Номер 34.18, страница 167 - гдз по алгебре 7-9 класс сборник задач Арефьева, Пирютко

Алгебра, 7-9 класс Сборник задач, авторы: Арефьева Ирина Глебовна, Пирютко Ольга Николаевна, издательство Народная асвета, Минск, 2020

Авторы: Арефьева И. Г., Пирютко О. Н.

Тип: Сборник задач

Издательство: Народная асвета

Год издания: 2020 - 2025

Цвет обложки: синий с графиками

Допущено Министерством образования Республики Беларусь

Популярные ГДЗ в 7 классе

9 класс. Параграф 34. Преобразования рациональных выражений - номер 34.18, страница 167.

№34.18 (с. 167)
Условие. №34.18 (с. 167)
скриншот условия
Алгебра, 7-9 класс Сборник задач, авторы: Арефьева Ирина Глебовна, Пирютко Ольга Николаевна, издательство Народная асвета, Минск, 2020, страница 167, номер 34.18, Условие

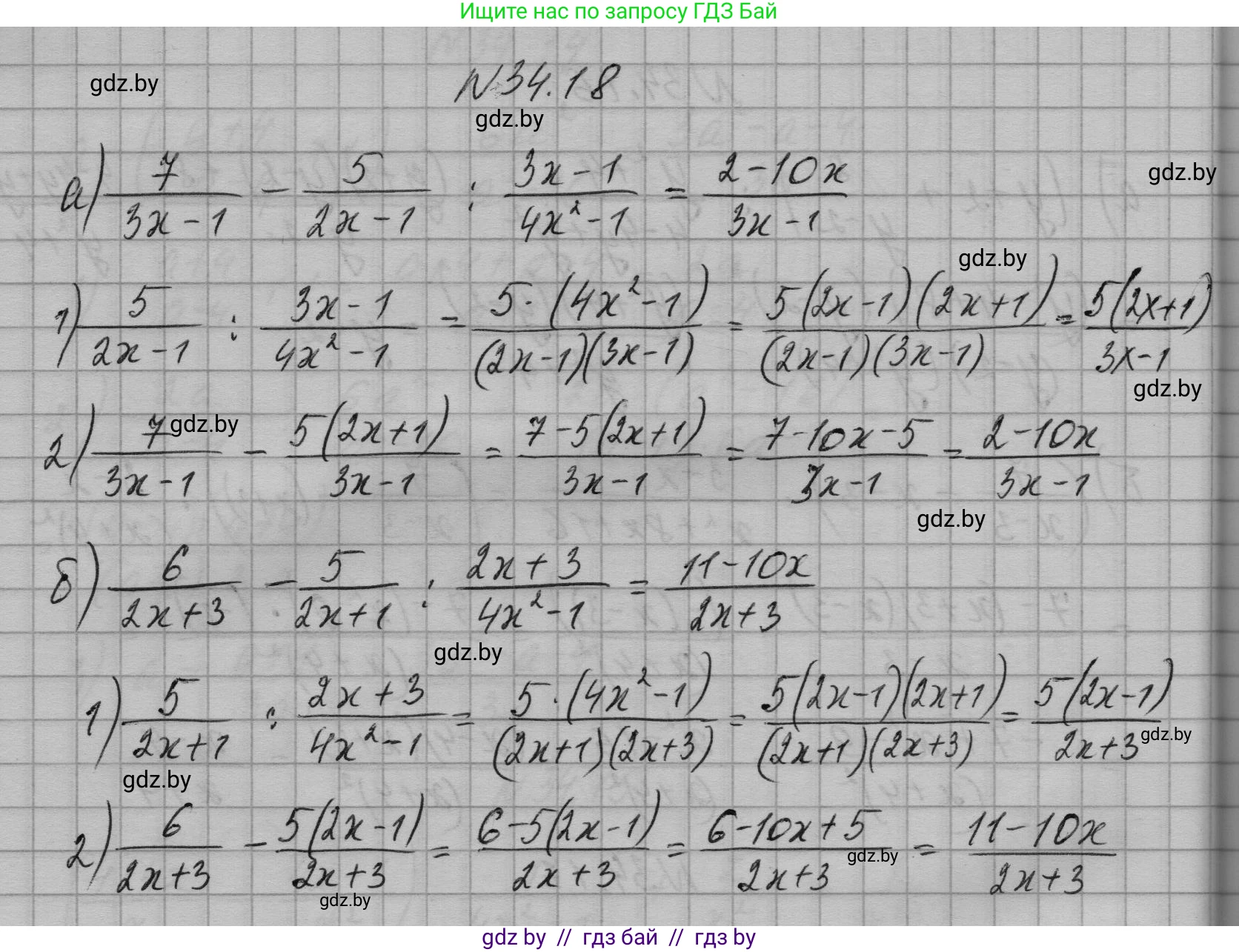
34.18. Выполните действия:

а) $\frac{7}{3x - 1} - \frac{5}{2x - 1} : \frac{3x - 1}{4x^2 - 1};$

б) $\frac{6}{2x + 3} - \frac{5}{2x + 1} : \frac{2x + 3}{4x^2 - 1}.$

Решение. №34.18 (с. 167)
Алгебра, 7-9 класс Сборник задач, авторы: Арефьева Ирина Глебовна, Пирютко Ольга Николаевна, издательство Народная асвета, Минск, 2020, страница 167, номер 34.18, Решение
Решение 2. №34.18 (с. 167)

а)

Исходное выражение: $\frac{7}{3x-1} - \frac{5}{2x-1} : \frac{3x-1}{4x^2-1}$.

Согласно порядку действий, сначала выполняем деление, а затем вычитание.

1. Выполним деление дробей. Чтобы разделить одну дробь на другую, нужно первую дробь умножить на дробь, обратную второй.

$\frac{5}{2x-1} : \frac{3x-1}{4x^2-1} = \frac{5}{2x-1} \cdot \frac{4x^2-1}{3x-1}$

Знаменатель второй дроби $4x^2-1$ является разностью квадратов, которую можно разложить на множители по формуле $a^2 - b^2 = (a-b)(a+b)$:

$4x^2-1 = (2x)^2 - 1^2 = (2x-1)(2x+1)$

Подставим разложенный многочлен в наше выражение и сократим общие множители:

$\frac{5}{2x-1} \cdot \frac{(2x-1)(2x+1)}{3x-1} = \frac{5 \cdot \cancel{(2x-1)}(2x+1)}{\cancel{(2x-1)} \cdot (3x-1)} = \frac{5(2x+1)}{3x-1}$

2. Теперь выполним вычитание, подставив результат деления в исходное выражение.

$\frac{7}{3x-1} - \frac{5(2x+1)}{3x-1}$

Так как у дробей одинаковый знаменатель, вычтем их числители:

$\frac{7 - 5(2x+1)}{3x-1} = \frac{7 - 10x - 5}{3x-1} = \frac{2 - 10x}{3x-1}$

Ответ: $\frac{2-10x}{3x-1}$.

б)

Исходное выражение: $\frac{6}{2x+3} - \frac{5}{2x+1} : \frac{2x+3}{4x^2-1}$.

Сначала выполним деление, затем вычитание.

1. Выполним деление.

$\frac{5}{2x+1} : \frac{2x+3}{4x^2-1} = \frac{5}{2x+1} \cdot \frac{4x^2-1}{2x+3}$

Разложим на множители выражение $4x^2-1$ как разность квадратов:

$4x^2-1 = (2x-1)(2x+1)$

Подставим и сократим:

$\frac{5}{2x+1} \cdot \frac{(2x-1)(2x+1)}{2x+3} = \frac{5 \cdot (2x-1)\cancel{(2x+1)}}{\cancel{(2x+1)} \cdot (2x+3)} = \frac{5(2x-1)}{2x+3}$

2. Теперь выполним вычитание.

$\frac{6}{2x+3} - \frac{5(2x-1)}{2x+3}$

Дроби имеют общий знаменатель, поэтому вычитаем числители:

$\frac{6 - 5(2x-1)}{2x+3} = \frac{6 - 10x + 5}{2x+3} = \frac{11 - 10x}{2x+3}$

Ответ: $\frac{11-10x}{2x+3}$.

Помогло решение? Оставьте отзыв в комментариях ниже.

Присоединяйтесь к Телеграм-группе @gdz_by_belarus

Присоединиться

Мы подготовили для вас ответ c подробным объяснением домашего задания по алгебре за 7-9 класс, для упражнения номер 34.18 расположенного на странице 167 к сборнику задач 2020 года издания для учащихся школ и гимназий.

Теперь на нашем сайте ГДЗ.ТОП вы всегда легко и бесплатно найдёте условие с правильным ответом на вопрос «Как решить ДЗ» и «Как сделать» задание по алгебре к упражнению №34.18 (с. 167), авторов: Арефьева (Ирина Глебовна), Пирютко (Ольга Николаевна), учебного пособия издательства Народная асвета.