Номер 36.21, страница 181 - гдз по алгебре 7-9 класс сборник задач Арефьева, Пирютко

Алгебра, 7-9 класс Сборник задач, авторы: Арефьева Ирина Глебовна, Пирютко Ольга Николаевна, издательство Народная асвета, Минск, 2020

Авторы: Арефьева И. Г., Пирютко О. Н.

Тип: Сборник задач

Издательство: Народная асвета

Год издания: 2020 - 2025

Цвет обложки: синий с графиками

Допущено Министерством образования Республики Беларусь

Популярные ГДЗ в 7 классе

9 класс. Параграф 36. Дробно-рациональные уравнения - номер 36.21, страница 181.

№36.21 (с. 181)
Условие. №36.21 (с. 181)
скриншот условия
Алгебра, 7-9 класс Сборник задач, авторы: Арефьева Ирина Глебовна, Пирютко Ольга Николаевна, издательство Народная асвета, Минск, 2020, страница 181, номер 36.21, Условие

36.21. Решите уравнение:

а) $1 - \frac{3x^2 - x - 24}{3-x} = 0;$

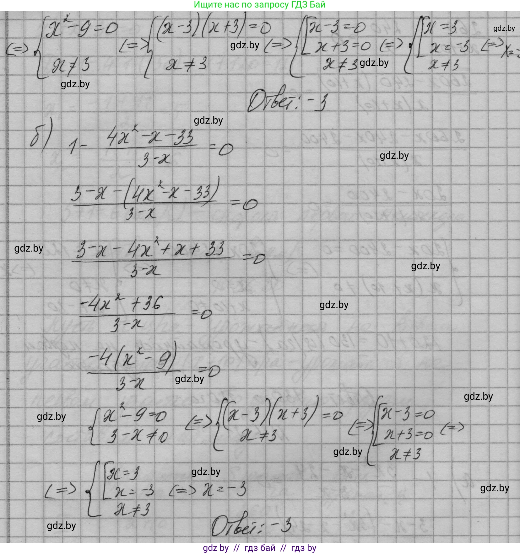
б) $1 - \frac{4x^2 - x - 33}{3-x} = 0.$

Решение. №36.21 (с. 181)
Алгебра, 7-9 класс Сборник задач, авторы: Арефьева Ирина Глебовна, Пирютко Ольга Николаевна, издательство Народная асвета, Минск, 2020, страница 181, номер 36.21, Решение Алгебра, 7-9 класс Сборник задач, авторы: Арефьева Ирина Глебовна, Пирютко Ольга Николаевна, издательство Народная асвета, Минск, 2020, страница 181, номер 36.21, Решение (продолжение 2)
Решение 2. №36.21 (с. 181)

а) $1 - \frac{3x^2 - x - 24}{3 - x} = 0$

Данное уравнение является дробно-рациональным. Вначале определим область допустимых значений (ОДЗ). Знаменатель дроби не может быть равен нулю, поэтому:

$3 - x \neq 0$

$x \neq 3$

Теперь приступим к решению уравнения. Перенесем дробь в правую часть уравнения:

$1 = \frac{3x^2 - x - 24}{3 - x}$

Умножим обе части уравнения на знаменатель $(3 - x)$, при условии, что $x \neq 3$:

$1 \cdot (3 - x) = 3x^2 - x - 24$

$3 - x = 3x^2 - x - 24$

Перенесем все слагаемые в одну сторону, чтобы получить квадратное уравнение:

$3x^2 - x - 24 - 3 + x = 0$

Приведем подобные слагаемые:

$3x^2 - 27 = 0$

Это неполное квадратное уравнение. Решим его:

$3x^2 = 27$

$x^2 = \frac{27}{3}$

$x^2 = 9$

Из этого следует, что уравнение имеет два корня:

$x_1 = 3$ и $x_2 = -3$

Теперь необходимо проверить, удовлетворяют ли найденные корни ОДЗ ($x \neq 3$).

Корень $x_1 = 3$ не удовлетворяет ОДЗ, так как при этом значении знаменатель исходной дроби обращается в ноль. Следовательно, $x_1 = 3$ является посторонним корнем.

Корень $x_2 = -3$ удовлетворяет ОДЗ.

Ответ: $-3$.

б) $1 - \frac{4x^2 - x - 33}{3 - x} = 0$

Область допустимых значений (ОДЗ) для этого уравнения такая же, как и в предыдущем, поскольку знаменатель тот же самый:

$3 - x \neq 0$

$x \neq 3$

Решаем уравнение, выполняя аналогичные преобразования. Перенесем дробь в правую часть:

$1 = \frac{4x^2 - x - 33}{3 - x}$

Умножим обе части на знаменатель $(3 - x)$:

$3 - x = 4x^2 - x - 33$

Соберем все слагаемые в одной части уравнения:

$4x^2 - x - 33 - 3 + x = 0$

Приведем подобные члены:

$4x^2 - 36 = 0$

Решим полученное неполное квадратное уравнение:

$4x^2 = 36$

$x^2 = \frac{36}{4}$

$x^2 = 9$

Находим корни:

$x_1 = 3$ и $x_2 = -3$

Проверим корни на соответствие ОДЗ ($x \neq 3$).

Корень $x_1 = 3$ не входит в ОДЗ и является посторонним корнем.

Корень $x_2 = -3$ удовлетворяет ОДЗ.

Ответ: $-3$.

Помогло решение? Оставьте отзыв в комментариях ниже.

Присоединяйтесь к Телеграм-группе @gdz_by_belarus

Присоединиться

Мы подготовили для вас ответ c подробным объяснением домашего задания по алгебре за 7-9 класс, для упражнения номер 36.21 расположенного на странице 181 к сборнику задач 2020 года издания для учащихся школ и гимназий.

Теперь на нашем сайте ГДЗ.ТОП вы всегда легко и бесплатно найдёте условие с правильным ответом на вопрос «Как решить ДЗ» и «Как сделать» задание по алгебре к упражнению №36.21 (с. 181), авторов: Арефьева (Ирина Глебовна), Пирютко (Ольга Николаевна), учебного пособия издательства Народная асвета.