Номер 34.16, страница 166 - гдз по алгебре 7-9 класс сборник задач Арефьева, Пирютко

Алгебра, 7-9 класс Сборник задач, авторы: Арефьева Ирина Глебовна, Пирютко Ольга Николаевна, издательство Народная асвета, Минск, 2020

Авторы: Арефьева И. Г., Пирютко О. Н.

Тип: Сборник задач

Издательство: Народная асвета

Год издания: 2020 - 2025

Цвет обложки: синий с графиками

Допущено Министерством образования Республики Беларусь

Популярные ГДЗ в 7 классе

9 класс. Параграф 34. Преобразования рациональных выражений - номер 34.16, страница 166.

№34.16 (с. 166)
Условие. №34.16 (с. 166)
скриншот условия
Алгебра, 7-9 класс Сборник задач, авторы: Арефьева Ирина Глебовна, Пирютко Ольга Николаевна, издательство Народная асвета, Минск, 2020, страница 166, номер 34.16, Условие

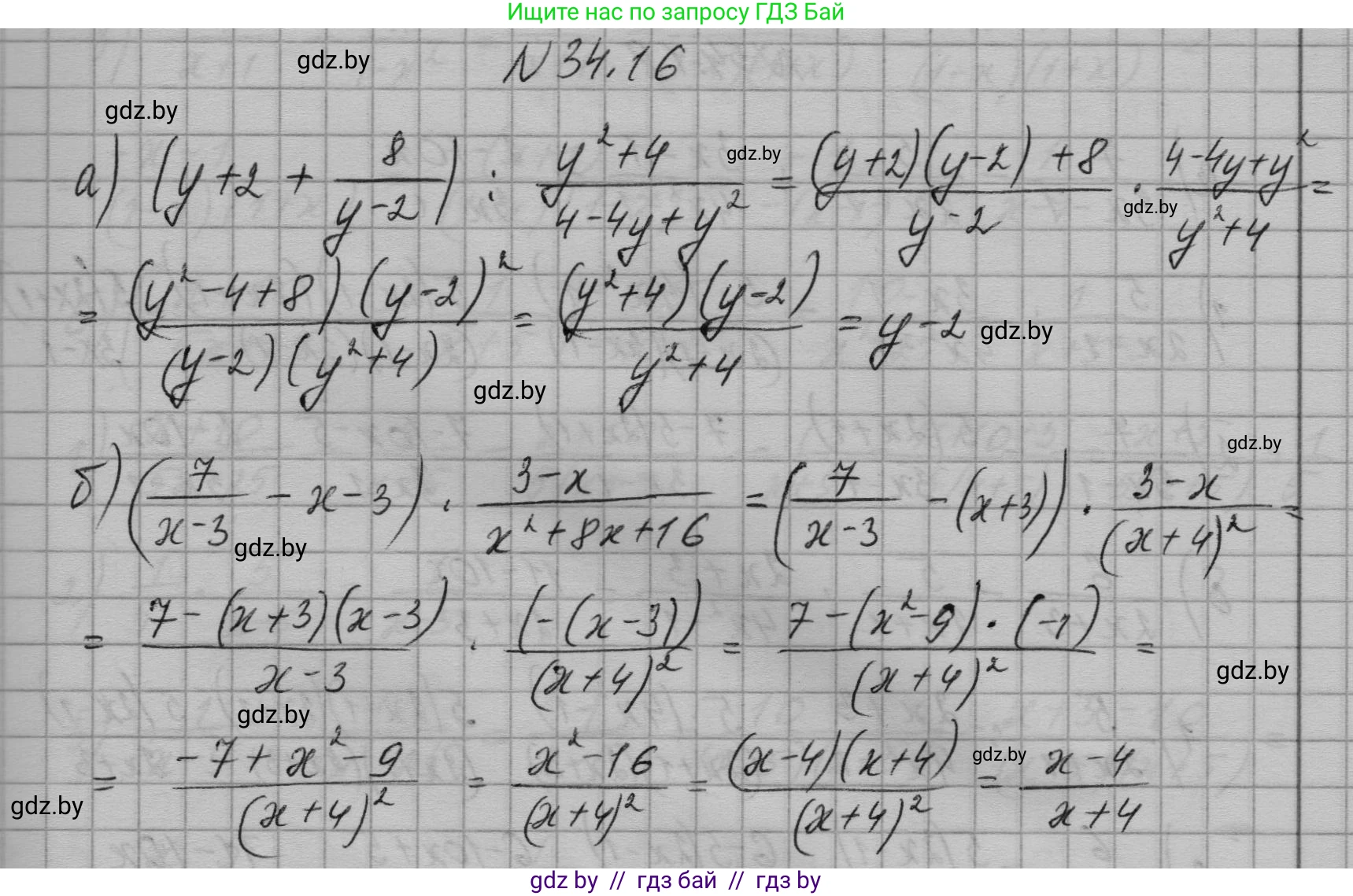
34.16. Упростите выражение:

a) $(y + 2 + \frac{8}{y-2}) : \frac{y^2+4}{4-4y+y^2}$

б) $(\frac{7}{x-3} - x - 3) \cdot \frac{3-x}{x^2+8x+16}$

Решение. №34.16 (с. 166)
Алгебра, 7-9 класс Сборник задач, авторы: Арефьева Ирина Глебовна, Пирютко Ольга Николаевна, издательство Народная асвета, Минск, 2020, страница 166, номер 34.16, Решение
Решение 2. №34.16 (с. 166)

а)

Исходное выражение: $ \left(y+2+\frac{8}{y-2}\right) : \frac{y^2+4}{4-4y+y^2} $

1. Сначала упростим выражение в скобках. Для этого приведем все слагаемые к общему знаменателю $y-2$:

$ y+2+\frac{8}{y-2} = \frac{(y+2)(y-2)}{y-2} + \frac{8}{y-2} = \frac{y^2-4+8}{y-2} = \frac{y^2+4}{y-2} $

2. Теперь упростим вторую дробь. Знаменатель $4-4y+y^2$ можно представить в виде полного квадрата разности:

$ 4-4y+y^2 = y^2 - 4y + 4 = (y-2)^2 $

Таким образом, вторая дробь равна $ \frac{y^2+4}{(y-2)^2} $.

3. Подставим упрощенные выражения в исходное:

$ \frac{y^2+4}{y-2} : \frac{y^2+4}{(y-2)^2} $

4. Деление на дробь равносильно умножению на обратную ей дробь:

$ \frac{y^2+4}{y-2} \cdot \frac{(y-2)^2}{y^2+4} $

5. Сократим общие множители $y^2+4$ и $y-2$ в числителе и знаменателе:

$ \frac{\cancel{y^2+4}}{\cancel{y-2}} \cdot \frac{(y-2)^{\cancel{2}}}{\cancel{y^2+4}} = y-2 $

Ответ: $y-2$

б)

Исходное выражение: $ \left(\frac{7}{x-3} - x - 3\right) \cdot \frac{3-x}{x^2+8x+16} $

1. Упростим выражение в скобках, приведя его к общему знаменателю $x-3$:

$ \frac{7}{x-3} - x - 3 = \frac{7}{x-3} - (x+3) = \frac{7}{x-3} - \frac{(x+3)(x-3)}{x-3} = \frac{7-(x^2-9)}{x-3} = \frac{7-x^2+9}{x-3} = \frac{16-x^2}{x-3} $

2. Разложим на множители числитель $16-x^2$ по формуле разности квадратов $a^2-b^2=(a-b)(a+b)$:

$ 16-x^2 = (4-x)(4+x) $

3. Разложим на множители знаменатель второй дроби $x^2+8x+16$ по формуле квадрата суммы $a^2+2ab+b^2=(a+b)^2$:

$ x^2+8x+16 = (x+4)^2 $

4. Вынесем минус за скобки в числителе второй дроби: $3-x = -(x-3)$.

5. Подставим полученные выражения в исходное:

$ \frac{(4-x)(4+x)}{x-3} \cdot \frac{-(x-3)}{(x+4)^2} $

6. Сократим общие множители $x-3$ и $x+4$ (учитывая, что $4+x=x+4$):

$ \frac{(4-x)\cancel{(x+4)}}{\cancel{x-3}} \cdot \frac{-\cancel{(x-3)}}{(x+4)^{\cancel{2}}} = \frac{4-x}{1} \cdot \frac{-1}{x+4} = \frac{-(4-x)}{x+4} = \frac{-4+x}{x+4} = \frac{x-4}{x+4} $

Ответ: $\frac{x-4}{x+4}$

Помогло решение? Оставьте отзыв в комментариях ниже.

Присоединяйтесь к Телеграм-группе @gdz_by_belarus

Присоединиться

Мы подготовили для вас ответ c подробным объяснением домашего задания по алгебре за 7-9 класс, для упражнения номер 34.16 расположенного на странице 166 к сборнику задач 2020 года издания для учащихся школ и гимназий.

Теперь на нашем сайте ГДЗ.ТОП вы всегда легко и бесплатно найдёте условие с правильным ответом на вопрос «Как решить ДЗ» и «Как сделать» задание по алгебре к упражнению №34.16 (с. 166), авторов: Арефьева (Ирина Глебовна), Пирютко (Ольга Николаевна), учебного пособия издательства Народная асвета.