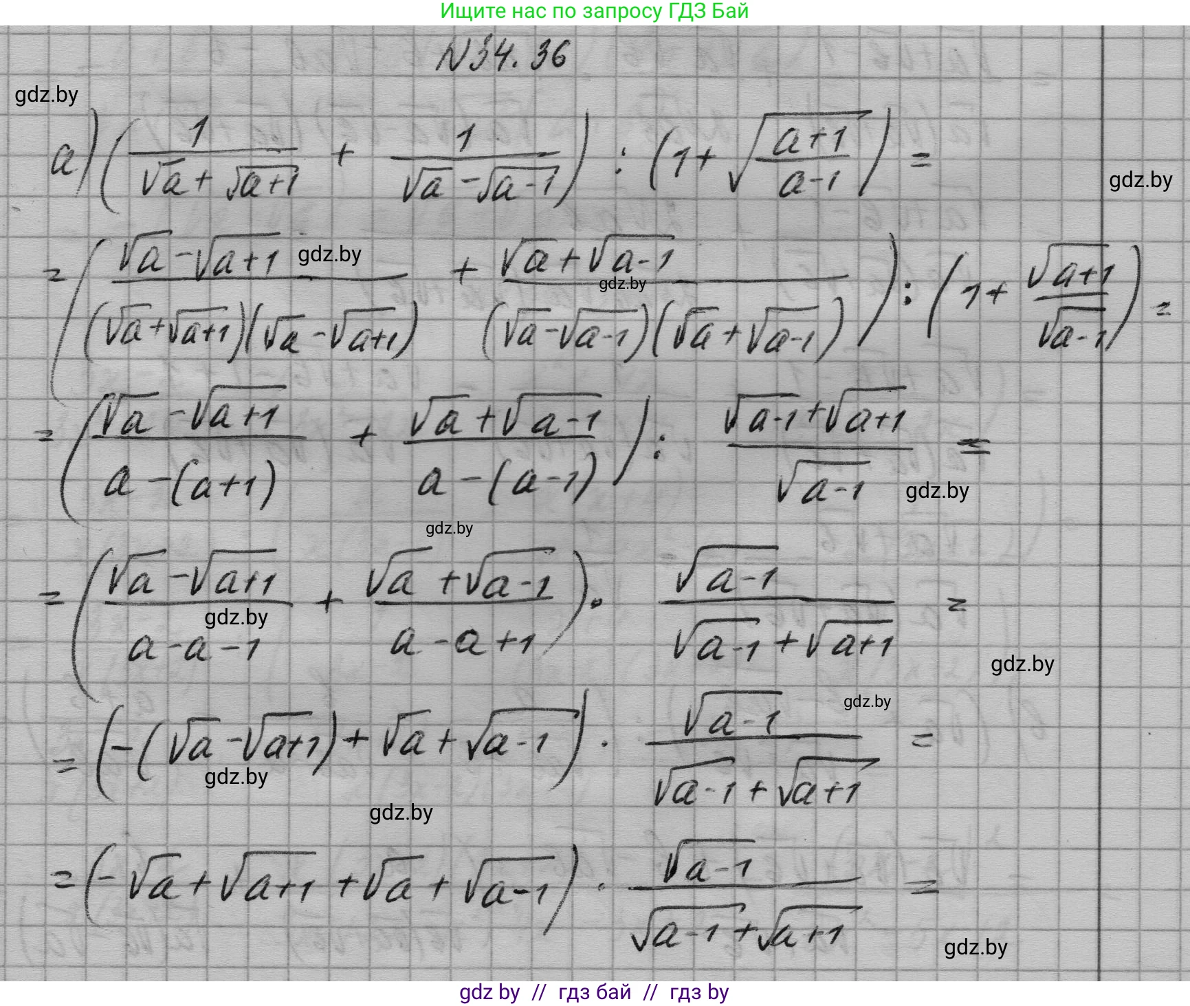
а) $ \left( \frac{1}{\sqrt{a}+\sqrt{a+1}} + \frac{1}{\sqrt{a}-\sqrt{a-1}} \right) : \left( 1 + \sqrt{\frac{a+1}{a-1}} \right) $

Область допустимых значений (ОДЗ): $ a-1 \ge 0 \Rightarrow a \ge 1 $. Также знаменатель $ \sqrt{a-1} \neq 0 $, поэтому $ a > 1 $.

1. Упростим первое выражение в скобках. Для этого избавимся от иррациональности в знаменателях дробей:

$ \frac{1}{\sqrt{a}+\sqrt{a+1}} = \frac{1}{\sqrt{a+1}+\sqrt{a}} = \frac{1 \cdot (\sqrt{a+1}-\sqrt{a})}{(\sqrt{a+1}+\sqrt{a})(\sqrt{a+1}-\sqrt{a})} = \frac{\sqrt{a+1}-\sqrt{a}}{(\sqrt{a+1})^2 - (\sqrt{a})^2} = \frac{\sqrt{a+1}-\sqrt{a}}{a+1-a} = \sqrt{a+1}-\sqrt{a} $

$ \frac{1}{\sqrt{a}-\sqrt{a-1}} = \frac{1 \cdot (\sqrt{a}+\sqrt{a-1})}{(\sqrt{a}-\sqrt{a-1})(\sqrt{a}+\sqrt{a-1})} = \frac{\sqrt{a}+\sqrt{a-1}}{(\sqrt{a})^2 - (\sqrt{a-1})^2} = \frac{\sqrt{a}+\sqrt{a-1}}{a-(a-1)} = \sqrt{a}+\sqrt{a-1} $

Сложим полученные выражения:

$ (\sqrt{a+1}-\sqrt{a}) + (\sqrt{a}+\sqrt{a-1}) = \sqrt{a+1}-\sqrt{a}+\sqrt{a}+\sqrt{a-1} = \sqrt{a+1}+\sqrt{a-1} $

2. Упростим второе выражение в скобках:

$ 1 + \sqrt{\frac{a+1}{a-1}} = 1 + \frac{\sqrt{a+1}}{\sqrt{a-1}} = \frac{\sqrt{a-1}}{\sqrt{a-1}} + \frac{\sqrt{a+1}}{\sqrt{a-1}} = \frac{\sqrt{a-1}+\sqrt{a+1}}{\sqrt{a-1}} $

3. Выполним деление:

$ (\sqrt{a+1}+\sqrt{a-1}) : \frac{\sqrt{a+1}+\sqrt{a-1}}{\sqrt{a-1}} = (\sqrt{a+1}+\sqrt{a-1}) \cdot \frac{\sqrt{a-1}}{\sqrt{a+1}+\sqrt{a-1}} = \sqrt{a-1} $

Ответ: $ \sqrt{a-1} $.

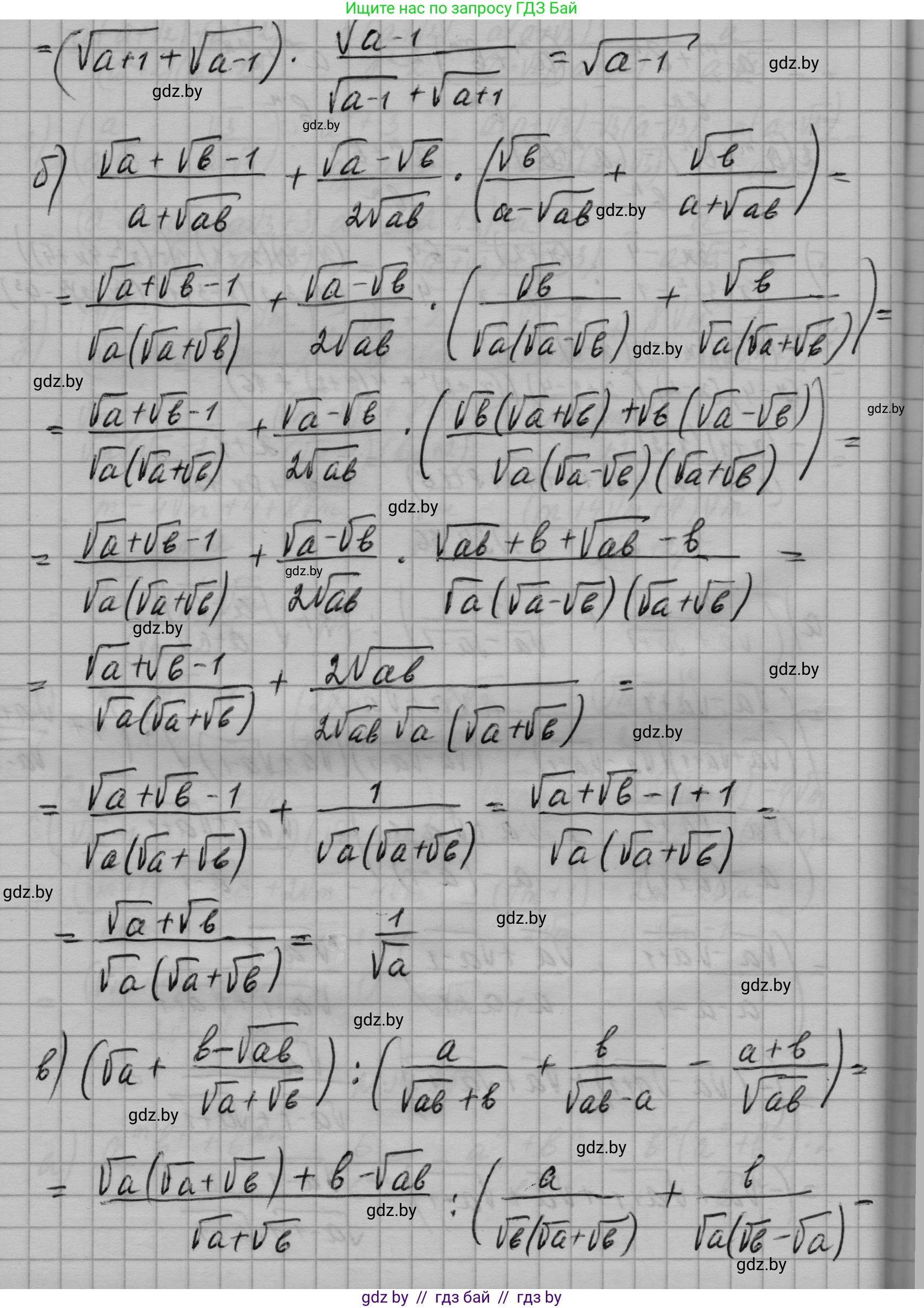
б) $ \frac{\sqrt{a}+\sqrt{b}-1}{a+\sqrt{ab}} + \frac{\sqrt{a}-\sqrt{b}}{2\sqrt{ab}} \cdot \left( \frac{\sqrt{b}}{a-\sqrt{ab}} + \frac{\sqrt{b}}{a+\sqrt{ab}} \right) $

ОДЗ: $ a > 0, b > 0, a \neq b $.

1. Сначала выполним действие в скобках. Приведем дроби к общему знаменателю:

$ \frac{\sqrt{b}}{a-\sqrt{ab}} + \frac{\sqrt{b}}{a+\sqrt{ab}} = \frac{\sqrt{b}}{\sqrt{a}(\sqrt{a}-\sqrt{b})} + \frac{\sqrt{b}}{\sqrt{a}(\sqrt{a}+\sqrt{b})} = \frac{\sqrt{b}(\sqrt{a}+\sqrt{b}) + \sqrt{b}(\sqrt{a}-\sqrt{b})}{\sqrt{a}(\sqrt{a}-\sqrt{b})(\sqrt{a}+\sqrt{b})} $

$ = \frac{\sqrt{ab}+b+\sqrt{ab}-b}{\sqrt{a}(a-b)} = \frac{2\sqrt{ab}}{\sqrt{a}(a-b)} = \frac{2\sqrt{b}}{a-b} $

2. Теперь выполним умножение:

$ \frac{\sqrt{a}-\sqrt{b}}{2\sqrt{ab}} \cdot \frac{2\sqrt{b}}{a-b} = \frac{\sqrt{a}-\sqrt{b}}{2\sqrt{a}\sqrt{b}} \cdot \frac{2\sqrt{b}}{(\sqrt{a}-\sqrt{b})(\sqrt{a}+\sqrt{b})} = \frac{1}{\sqrt{a}(\sqrt{a}+\sqrt{b})} = \frac{1}{a+\sqrt{ab}} $

3. Выполним сложение с первым слагаемым:

$ \frac{\sqrt{a}+\sqrt{b}-1}{a+\sqrt{ab}} + \frac{1}{a+\sqrt{ab}} = \frac{\sqrt{a}+\sqrt{b}-1+1}{a+\sqrt{ab}} = \frac{\sqrt{a}+\sqrt{b}}{a+\sqrt{ab}} $

4. Упростим полученное выражение:

$ \frac{\sqrt{a}+\sqrt{b}}{a+\sqrt{ab}} = \frac{\sqrt{a}+\sqrt{b}}{\sqrt{a}(\sqrt{a}+\sqrt{b})} = \frac{1}{\sqrt{a}} $

Ответ: $ \frac{1}{\sqrt{a}} $.

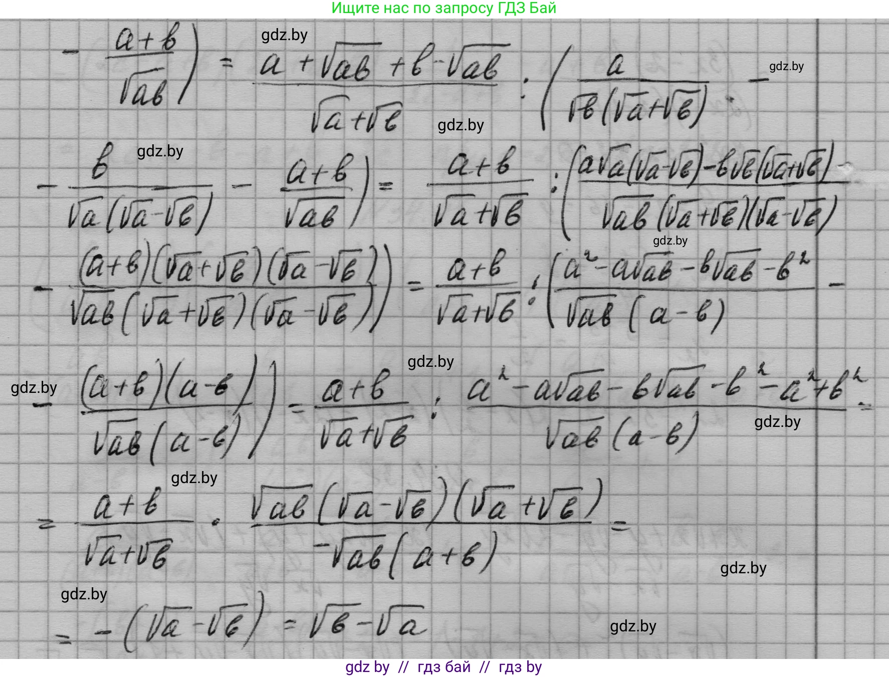
в) $ \left( \sqrt{a} + \frac{b-\sqrt{ab}}{\sqrt{a}+\sqrt{b}} \right) : \left( \frac{a}{\sqrt{ab}+b} + \frac{b}{\sqrt{ab}-a} - \frac{a+b}{\sqrt{ab}} \right) $

ОДЗ: $ a > 0, b > 0, a \neq b $.

1. Упростим первое выражение в скобках:

$ \sqrt{a} + \frac{b-\sqrt{ab}}{\sqrt{a}+\sqrt{b}} = \frac{\sqrt{a}(\sqrt{a}+\sqrt{b}) + b-\sqrt{ab}}{\sqrt{a}+\sqrt{b}} = \frac{a+\sqrt{ab}+b-\sqrt{ab}}{\sqrt{a}+\sqrt{b}} = \frac{a+b}{\sqrt{a}+\sqrt{b}} $

2. Упростим второе выражение в скобках. Сначала преобразуем знаменатели и приведем к общему знаменателю $ \sqrt{ab}(a-b) $:

$ \frac{a}{\sqrt{ab}+b} + \frac{b}{\sqrt{ab}-a} - \frac{a+b}{\sqrt{ab}} = \frac{a}{\sqrt{b}(\sqrt{a}+\sqrt{b})} - \frac{b}{\sqrt{a}(\sqrt{a}-\sqrt{b})} - \frac{a+b}{\sqrt{ab}} $

$ = \frac{a \cdot \sqrt{a}(\sqrt{a}-\sqrt{b}) - b \cdot \sqrt{b}(\sqrt{a}+\sqrt{b}) - (a+b)(a-b)}{\sqrt{ab}(a-b)} $

$ = \frac{a(a-\sqrt{ab}) - b(\sqrt{ab}+b) - (a^2-b^2)}{\sqrt{ab}(a-b)} $

$ = \frac{a^2-a\sqrt{ab} - b\sqrt{ab}-b^2 - a^2+b^2}{\sqrt{ab}(a-b)} = \frac{-a\sqrt{ab}-b\sqrt{ab}}{\sqrt{ab}(a-b)} $

$ = \frac{-\sqrt{ab}(a+b)}{\sqrt{ab}(a-b)} = -\frac{a+b}{a-b} = \frac{a+b}{b-a} $

3. Выполним деление:

$ \frac{a+b}{\sqrt{a}+\sqrt{b}} : \frac{a+b}{b-a} = \frac{a+b}{\sqrt{a}+\sqrt{b}} \cdot \frac{b-a}{a+b} = \frac{b-a}{\sqrt{a}+\sqrt{b}} $

4. Упростим результат, разложив числитель по формуле разности квадратов:

$ \frac{b-a}{\sqrt{a}+\sqrt{b}} = \frac{(\sqrt{b}-\sqrt{a})(\sqrt{b}+\sqrt{a})}{\sqrt{b}+\sqrt{a}} = \sqrt{b}-\sqrt{a} $

Ответ: $ \sqrt{b}-\sqrt{a} $.

Помогло решение? Оставьте отзыв в комментариях ниже.

Присоединяйтесь к Телеграм-группе @gdz_by_belarus

Присоединиться

Мы подготовили для вас ответ c подробным объяснением домашего задания по алгебре за 7-9 класс, для упражнения номер 34.36 расположенного на странице 169 к сборнику задач 2020 года издания для учащихся школ и гимназий.

Теперь на нашем сайте ГДЗ.ТОП вы всегда легко и бесплатно найдёте условие с правильным ответом на вопрос «Как решить ДЗ» и «Как сделать» задание по алгебре к упражнению №34.36 (с. 169), авторов: Арефьева (Ирина Глебовна), Пирютко (Ольга Николаевна), учебного пособия издательства Народная асвета.