Номер 34.35, страница 169 - гдз по алгебре 7-9 класс сборник задач Арефьева, Пирютко
Авторы: Арефьева И. Г., Пирютко О. Н.
Тип: Сборник задач
Издательство: Народная асвета
Год издания: 2020 - 2025
Цвет обложки: синий с графиками
Допущено Министерством образования Республики Беларусь
Популярные ГДЗ в 7 классе
9 класс. Параграф 34. Преобразования рациональных выражений - номер 34.35, страница 169.
№34.35 (с. 169)
Условие. №34.35 (с. 169)
скриншот условия
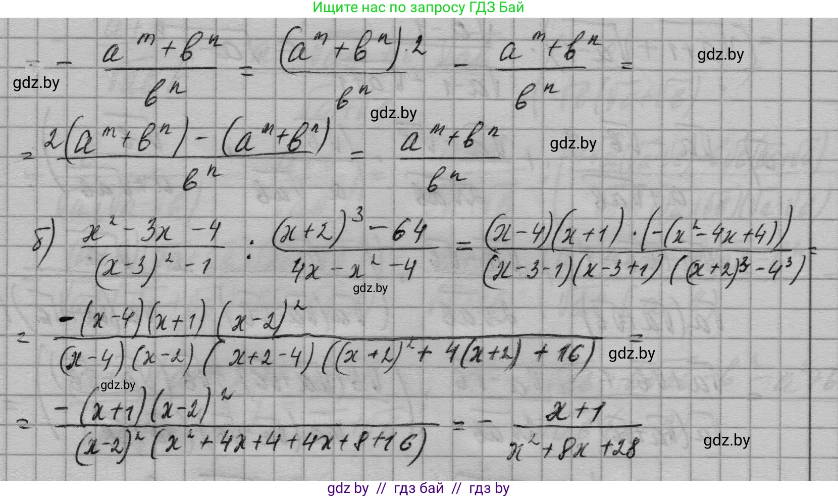
34.35*. Представьте выражение в виде дроби:
а) $\frac{a^m b^n + b^{2n}}{3} \cdot \frac{6}{b^{2n}} - \frac{a^m + b^n}{b^n};$
б) $\frac{x^2 - 3x - 4}{(x - 3)^2 - 1} : \frac{(x + 2)^3 - 64}{4x - x^2 - 4}.$
Решение. №34.35 (с. 169)
Решение 2. №34.35 (с. 169)
а)
Чтобы представить выражение в виде дроби, выполним действия по порядку.
1. Первым действием выполним умножение дробей: $ \frac{a^m b^n + b^{2n}}{3} \cdot \frac{6}{b^{2n}} $
Вынесем общий множитель $b^n$ в числителе первой дроби: $ a^m b^n + b^{2n} = b^n(a^m + b^n) $.
Подставим это в произведение и выполним сокращение: $ \frac{b^n(a^m + b^n)}{3} \cdot \frac{6}{b^{2n}} = \frac{6 \cdot b^n(a^m + b^n)}{3 \cdot b^{2n}} = \frac{2(a^m + b^n)}{b^n} $.
2. Вторым действием выполним вычитание: $ \frac{2(a^m + b^n)}{b^n} - \frac{a^m + b^n}{b^n} $
Поскольку у дробей общий знаменатель $b^n$, вычтем их числители: $ \frac{2(a^m + b^n) - (a^m + b^n)}{b^n} = \frac{a^m + b^n}{b^n} $.
Ответ: $ \frac{a^m + b^n}{b^n} $
б)
Чтобы представить выражение в виде дроби, сначала заменим деление на умножение, перевернув вторую дробь, а затем упростим полученное выражение.
1. Замена деления на умножение: $ \frac{x^2 - 3x - 4}{(x-3)^2 - 1} : \frac{(x+2)^3 - 64}{4x - x^2 - 4} = \frac{x^2 - 3x - 4}{(x-3)^2 - 1} \cdot \frac{4x - x^2 - 4}{(x+2)^3 - 64} $.
2. Разложим на множители числители и знаменатели дробей.
- $x^2 - 3x - 4$: корни квадратного трехчлена $x_1=4$ и $x_2=-1$, поэтому $x^2 - 3x - 4 = (x-4)(x+1)$.
- $(x-3)^2 - 1$: по формуле разности квадратов $a^2 - b^2 = (a-b)(a+b)$, получаем $((x-3)-1)((x-3)+1) = (x-4)(x-2)$.
- $4x - x^2 - 4$: выносим минус за скобку и применяем формулу квадрата разности $-(x^2 - 4x + 4) = -(x-2)^2$.
- $(x+2)^3 - 64$: по формуле разности кубов $a^3 - b^3 = (a-b)(a^2+ab+b^2)$, получаем $(x+2)^3 - 4^3 = ((x+2)-4)((x+2)^2 + 4(x+2) + 4^2) = (x-2)(x^2+4x+4+4x+8+16) = (x-2)(x^2+8x+28)$.
3. Подставим разложенные выражения обратно: $ \frac{(x-4)(x+1)}{(x-4)(x-2)} \cdot \frac{-(x-2)^2}{(x-2)(x^2 + 8x + 28)} $.
4. Соберем все множители в одну дробь и проведем сокращение: $ \frac{(x-4)(x+1) \cdot (-(x-2)^2)}{(x-4)(x-2) \cdot (x-2)(x^2 + 8x + 28)} = \frac{-(x-4)(x+1)(x-2)^2}{(x-4)(x-2)^2(x^2 + 8x + 28)} $.
Сокращаем общие множители $(x-4)$ и $(x-2)^2$ (при условии, что $x \neq 4$ и $x \neq 2$), в результате чего получаем: $ -\frac{x+1}{x^2 + 8x + 28} $.
Ответ: $ -\frac{x+1}{x^2+8x+28} $
Другие задания:
Помогло решение? Оставьте отзыв в комментариях ниже.
Присоединяйтесь к Телеграм-группе @gdz_by_belarus
ПрисоединитьсяМы подготовили для вас ответ c подробным объяснением домашего задания по алгебре за 7-9 класс, для упражнения номер 34.35 расположенного на странице 169 к сборнику задач 2020 года издания для учащихся школ и гимназий.
Теперь на нашем сайте ГДЗ.ТОП вы всегда легко и бесплатно найдёте условие с правильным ответом на вопрос «Как решить ДЗ» и «Как сделать» задание по алгебре к упражнению №34.35 (с. 169), авторов: Арефьева (Ирина Глебовна), Пирютко (Ольга Николаевна), учебного пособия издательства Народная асвета.