Номер 1.22, страница 9 - гдз по алгебре 7-9 класс сборник задач Арефьева, Пирютко

Алгебра, 7-9 класс Сборник задач, авторы: Арефьева Ирина Глебовна, Пирютко Ольга Николаевна, издательство Народная асвета, Минск, 2020

Авторы: Арефьева И. Г., Пирютко О. Н.

Тип: Сборник задач

Издательство: Народная асвета

Год издания: 2020 - 2025

Цвет обложки: синий с графиками

Допущено Министерством образования Республики Беларусь

Популярные ГДЗ в 7 классе

7 класс. Параграф 1. Степень с натуральным показателем и ее свойства - номер 1.22, страница 9.

№1.22 (с. 9)
Условие. №1.22 (с. 9)
скриншот условия
Алгебра, 7-9 класс Сборник задач, авторы: Арефьева Ирина Глебовна, Пирютко Ольга Николаевна, издательство Народная асвета, Минск, 2020, страница 9, номер 1.22, Условие

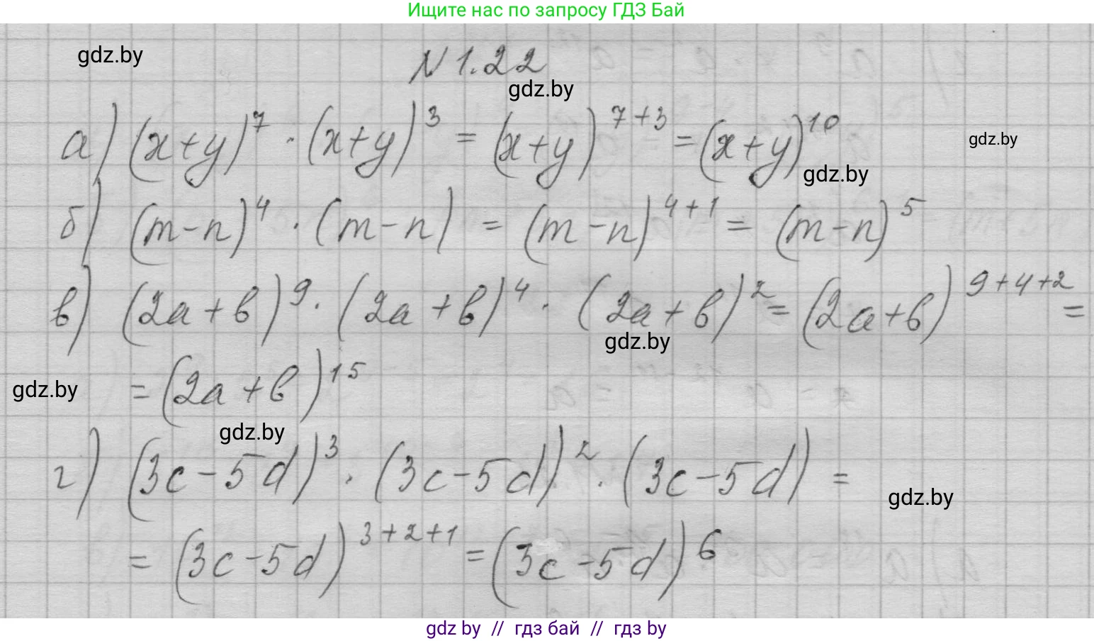
1.22. Представьте в виде степени произведение:

а) $(x+y)^7 \cdot (x+y)^3;$

б) $(m-n)^4 \cdot (m-n);$

в) $(2a+b)^9 \cdot (2a+b)^4 \cdot (2a+b)^2;$

г) $(3c-5d)^3 \cdot (3c-5d)^2 \cdot (3c-5d).$

Решение. №1.22 (с. 9)
Алгебра, 7-9 класс Сборник задач, авторы: Арефьева Ирина Глебовна, Пирютко Ольга Николаевна, издательство Народная асвета, Минск, 2020, страница 9, номер 1.22, Решение
Решение 2. №1.22 (с. 9)

Для решения данной задачи необходимо использовать свойство умножения степеней с одинаковым основанием: при умножении степеней с одинаковыми основаниями основание остается прежним, а показатели степеней складываются. Математически это записывается так: $a^m \cdot a^n = a^{m+n}$. Это правило распространяется и на произведение трех и более множителей.

а) В выражении $(x + y)^7 \cdot (x + y)^3$ основанием является $(x+y)$. Применяем правило умножения степеней:

$(x + y)^7 \cdot (x + y)^3 = (x + y)^{7+3} = (x + y)^{10}$

Ответ: $(x + y)^{10}$

б) В выражении $(m - n)^4 \cdot (m - n)$ основанием является $(m-n)$. Второй множитель $(m-n)$ можно представить в виде степени как $(m-n)^1$.

$(m - n)^4 \cdot (m - n) = (m - n)^4 \cdot (m - n)^1 = (m - n)^{4+1} = (m - n)^5$

Ответ: $(m - n)^5$

в) В выражении $(2a + b)^9 \cdot (2a + b)^4 \cdot (2a + b)^2$ основанием является $(2a+b)$. Складываем все показатели степеней.

$(2a + b)^9 \cdot (2a + b)^4 \cdot (2a + b)^2 = (2a + b)^{9+4+2} = (2a + b)^{15}$

Ответ: $(2a + b)^{15}$

г) В выражении $(3c - 5d)^3 \cdot (3c - 5d)^2 \cdot (3c - 5d)$ основанием является $(3c-5d)$. Последний множитель $(3c-5d)$ имеет показатель степени 1.

$(3c - 5d)^3 \cdot (3c - 5d)^2 \cdot (3c - 5d) = (3c - 5d)^3 \cdot (3c - 5d)^2 \cdot (3c - 5d)^1 = (3c - 5d)^{3+2+1} = (3c - 5d)^6$

Ответ: $(3c - 5d)^6$

Помогло решение? Оставьте отзыв в комментариях ниже.

Присоединяйтесь к Телеграм-группе @gdz_by_belarus

Присоединиться

Мы подготовили для вас ответ c подробным объяснением домашего задания по алгебре за 7-9 класс, для упражнения номер 1.22 расположенного на странице 9 к сборнику задач 2020 года издания для учащихся школ и гимназий.

Теперь на нашем сайте ГДЗ.ТОП вы всегда легко и бесплатно найдёте условие с правильным ответом на вопрос «Как решить ДЗ» и «Как сделать» задание по алгебре к упражнению №1.22 (с. 9), авторов: Арефьева (Ирина Глебовна), Пирютко (Ольга Николаевна), учебного пособия издательства Народная асвета.