Номер 36.27, страница 181 - гдз по алгебре 7-9 класс сборник задач Арефьева, Пирютко

Алгебра, 7-9 класс Сборник задач, авторы: Арефьева Ирина Глебовна, Пирютко Ольга Николаевна, издательство Народная асвета, Минск, 2020

Авторы: Арефьева И. Г., Пирютко О. Н.

Тип: Сборник задач

Издательство: Народная асвета

Год издания: 2020 - 2025

Цвет обложки: синий с графиками

Допущено Министерством образования Республики Беларусь

Популярные ГДЗ в 7 классе

9 класс. Параграф 36. Дробно-рациональные уравнения - номер 36.27, страница 181.

№36.27 (с. 181)
Условие. №36.27 (с. 181)
скриншот условия
Алгебра, 7-9 класс Сборник задач, авторы: Арефьева Ирина Глебовна, Пирютко Ольга Николаевна, издательство Народная асвета, Минск, 2020, страница 181, номер 36.27, Условие

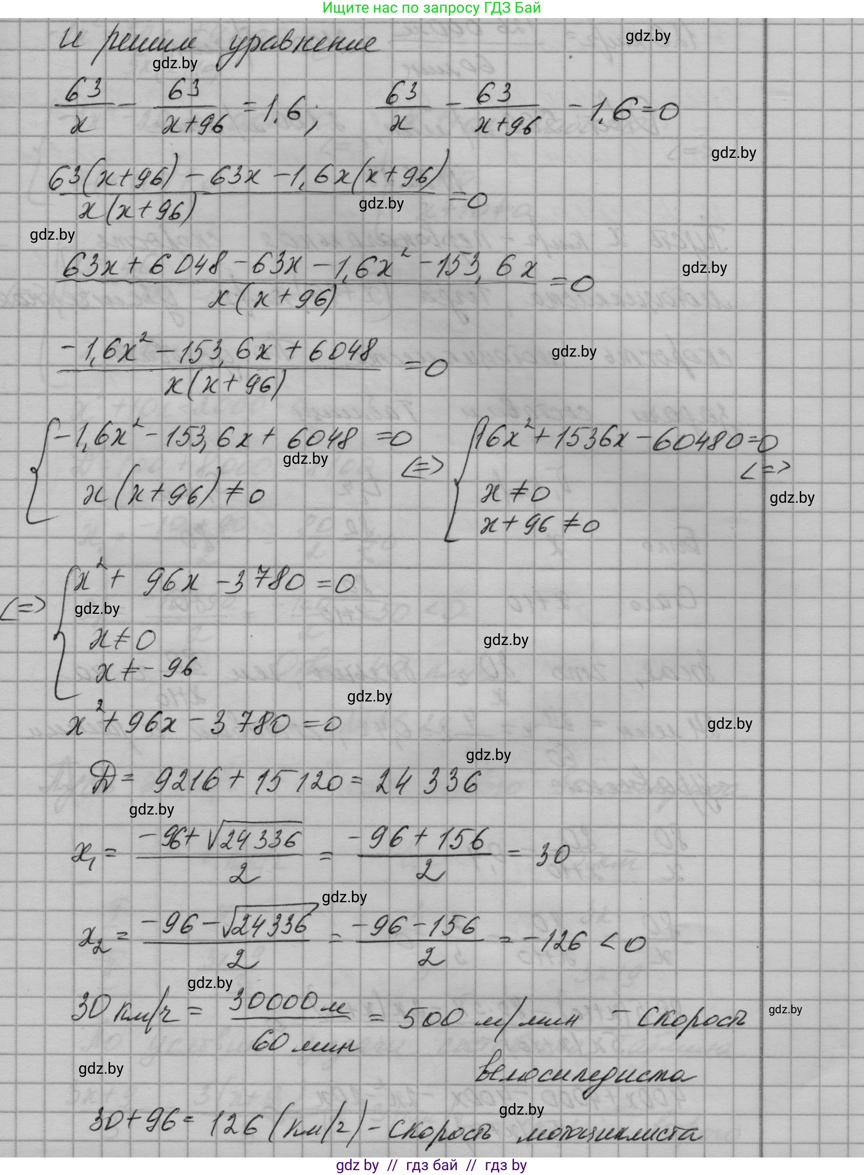
36.27. Велосипедист каждую минуту проезжает на 1600 м меньше, чем мотоциклист, поэтому на путь в 63 км он затрачивает на 1,6 ч больше, чем мотоциклист. Найдите скорость каждого из них.

Решение. №36.27 (с. 181)
Алгебра, 7-9 класс Сборник задач, авторы: Арефьева Ирина Глебовна, Пирютко Ольга Николаевна, издательство Народная асвета, Минск, 2020, страница 181, номер 36.27, Решение Алгебра, 7-9 класс Сборник задач, авторы: Арефьева Ирина Глебовна, Пирютко Ольга Николаевна, издательство Народная асвета, Минск, 2020, страница 181, номер 36.27, Решение (продолжение 2) Алгебра, 7-9 класс Сборник задач, авторы: Арефьева Ирина Глебовна, Пирютко Ольга Николаевна, издательство Народная асвета, Минск, 2020, страница 181, номер 36.27, Решение (продолжение 3)
Решение 2. №36.27 (с. 181)

Пусть $v_в$ — скорость велосипедиста в км/ч, а $v_м$ — скорость мотоциклиста в км/ч.

Из условия известно, что велосипедист каждую минуту проезжает на 1600 м меньше, чем мотоциклист. Это означает, что разница в их скоростях составляет 1600 м/мин. Переведем эту разницу в км/ч, чтобы все единицы были согласованы.

В 1 часе 60 минут, а в 1 километре 1000 метров.

1600 м/мин = $1600 \times 60$ м/ч = $96000$ м/ч = $96$ км/ч.

Таким образом, разница скоростей составляет $v_м - v_в = 96$ км/ч. Отсюда можем выразить скорость мотоциклиста через скорость велосипедиста:

$v_м = v_в + 96$

Теперь используем второе условие: на путь в 63 км велосипедист затрачивает на 1,6 часа больше, чем мотоциклист. Время движения ($t$) вычисляется по формуле $t = S/v$, где $S$ — расстояние.

Время велосипедиста: $t_в = \frac{63}{v_в}$.

Время мотоциклиста: $t_м = \frac{63}{v_м}$.

Разница во времени: $t_в - t_м = 1,6$ ч.

Составим уравнение, подставив выражения для времени:

$\frac{63}{v_в} - \frac{63}{v_м} = 1,6$

Подставим в это уравнение ранее найденное выражение для $v_м$:

$\frac{63}{v_в} - \frac{63}{v_в + 96} = 1,6$

Для упрощения решения обозначим скорость велосипедиста $v_в = x$. Уравнение примет вид:

$\frac{63}{x} - \frac{63}{x + 96} = 1,6$

Приведем дроби в левой части к общему знаменателю $x(x+96)$:

$\frac{63(x + 96) - 63x}{x(x + 96)} = 1,6$

$\frac{63x + 6048 - 63x}{x^2 + 96x} = 1,6$

$\frac{6048}{x^2 + 96x} = 1,6$

Избавимся от знаменателя, умножив обе части на $x^2 + 96x$ (при условии, что $x \neq 0$ и $x \neq -96$):

$6048 = 1,6(x^2 + 96x)$

Разделим обе части уравнения на 1,6:

$x^2 + 96x = \frac{6048}{1,6}$

$x^2 + 96x = 3780$

Перенесем все члены в левую часть, чтобы получить стандартное квадратное уравнение:

$x^2 + 96x - 3780 = 0$

Решим это уравнение с помощью дискриминанта $D = b^2 - 4ac$:

$D = 96^2 - 4 \cdot 1 \cdot (-3780) = 9216 + 15120 = 24336$

Найдем корень из дискриминанта: $\sqrt{D} = \sqrt{24336} = 156$.

Теперь найдем корни уравнения по формуле $x = \frac{-b \pm \sqrt{D}}{2a}$:

$x_1 = \frac{-96 + 156}{2} = \frac{60}{2} = 30$

$x_2 = \frac{-96 - 156}{2} = \frac{-252}{2} = -126$

Поскольку скорость не может быть отрицательной, единственным физически осмысленным решением является $x = 30$.

Следовательно, скорость велосипедиста $v_в = 30$ км/ч.

Теперь найдем скорость мотоциклиста:

$v_м = v_в + 96 = 30 + 96 = 126$ км/ч.

Ответ: скорость велосипедиста — 30 км/ч, скорость мотоциклиста — 126 км/ч.

Помогло решение? Оставьте отзыв в комментариях ниже.

Присоединяйтесь к Телеграм-группе @gdz_by_belarus

Присоединиться

Мы подготовили для вас ответ c подробным объяснением домашего задания по алгебре за 7-9 класс, для упражнения номер 36.27 расположенного на странице 181 к сборнику задач 2020 года издания для учащихся школ и гимназий.

Теперь на нашем сайте ГДЗ.ТОП вы всегда легко и бесплатно найдёте условие с правильным ответом на вопрос «Как решить ДЗ» и «Как сделать» задание по алгебре к упражнению №36.27 (с. 181), авторов: Арефьева (Ирина Глебовна), Пирютко (Ольга Николаевна), учебного пособия издательства Народная асвета.