Номер 1.15, страница 8 - гдз по алгебре 7-9 класс сборник задач Арефьева, Пирютко

Алгебра, 7-9 класс Сборник задач, авторы: Арефьева Ирина Глебовна, Пирютко Ольга Николаевна, издательство Народная асвета, Минск, 2020

Авторы: Арефьева И. Г., Пирютко О. Н.

Тип: Сборник задач

Издательство: Народная асвета

Год издания: 2020 - 2025

Цвет обложки: синий с графиками

Допущено Министерством образования Республики Беларусь

Популярные ГДЗ в 7 классе

7 класс. Параграф 1. Степень с натуральным показателем и ее свойства - номер 1.15, страница 8.

№1.15 (с. 8)
Условие. №1.15 (с. 8)
скриншот условия
Алгебра, 7-9 класс Сборник задач, авторы: Арефьева Ирина Глебовна, Пирютко Ольга Николаевна, издательство Народная асвета, Минск, 2020, страница 8, номер 1.15, Условие

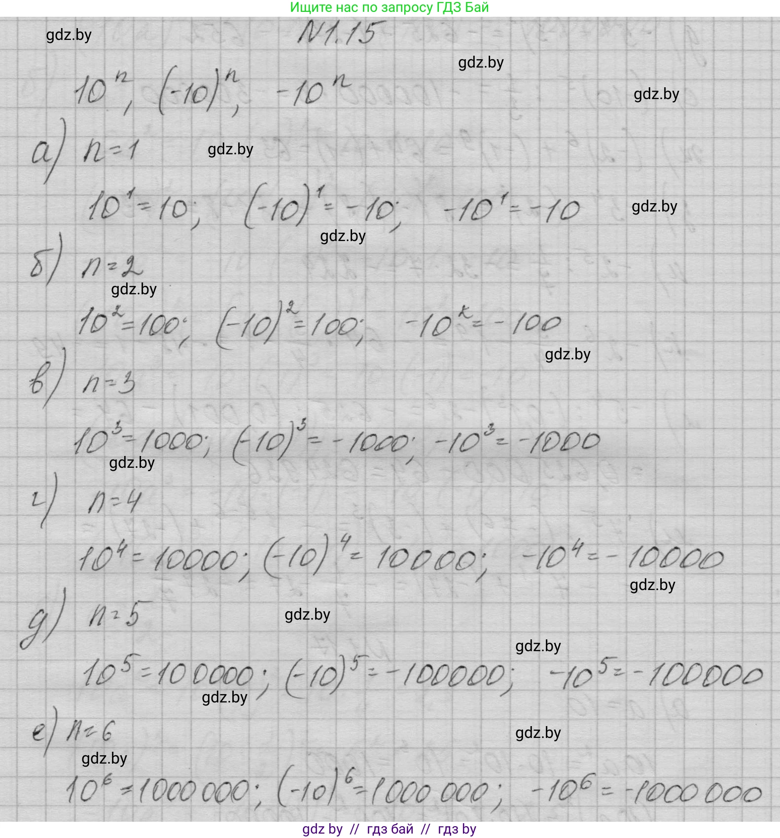
1.15. Найдите значения выражений $10^n$; $(-10)^n$ и $-10^n$, если:

а) $n=1$;

б) $n=2$;

в) $n=3$;

г) $n=4$;

д) $n=5$;

е) $n=6$.

Решение. №1.15 (с. 8)
Алгебра, 7-9 класс Сборник задач, авторы: Арефьева Ирина Глебовна, Пирютко Ольга Николаевна, издательство Народная асвета, Минск, 2020, страница 8, номер 1.15, Решение
Решение 2. №1.15 (с. 8)

Для решения этой задачи необходимо подставить заданные значения $n$ в каждое из трех выражений: $10^n$, $(-10)^n$ и $-10^n$. Важно помнить о правилах возведения в степень отрицательных чисел и порядке выполнения операций.

  • Выражение $10^n$ означает возведение числа 10 в степень $n$. Результат всегда будет положительным.
  • Выражение $(-10)^n$ означает возведение отрицательного числа -10 в степень $n$. Если степень $n$ — четное число, результат будет положительным. Если $n$ — нечетное число, результат будет отрицательным.
  • Выражение $-10^n$ означает, что сначала число 10 возводится в степень $n$, а затем перед результатом ставится знак минус. Результат всегда будет отрицательным.

а) При $n = 1$:

$10^n = 10^1 = 10$
$(-10)^n = (-10)^1 = -10$
$-10^n = -10^1 = -10$
Ответ: $10; -10; -10$.

б) При $n = 2$:

$10^n = 10^2 = 100$
$(-10)^n = (-10)^2 = (-10) \cdot (-10) = 100$
$-10^n = -(10^2) = -100$
Ответ: $100; 100; -100$.

в) При $n = 3$:

$10^n = 10^3 = 1000$
$(-10)^n = (-10)^3 = (-10) \cdot (-10) \cdot (-10) = -1000$
$-10^n = -(10^3) = -1000$
Ответ: $1000; -1000; -1000$.

г) При $n = 4$:

$10^n = 10^4 = 10000$
$(-10)^n = (-10)^4 = 10000$
$-10^n = -(10^4) = -10000$
Ответ: $10000; 10000; -10000$.

д) При $n = 5$:

$10^n = 10^5 = 100000$
$(-10)^n = (-10)^5 = -100000$
$-10^n = -(10^5) = -100000$
Ответ: $100000; -100000; -100000$.

е) При $n = 6$:

$10^n = 10^6 = 1000000$
$(-10)^n = (-10)^6 = 1000000$
$-10^n = -(10^6) = -1000000$
Ответ: $1000000; 1000000; -1000000$.

Помогло решение? Оставьте отзыв в комментариях ниже.

Присоединяйтесь к Телеграм-группе @gdz_by_belarus

Присоединиться

Мы подготовили для вас ответ c подробным объяснением домашего задания по алгебре за 7-9 класс, для упражнения номер 1.15 расположенного на странице 8 к сборнику задач 2020 года издания для учащихся школ и гимназий.

Теперь на нашем сайте ГДЗ.ТОП вы всегда легко и бесплатно найдёте условие с правильным ответом на вопрос «Как решить ДЗ» и «Как сделать» задание по алгебре к упражнению №1.15 (с. 8), авторов: Арефьева (Ирина Глебовна), Пирютко (Ольга Николаевна), учебного пособия издательства Народная асвета.