Номер 1.24, страница 9 - гдз по алгебре 7-9 класс сборник задач Арефьева, Пирютко

Алгебра, 7-9 класс Сборник задач, авторы: Арефьева Ирина Глебовна, Пирютко Ольга Николаевна, издательство Народная асвета, Минск, 2020

Авторы: Арефьева И. Г., Пирютко О. Н.

Тип: Сборник задач

Издательство: Народная асвета

Год издания: 2020 - 2025

Цвет обложки: синий с графиками

Допущено Министерством образования Республики Беларусь

Популярные ГДЗ в 7 классе

7 класс. Параграф 1. Степень с натуральным показателем и ее свойства - номер 1.24, страница 9.

№1.24 (с. 9)
Условие. №1.24 (с. 9)
скриншот условия
Алгебра, 7-9 класс Сборник задач, авторы: Арефьева Ирина Глебовна, Пирютко Ольга Николаевна, издательство Народная асвета, Минск, 2020, страница 9, номер 1.24, Условие

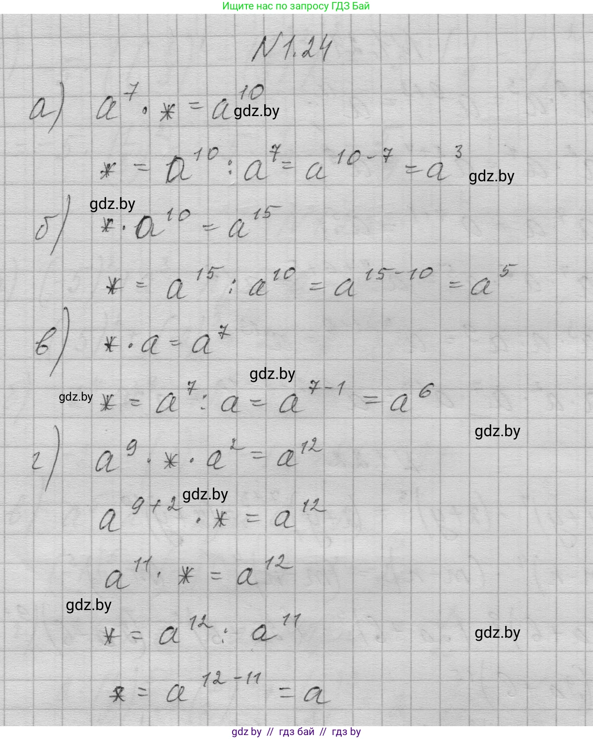
1.24. Замените * такой степенью с основанием $a$, чтобы верным было равенство:

а) $a^7 \cdot * = a^{10};$

б) $* \cdot a^{10} = a^{15};$

в) $* \cdot a = a^7;$

г) $a^9 \cdot * \cdot a^2 = a^{12}.$

Решение. №1.24 (с. 9)
Алгебра, 7-9 класс Сборник задач, авторы: Арефьева Ирина Глебовна, Пирютко Ольга Николаевна, издательство Народная асвета, Минск, 2020, страница 9, номер 1.24, Решение
Решение 2. №1.24 (с. 9)

Для решения этой задачи воспользуемся свойством умножения степеней с одинаковым основанием: $a^m \cdot a^n = a^{m+n}$. Согласно этому свойству, при умножении степеней с одинаковым основанием их показатели складываются.

а) Дано равенство: $a^7 \cdot * = a^{10}$.

Пусть неизвестный множитель равен $a^x$. Тогда уравнение принимает вид: $a^7 \cdot a^x = a^{10}$.

Применяя свойство умножения степеней, получаем: $a^{7+x} = a^{10}$.

Так как основания степеней равны, то и их показатели должны быть равны: $7 + x = 10$.

Отсюда находим $x$: $x = 10 - 7 = 3$.

Следовательно, вместо звёздочки (*) нужно подставить $a^3$.

Ответ: $a^3$.

б) Дано равенство: $* \cdot a^{10} = a^{15}$.

Пусть неизвестный множитель равен $a^x$. Тогда: $a^x \cdot a^{10} = a^{15}$.

По свойству умножения степеней: $a^{x+10} = a^{15}$.

Приравниваем показатели степеней: $x + 10 = 15$.

Находим $x$: $x = 15 - 10 = 5$.

Значит, звёздочку (*) нужно заменить на $a^5$.

Ответ: $a^5$.

в) Дано равенство: $* \cdot a = a^7$.

Вспомним, что $a$ можно записать как $a^1$. Тогда равенство выглядит так: $* \cdot a^1 = a^7$.

Пусть неизвестный множитель равен $a^x$. Получаем: $a^x \cdot a^1 = a^7$.

По свойству умножения степеней: $a^{x+1} = a^7$.

Приравниваем показатели: $x + 1 = 7$.

Находим $x$: $x = 7 - 1 = 6$.

Таким образом, вместо звёздочки (*) нужно подставить $a^6$.

Ответ: $a^6$.

г) Дано равенство: $a^9 \cdot * \cdot a^2 = a^{12}$.

Сначала перемножим известные степени в левой части: $a^9 \cdot a^2 = a^{9+2} = a^{11}$.

Теперь равенство имеет вид: $a^{11} \cdot * = a^{12}$.

Пусть неизвестный множитель равен $a^x$. Тогда: $a^{11} \cdot a^x = a^{12}$.

По свойству умножения степеней: $a^{11+x} = a^{12}$.

Приравниваем показатели: $11 + x = 12$.

Находим $x$: $x = 12 - 11 = 1$.

Следовательно, звёздочку (*) нужно заменить на $a^1$, то есть просто $a$.

Ответ: $a$.

Помогло решение? Оставьте отзыв в комментариях ниже.

Присоединяйтесь к Телеграм-группе @gdz_by_belarus

Присоединиться

Мы подготовили для вас ответ c подробным объяснением домашего задания по алгебре за 7-9 класс, для упражнения номер 1.24 расположенного на странице 9 к сборнику задач 2020 года издания для учащихся школ и гимназий.

Теперь на нашем сайте ГДЗ.ТОП вы всегда легко и бесплатно найдёте условие с правильным ответом на вопрос «Как решить ДЗ» и «Как сделать» задание по алгебре к упражнению №1.24 (с. 9), авторов: Арефьева (Ирина Глебовна), Пирютко (Ольга Николаевна), учебного пособия издательства Народная асвета.