Номер 34.22, страница 167 - гдз по алгебре 7-9 класс сборник задач Арефьева, Пирютко

Алгебра, 7-9 класс Сборник задач, авторы: Арефьева Ирина Глебовна, Пирютко Ольга Николаевна, издательство Народная асвета, Минск, 2020

Авторы: Арефьева И. Г., Пирютко О. Н.

Тип: Сборник задач

Издательство: Народная асвета

Год издания: 2020 - 2025

Цвет обложки: синий с графиками

Допущено Министерством образования Республики Беларусь

Популярные ГДЗ в 7 классе

9 класс. Параграф 34. Преобразования рациональных выражений - номер 34.22, страница 167.

№34.22 (с. 167)
Условие. №34.22 (с. 167)
скриншот условия
Алгебра, 7-9 класс Сборник задач, авторы: Арефьева Ирина Глебовна, Пирютко Ольга Николаевна, издательство Народная асвета, Минск, 2020, страница 167, номер 34.22, Условие

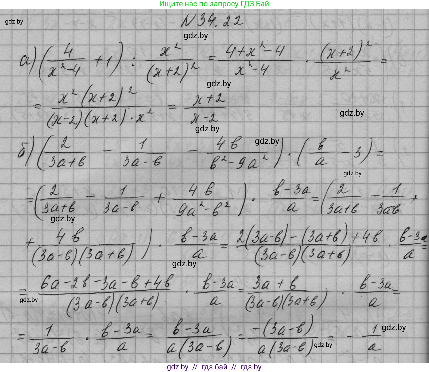
34.22. Упростите рациональное выражение:

a)$(\frac{4}{x^2 - 4} + 1) : \frac{x^2}{(x+2)^2};$

б)$(\frac{2}{3a+b} - \frac{1}{3a-b} - \frac{4b}{b^2-9a^2}) \cdot (\frac{b}{a} - 3).$

Решение. №34.22 (с. 167)
Алгебра, 7-9 класс Сборник задач, авторы: Арефьева Ирина Глебовна, Пирютко Ольга Николаевна, издательство Народная асвета, Минск, 2020, страница 167, номер 34.22, Решение
Решение 2. №34.22 (с. 167)

а)

Сначала выполним действие в скобках. Для этого приведем дроби к общему знаменателю. Знаменатель первой дроби $x^2 - 4$ можно разложить на множители по формуле разности квадратов: $x^2 - 4 = (x-2)(x+2)$.

$\left(\frac{4}{x^2 - 4} + 1\right) = \frac{4}{(x-2)(x+2)} + \frac{1 \cdot (x^2 - 4)}{x^2 - 4} = \frac{4 + x^2 - 4}{(x-2)(x+2)} = \frac{x^2}{(x-2)(x+2)}$

Теперь выполним деление. Деление на дробь равносильно умножению на обратную ей дробь:

$\frac{x^2}{(x-2)(x+2)} : \frac{x^2}{(x+2)^2} = \frac{x^2}{(x-2)(x+2)} \cdot \frac{(x+2)^2}{x^2}$

Сократим общие множители $x^2$ и $(x+2)$:

$\frac{\cancel{x^2}}{(x-2)\cancel{(x+2)}} \cdot \frac{(x+2)^{\cancel{2}}}{\cancel{x^2}} = \frac{x+2}{x-2}$

Ответ: $\frac{x+2}{x-2}$

б)

Сначала упростим выражение в первых скобках. Для этого приведем все дроби к общему знаменателю. Разложим знаменатель третьей дроби на множители по формуле разности квадратов: $b^2 - 9a^2 = (b-3a)(b+3a)$.

Заметим, что $b-3a = -(3a-b)$, поэтому $b^2 - 9a^2 = -(3a-b)(3a+b)$. Это позволяет нам переписать третью дробь:

$\frac{4b}{b^2 - 9a^2} = \frac{4b}{-(3a-b)(3a+b)} = -\frac{4b}{(3a-b)(3a+b)}$

Теперь выражение в скобках принимает вид:

$\frac{2}{3a+b} - \frac{1}{3a-b} - \left(-\frac{4b}{(3a-b)(3a+b)}\right) = \frac{2}{3a+b} - \frac{1}{3a-b} + \frac{4b}{(3a-b)(3a+b)}$

Общим знаменателем является $(3a+b)(3a-b)$. Приведем к нему все дроби:

$\frac{2(3a-b)}{(3a+b)(3a-b)} - \frac{1(3a+b)}{(3a+b)(3a-b)} + \frac{4b}{(3a+b)(3a-b)} = \frac{2(3a-b) - (3a+b) + 4b}{(3a+b)(3a-b)}$

Раскроем скобки в числителе и приведем подобные слагаемые:

$\frac{6a - 2b - 3a - b + 4b}{(3a+b)(3a-b)} = \frac{(6a-3a) + (-2b-b+4b)}{(3a+b)(3a-b)} = \frac{3a + b}{(3a+b)(3a-b)}$

Сократим дробь на $(3a+b)$:

$\frac{\cancel{3a+b}}{\cancel{(3a+b)}(3a-b)} = \frac{1}{3a-b}$

Теперь упростим выражение во вторых скобках:

$\frac{b}{a} - 3 = \frac{b}{a} - \frac{3a}{a} = \frac{b-3a}{a}$

Наконец, выполним умножение полученных выражений. Вынесем $-1$ за скобки в числителе второй дроби: $b-3a = -(3a-b)$.

$\frac{1}{3a-b} \cdot \frac{b-3a}{a} = \frac{1}{3a-b} \cdot \frac{-(3a-b)}{a}$

Сократим общий множитель $(3a-b)$:

$\frac{1}{\cancel{3a-b}} \cdot \frac{-\cancel{(3a-b)}}{a} = \frac{-1}{a} = -\frac{1}{a}$

Ответ: $-\frac{1}{a}$

Помогло решение? Оставьте отзыв в комментариях ниже.

Присоединяйтесь к Телеграм-группе @gdz_by_belarus

Присоединиться

Мы подготовили для вас ответ c подробным объяснением домашего задания по алгебре за 7-9 класс, для упражнения номер 34.22 расположенного на странице 167 к сборнику задач 2020 года издания для учащихся школ и гимназий.

Теперь на нашем сайте ГДЗ.ТОП вы всегда легко и бесплатно найдёте условие с правильным ответом на вопрос «Как решить ДЗ» и «Как сделать» задание по алгебре к упражнению №34.22 (с. 167), авторов: Арефьева (Ирина Глебовна), Пирютко (Ольга Николаевна), учебного пособия издательства Народная асвета.