Номер 34.32, страница 169 - гдз по алгебре 7-9 класс сборник задач Арефьева, Пирютко
Авторы: Арефьева И. Г., Пирютко О. Н.
Тип: Сборник задач
Издательство: Народная асвета
Год издания: 2020 - 2025
Цвет обложки: синий с графиками
Допущено Министерством образования Республики Беларусь
Популярные ГДЗ в 7 классе
9 класс. Параграф 34. Преобразования рациональных выражений - номер 34.32, страница 169.
№34.32 (с. 169)
Условие. №34.32 (с. 169)
скриншот условия
34.32. Упростите выражение, выполнив указанные действия:
a) $\frac{p - k}{\sqrt{p} + \sqrt{k}} - \frac{\sqrt{pk} + k}{\sqrt{p} + \sqrt{k}};
б) $\frac{x - 3\sqrt{x}}{x - 9} - \frac{2\sqrt{x} + 3}{\sqrt{x} + 3};
В) $\left(\frac{x}{x - \sqrt{3}} - \frac{\sqrt{3}}{x + \sqrt{3}}\right) : \frac{x^2 + 3}{x^2 - x\sqrt{3}};
Г) $\left(\sqrt{ab} + \frac{ab}{a - \sqrt{ab}}\right) : \frac{a^2b}{a - b}.
Решение. №34.32 (с. 169)
Решение 2. №34.32 (с. 169)
а)
Предположим, что в условии допущена опечатка, и выражение имеет вид $ \frac{p-k}{\sqrt{p}+\sqrt{k}} - \frac{\sqrt{pk}+k}{\sqrt{p}+\sqrt{k}} $. В таком виде оно поддается упрощению.
1. Упростим первую дробь, используя формулу разности квадратов $ a^2 - b^2 = (a-b)(a+b) $. В нашем случае $ p-k = (\sqrt{p})^2 - (\sqrt{k})^2 = (\sqrt{p}-\sqrt{k})(\sqrt{p}+\sqrt{k}) $.
$ \frac{p-k}{\sqrt{p}+\sqrt{k}} = \frac{(\sqrt{p}-\sqrt{k})(\sqrt{p}+\sqrt{k})}{\sqrt{p}+\sqrt{k}} = \sqrt{p}-\sqrt{k} $
2. Упростим вторую дробь. Вынесем в числителе общий множитель $ \sqrt{k} $ за скобки.
$ \frac{\sqrt{pk}+k}{\sqrt{p}+\sqrt{k}} = \frac{\sqrt{p}\sqrt{k}+(\sqrt{k})^2}{\sqrt{p}+\sqrt{k}} = \frac{\sqrt{k}(\sqrt{p}+\sqrt{k})}{\sqrt{p}+\sqrt{k}} = \sqrt{k} $
3. Теперь выполним вычитание упрощенных выражений.
$ (\sqrt{p}-\sqrt{k}) - \sqrt{k} = \sqrt{p} - \sqrt{k} - \sqrt{k} = \sqrt{p} - 2\sqrt{k} $
Ответ: $ \sqrt{p}-2\sqrt{k} $
б)
1. Упростим первую дробь $ \frac{x-3\sqrt{x}}{x-9} $. Для этого разложим на множители числитель и знаменатель.
Числитель: $ x-3\sqrt{x} = (\sqrt{x})^2 - 3\sqrt{x} = \sqrt{x}(\sqrt{x}-3) $.
Знаменатель (по формуле разности квадратов): $ x-9 = (\sqrt{x})^2 - 3^2 = (\sqrt{x}-3)(\sqrt{x}+3) $.
Подставим и сократим: $ \frac{\sqrt{x}(\sqrt{x}-3)}{(\sqrt{x}-3)(\sqrt{x}+3)} = \frac{\sqrt{x}}{\sqrt{x}+3} $.
2. Подставим упрощенную дробь в исходное выражение:
$ \frac{\sqrt{x}}{\sqrt{x}+3} - \frac{2\sqrt{x}+3}{\sqrt{x}+3} $
3. Так как знаменатели дробей одинаковы, вычтем числители:
$ \frac{\sqrt{x} - (2\sqrt{x}+3)}{\sqrt{x}+3} = \frac{\sqrt{x} - 2\sqrt{x} - 3}{\sqrt{x}+3} = \frac{-\sqrt{x} - 3}{\sqrt{x}+3} $
4. Вынесем в числителе $ -1 $ за скобку и сократим дробь:
$ \frac{-(\sqrt{x}+3)}{\sqrt{x}+3} = -1 $
Ответ: $ -1 $
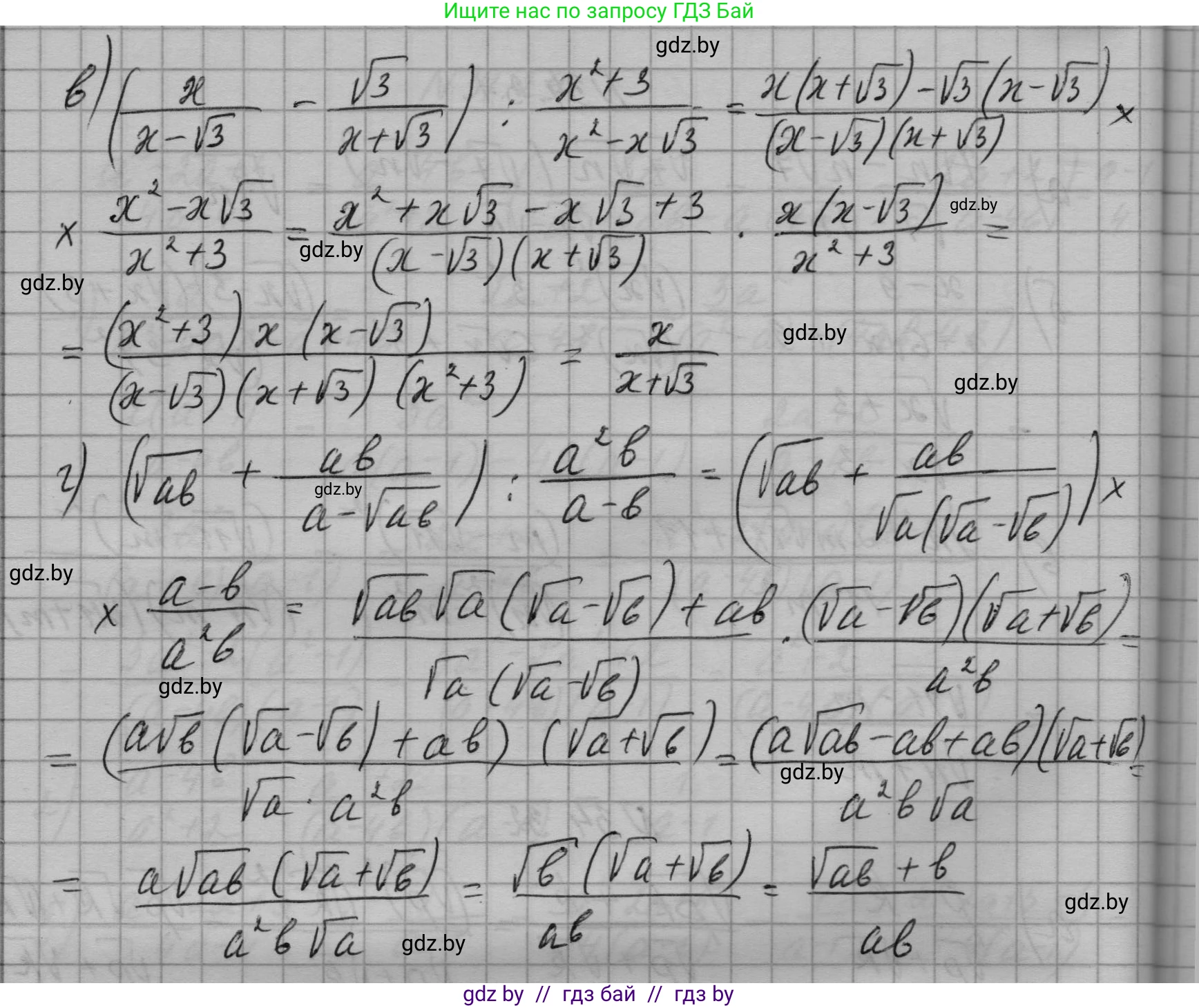
в)
1. Выполним действие в скобках. Приведем дроби к общему знаменателю $ (x-\sqrt{3})(x+\sqrt{3}) = x^2-3 $.
$ \frac{x}{x-\sqrt{3}} - \frac{\sqrt{3}}{x+\sqrt{3}} = \frac{x(x+\sqrt{3}) - \sqrt{3}(x-\sqrt{3})}{(x-\sqrt{3})(x+\sqrt{3})} = \frac{x^2+x\sqrt{3} - x\sqrt{3}+(\sqrt{3})^2}{x^2-3} = \frac{x^2+3}{x^2-3} $
2. Теперь выполним деление. Деление на дробь равносильно умножению на обратную ей дробь.
$ \frac{x^2+3}{x^2-3} : \frac{x^2+3}{x^2-x\sqrt{3}} = \frac{x^2+3}{x^2-3} \cdot \frac{x^2-x\sqrt{3}}{x^2+3} $
3. Сократим одинаковые множители $ (x^2+3) $.
$ \frac{1}{x^2-3} \cdot (x^2-x\sqrt{3}) = \frac{x^2-x\sqrt{3}}{x^2-3} $
4. Разложим числитель и знаменатель на множители и сократим.
$ \frac{x(x-\sqrt{3})}{(x-\sqrt{3})(x+\sqrt{3})} = \frac{x}{x+\sqrt{3}} $
Ответ: $ \frac{x}{x+\sqrt{3}} $
г)
1. Упростим выражение в скобках. Приведем к общему знаменателю $ a-\sqrt{ab} $.
$ \sqrt{ab} + \frac{ab}{a-\sqrt{ab}} = \frac{\sqrt{ab}(a-\sqrt{ab}) + ab}{a-\sqrt{ab}} = \frac{a\sqrt{ab} - (\sqrt{ab})^2 + ab}{a-\sqrt{ab}} = \frac{a\sqrt{ab} - ab + ab}{a-\sqrt{ab}} = \frac{a\sqrt{ab}}{a-\sqrt{ab}} $
Разложим знаменатель на множители: $ a-\sqrt{ab} = \sqrt{a}(\sqrt{a}-\sqrt{b}) $.
Получим: $ \frac{a\sqrt{ab}}{\sqrt{a}(\sqrt{a}-\sqrt{b})} = \frac{\sqrt{a}\sqrt{a}\sqrt{a}\sqrt{b}}{\sqrt{a}(\sqrt{a}-\sqrt{b})} = \frac{a\sqrt{b}}{\sqrt{a}-\sqrt{b}} $.
2. Теперь выполним деление.
$ \frac{a\sqrt{b}}{\sqrt{a}-\sqrt{b}} : \frac{a^2b}{a-b} = \frac{a\sqrt{b}}{\sqrt{a}-\sqrt{b}} \cdot \frac{a-b}{a^2b} $
3. Разложим $ a-b $ как разность квадратов: $ a-b = (\sqrt{a}-\sqrt{b})(\sqrt{a}+\sqrt{b}) $.
$ \frac{a\sqrt{b}}{\sqrt{a}-\sqrt{b}} \cdot \frac{(\sqrt{a}-\sqrt{b})(\sqrt{a}+\sqrt{b})}{a^2b} $
4. Сократим общие множители $ (\sqrt{a}-\sqrt{b}) $.
$ \frac{a\sqrt{b}(\sqrt{a}+\sqrt{b})}{a^2b} $
5. Сократим $ a $ в числителе и $ a^2 $ в знаменателе, а также раскроем скобки в числителе.
$ \frac{\sqrt{b}(\sqrt{a}+\sqrt{b})}{ab} = \frac{\sqrt{ab}+(\sqrt{b})^2}{ab} = \frac{\sqrt{ab}+b}{ab} $
Ответ: $ \frac{\sqrt{ab}+b}{ab} $
Другие задания:
Помогло решение? Оставьте отзыв в комментариях ниже.
Присоединяйтесь к Телеграм-группе @gdz_by_belarus
ПрисоединитьсяМы подготовили для вас ответ c подробным объяснением домашего задания по алгебре за 7-9 класс, для упражнения номер 34.32 расположенного на странице 169 к сборнику задач 2020 года издания для учащихся школ и гимназий.
Теперь на нашем сайте ГДЗ.ТОП вы всегда легко и бесплатно найдёте условие с правильным ответом на вопрос «Как решить ДЗ» и «Как сделать» задание по алгебре к упражнению №34.32 (с. 169), авторов: Арефьева (Ирина Глебовна), Пирютко (Ольга Николаевна), учебного пособия издательства Народная асвета.