Номер 34.27, страница 168 - гдз по алгебре 7-9 класс сборник задач Арефьева, Пирютко

Алгебра, 7-9 класс Сборник задач, авторы: Арефьева Ирина Глебовна, Пирютко Ольга Николаевна, издательство Народная асвета, Минск, 2020

Авторы: Арефьева И. Г., Пирютко О. Н.

Тип: Сборник задач

Издательство: Народная асвета

Год издания: 2020 - 2025

Цвет обложки: синий с графиками

Допущено Министерством образования Республики Беларусь

Популярные ГДЗ в 7 классе

9 класс. Параграф 34. Преобразования рациональных выражений - номер 34.27, страница 168.

№34.27 (с. 168)
Условие. №34.27 (с. 168)
скриншот условия
Алгебра, 7-9 класс Сборник задач, авторы: Арефьева Ирина Глебовна, Пирютко Ольга Николаевна, издательство Народная асвета, Минск, 2020, страница 168, номер 34.27, Условие

34.27. Упростите выражение, выбрав рациональный способ преобразований:

а) $ \frac{(2x - 3)^2}{x^2 - 9} \cdot \frac{3x - 9}{x^2} : \frac{8x - 12}{x^2 + 3x} \cdot \frac{2x}{2x^2 - 5x + 3}; $

б) $ (\frac{a + 3}{a^2 + 2a + 1} + \frac{a - 1}{a^2 - 2a - 3}) \cdot \frac{a^2 - 2a - 3}{a + 2} - 1; $

в) $ (\frac{2}{a^2 - 6a} + \frac{1}{2a + 8} + \frac{5}{a^2 - 2a - 24}) : \frac{4a + a^2}{2a - 12}; $

г) $ (\frac{4n + 1}{2n^2 + n - 10} - \frac{4}{n^2 - 4}) \cdot \frac{4n^2 + 10n}{4n + 9} + \frac{4}{n + 2}. $

Решение. №34.27 (с. 168)
Алгебра, 7-9 класс Сборник задач, авторы: Арефьева Ирина Глебовна, Пирютко Ольга Николаевна, издательство Народная асвета, Минск, 2020, страница 168, номер 34.27, Решение Алгебра, 7-9 класс Сборник задач, авторы: Арефьева Ирина Глебовна, Пирютко Ольга Николаевна, издательство Народная асвета, Минск, 2020, страница 168, номер 34.27, Решение (продолжение 2) Алгебра, 7-9 класс Сборник задач, авторы: Арефьева Ирина Глебовна, Пирютко Ольга Николаевна, издательство Народная асвета, Минск, 2020, страница 168, номер 34.27, Решение (продолжение 3)
Решение 2. №34.27 (с. 168)

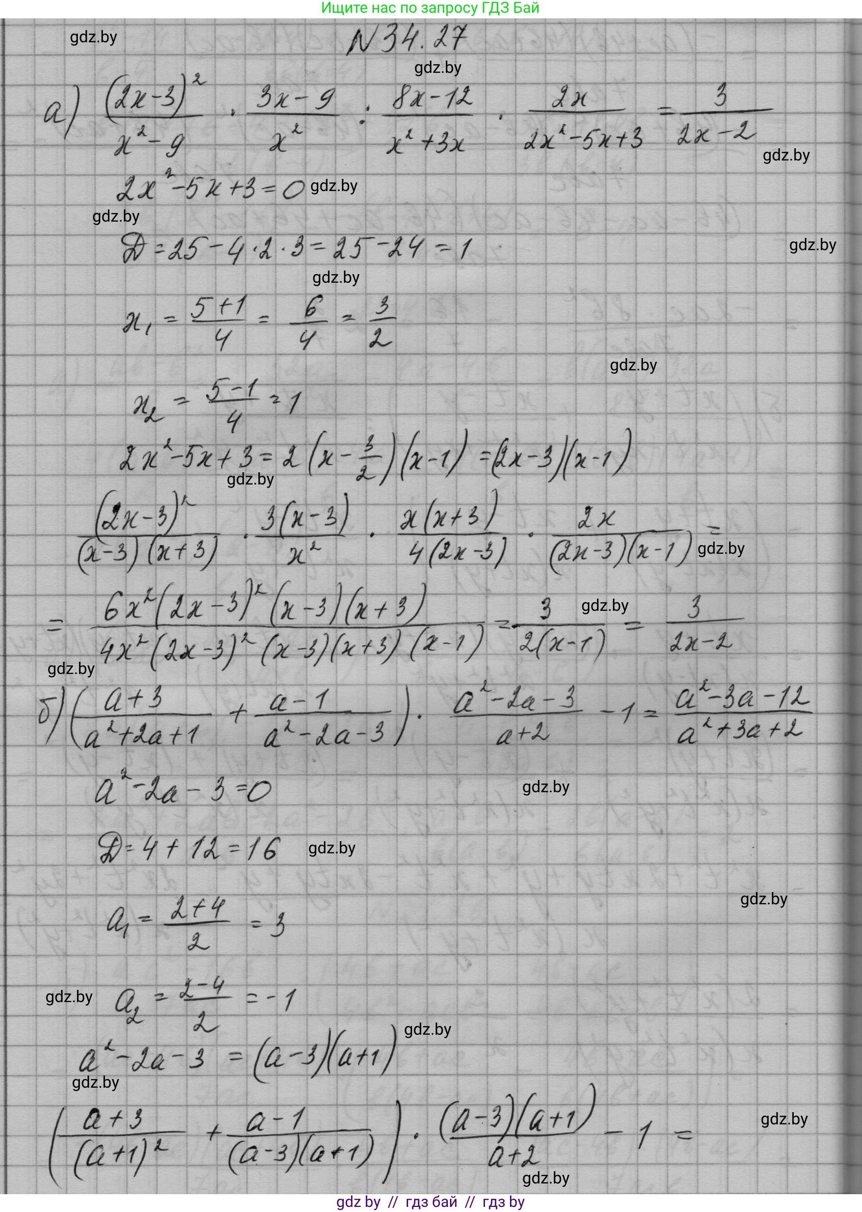
а) Упростим выражение, выполняя действия по порядку и предварительно разложив многочлены на множители.

Исходное выражение:

$\frac{(2x-3)^2}{x^2-9} \cdot \frac{3x-9}{x^2} : \frac{8x-12}{x^2+3x} \cdot \frac{2x}{2x^2-5x+3}$

1. Разложим числители и знаменатели на множители:

$x^2-9 = (x-3)(x+3)$

$3x-9 = 3(x-3)$

$8x-12 = 4(2x-3)$

$x^2+3x = x(x+3)$

$2x^2-5x+3$. Найдем корни уравнения $2x^2-5x+3=0$. Дискриминант $D = (-5)^2 - 4 \cdot 2 \cdot 3 = 25 - 24 = 1$. Корни $x_1 = \frac{5-1}{4} = 1$, $x_2 = \frac{5+1}{4} = \frac{3}{2}$. Тогда $2x^2-5x+3 = 2(x-1)(x-\frac{3}{2}) = (x-1)(2x-3)$.

2. Подставим разложенные выражения и выполним действия слева направо.

$\frac{(2x-3)^2}{(x-3)(x+3)} \cdot \frac{3(x-3)}{x^2} : \frac{4(2x-3)}{x(x+3)} \cdot \frac{2x}{(x-1)(2x-3)}$

3. Выполним первое умножение:

$\frac{(2x-3)^2}{(x-3)(x+3)} \cdot \frac{3(x-3)}{x^2} = \frac{(2x-3)^2 \cdot 3(x-3)}{(x-3)(x+3) \cdot x^2} = \frac{3(2x-3)^2}{x^2(x+3)}$

4. Выполним деление:

$\frac{3(2x-3)^2}{x^2(x+3)} : \frac{4(2x-3)}{x(x+3)} = \frac{3(2x-3)^2}{x^2(x+3)} \cdot \frac{x(x+3)}{4(2x-3)} = \frac{3(2x-3)^{\cancel{2}} \cdot \cancel{x}\cancel{(x+3)}}{x^{\cancel{2}}\cancel{(x+3)} \cdot 4\cancel{(2x-3)}} = \frac{3(2x-3)}{4x}$

5. Выполним последнее умножение:

$\frac{3(2x-3)}{4x} \cdot \frac{2x}{(x-1)(2x-3)} = \frac{3\cancel{(2x-3)} \cdot \cancel{2x}}{\cancel{4}x \cdot (x-1)\cancel{(2x-3)}} = \frac{3 \cdot 2}{4(x-1)} = \frac{6}{4(x-1)} = \frac{3}{2(x-1)}$

Ответ: $\frac{3}{2(x-1)}$

б) Упростим выражение. Рациональным способом будет сначала раскрыть скобки, умножив каждый член в скобках на множитель за ними.

Исходное выражение:

$\left( \frac{a+3}{a^2+2a+1} + \frac{a-1}{a^2-2a-3} \right) \cdot \frac{a^2-2a-3}{a+2} - 1$

1. Разложим знаменатели и множитель на множители:

$a^2+2a+1 = (a+1)^2$

$a^2-2a-3$. Корни уравнения $a^2-2a-3=0$ это $a_1=3, a_2=-1$. Тогда $a^2-2a-3 = (a-3)(a+1)$.

2. Перепишем выражение:

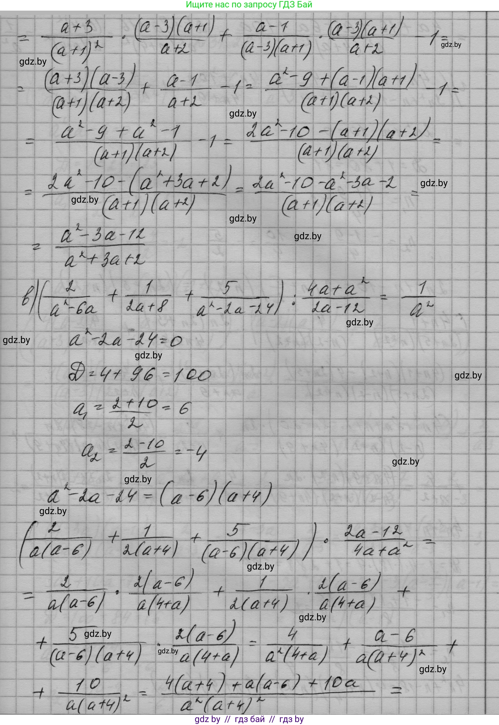
$\left( \frac{a+3}{(a+1)^2} + \frac{a-1}{(a-3)(a+1)} \right) \cdot \frac{(a-3)(a+1)}{a+2} - 1$

3. Раскроем скобки:

$\frac{a+3}{(a+1)^2} \cdot \frac{(a-3)(a+1)}{a+2} + \frac{a-1}{(a-3)(a+1)} \cdot \frac{(a-3)(a+1)}{a+2} - 1$

4. Упростим каждое слагаемое:

Первое слагаемое: $\frac{(a+3)(a-3)}{(a+1)(a+2)} = \frac{a^2-9}{(a+1)(a+2)}$

Второе слагаемое: $\frac{a-1}{a+2}$

5. Соберем выражение обратно и упростим:

$\frac{a^2-9}{(a+1)(a+2)} + \frac{a-1}{a+2} - 1 = \frac{a^2-9}{(a+1)(a+2)} + \frac{(a-1)(a+1)}{(a+1)(a+2)} - \frac{(a+1)(a+2)}{(a+1)(a+2)}$

$\frac{(a^2-9) + (a^2-1) - (a^2+3a+2)}{(a+1)(a+2)} = \frac{a^2-9+a^2-1-a^2-3a-2}{(a+1)(a+2)} = \frac{a^2-3a-12}{(a+1)(a+2)}$

Числитель $a^2-3a-12$ не раскладывается на множители с целыми коэффициентами, поэтому это окончательный вид.

Ответ: $\frac{a^2-3a-12}{(a+1)(a+2)}$

в) Упростим выражение, сначала выполнив действия в скобках.

Исходное выражение:

$\left( \frac{2}{a^2-6a} + \frac{1}{2a+8} + \frac{5}{a^2-2a-24} \right) : \frac{4a+a^2}{2a-12}$

1. Разложим на множители знаменатели и делитель:

$a^2-6a = a(a-6)$

$2a+8 = 2(a+4)$

$a^2-2a-24$. Корни уравнения $a^2-2a-24=0$ это $a_1=6, a_2=-4$. Тогда $a^2-2a-24 = (a-6)(a+4)$.

$4a+a^2 = a(4+a) = a(a+4)$

$2a-12 = 2(a-6)$

2. Выполним сложение дробей в скобках, приведя их к общему знаменателю $2a(a-6)(a+4)$:

$\frac{2 \cdot 2(a+4)}{2a(a-6)(a+4)} + \frac{1 \cdot a(a-6)}{2a(a-6)(a+4)} + \frac{5 \cdot 2a}{2a(a-6)(a+4)}$

$\frac{4(a+4) + a(a-6) + 10a}{2a(a-6)(a+4)} = \frac{4a+16+a^2-6a+10a}{2a(a-6)(a+4)} = \frac{a^2+8a+16}{2a(a-6)(a+4)}$

3. Числитель $a^2+8a+16 = (a+4)^2$. Упростим дробь в скобках:

$\frac{(a+4)^2}{2a(a-6)(a+4)} = \frac{a+4}{2a(a-6)}$

4. Выполним деление:

$\frac{a+4}{2a(a-6)} : \frac{a(a+4)}{2(a-6)} = \frac{a+4}{2a(a-6)} \cdot \frac{2(a-6)}{a(a+4)}$

5. Сократим одинаковые множители:

$\frac{\cancel{a+4}}{\cancel{2}a\cancel{(a-6)}} \cdot \frac{\cancel{2}\cancel{(a-6)}}{a\cancel{(a+4)}} = \frac{1}{a \cdot a} = \frac{1}{a^2}$

Ответ: $\frac{1}{a^2}$

г) Упростим выражение, сначала выполнив действия в скобках.

Исходное выражение:

$\left( \frac{4n+1}{2n^2+n-10} - \frac{4}{n^2-4} \right) \cdot \frac{4n^2+10n}{4n+9} + \frac{4}{n+2}$

1. Разложим на множители:

$2n^2+n-10$. Корни $n_1=2, n_2=-5/2$. $2n^2+n-10 = 2(n-2)(n+5/2) = (n-2)(2n+5)$.

$n^2-4 = (n-2)(n+2)$

$4n^2+10n = 2n(2n+5)$

2. Выполним вычитание в скобках, приведя дроби к общему знаменателю $(n-2)(2n+5)(n+2)$:

$\frac{(4n+1)(n+2) - 4(2n+5)}{(n-2)(2n+5)(n+2)} = \frac{4n^2+8n+n+2 - 8n-20}{(n-2)(2n+5)(n+2)} = \frac{4n^2+n-18}{(n-2)(2n+5)(n+2)}$

3. Разложим числитель $4n^2+n-18$. Корни $n_1=2, n_2=-9/4$. $4n^2+n-18 = 4(n-2)(n+9/4) = (n-2)(4n+9)$.

4. Упростим выражение в скобках:

$\frac{(n-2)(4n+9)}{(n-2)(2n+5)(n+2)} = \frac{4n+9}{(2n+5)(n+2)}$

5. Выполним умножение:

$\frac{4n+9}{(2n+5)(n+2)} \cdot \frac{2n(2n+5)}{4n+9}$

6. Сократим дроби:

$\frac{\cancel{4n+9}}{\cancel{(2n+5)}(n+2)} \cdot \frac{2n\cancel{(2n+5)}}{\cancel{4n+9}} = \frac{2n}{n+2}$

7. Выполним сложение:

$\frac{2n}{n+2} + \frac{4}{n+2} = \frac{2n+4}{n+2} = \frac{2(n+2)}{n+2} = 2$

Ответ: $2$

Помогло решение? Оставьте отзыв в комментариях ниже.

Присоединяйтесь к Телеграм-группе @gdz_by_belarus

Присоединиться

Мы подготовили для вас ответ c подробным объяснением домашего задания по алгебре за 7-9 класс, для упражнения номер 34.27 расположенного на странице 168 к сборнику задач 2020 года издания для учащихся школ и гимназий.

Теперь на нашем сайте ГДЗ.ТОП вы всегда легко и бесплатно найдёте условие с правильным ответом на вопрос «Как решить ДЗ» и «Как сделать» задание по алгебре к упражнению №34.27 (с. 168), авторов: Арефьева (Ирина Глебовна), Пирютко (Ольга Николаевна), учебного пособия издательства Народная асвета.