Номер 23.44, страница 111 - гдз по алгебре 7-9 класс сборник задач Арефьева, Пирютко
Авторы: Арефьева И. Г., Пирютко О. Н.
Тип: Сборник задач
Издательство: Народная асвета
Год издания: 2020 - 2025
Цвет обложки: синий с графиками
Допущено Министерством образования Республики Беларусь
Популярные ГДЗ в 7 классе
8 класс. Параграф 23. Применение свойств квадратных корней - номер 23.44, страница 111.
№23.44 (с. 111)
Условие. №23.44 (с. 111)
скриншот условия
23.44*. Сравните значения выражений:
а) $\sqrt{18-8\sqrt{2}}-\sqrt{6-4\sqrt{2}}$ и $\sqrt{19-8\sqrt{3}}-\sqrt{7-4\sqrt{3}};$
б) $\sqrt{33-8\sqrt{2}}-\sqrt{9-4\sqrt{2}}$ и $\sqrt{49-8\sqrt{3}}-\sqrt{13-4\sqrt{3}}.$
Решение. №23.44 (с. 111)
Решение 2. №23.44 (с. 111)
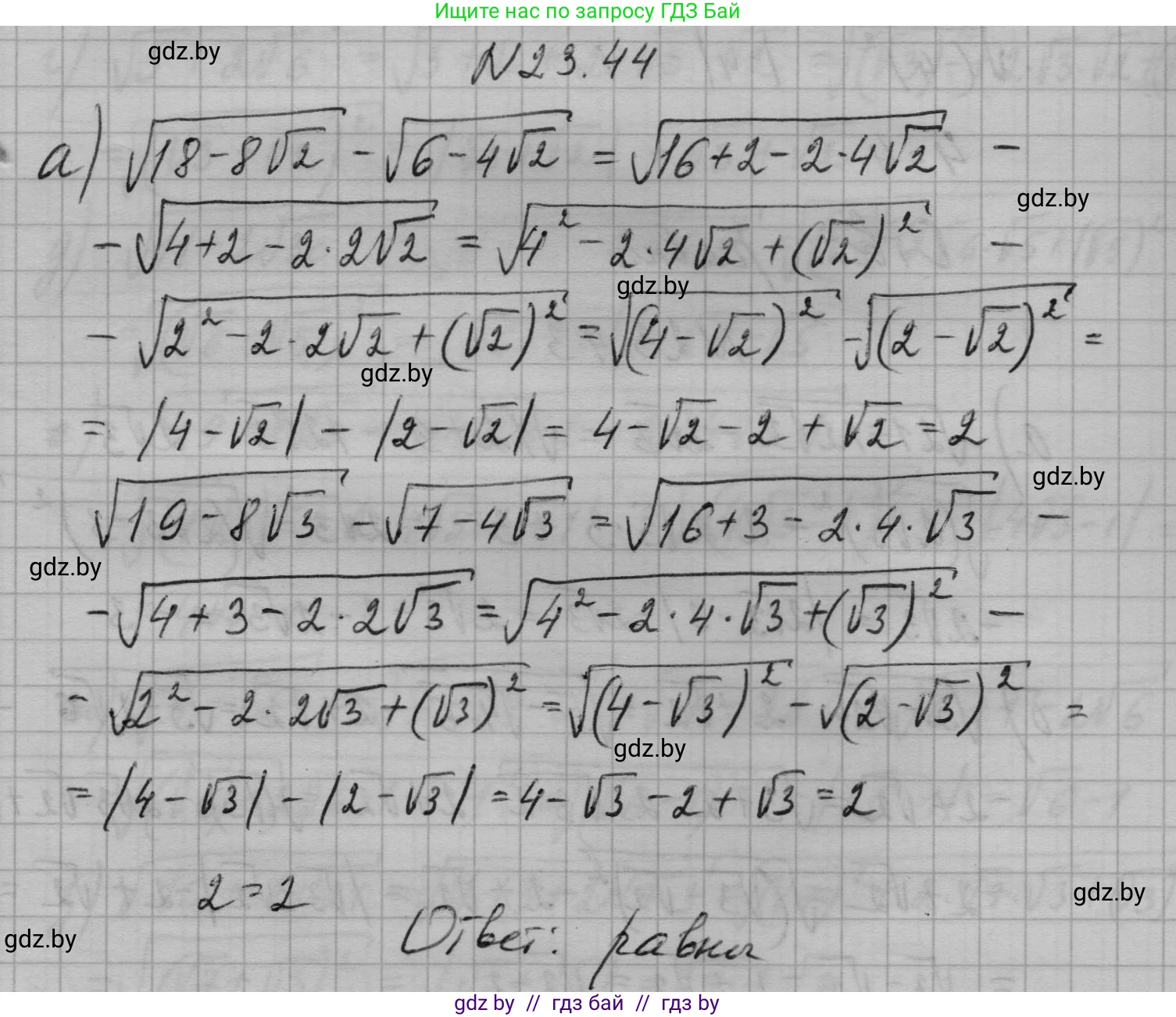
а) Сравним значения выражений $\sqrt{18 - 8\sqrt{2}} - \sqrt{6 - 4\sqrt{2}}$ и $\sqrt{19 - 8\sqrt{3}} - \sqrt{7 - 4\sqrt{3}}$.
Для упрощения выражений вида $\sqrt{A \pm B\sqrt{C}}$ будем использовать формулу квадрата разности $(a - b)^2 = a^2 - 2ab + b^2$, чтобы представить подкоренное выражение в виде полного квадрата.
1. Упростим первое выражение: $\sqrt{18 - 8\sqrt{2}} - \sqrt{6 - 4\sqrt{2}}$.
Для слагаемого $\sqrt{18 - 8\sqrt{2}}$ преобразуем подкоренное выражение:$18 - 8\sqrt{2} = 18 - 2 \cdot 4\sqrt{2} = 18 - 2\sqrt{16 \cdot 2} = 18 - 2\sqrt{32}$. Теперь ищем два числа, сумма которых равна 18, а произведение – 32. Это числа 16 и 2. Значит, $18 - 2\sqrt{32} = 16 - 2\sqrt{32} + 2 = (\sqrt{16} - \sqrt{2})^2 = (4 - \sqrt{2})^2$. Следовательно, $\sqrt{18 - 8\sqrt{2}} = \sqrt{(4 - \sqrt{2})^2} = |4 - \sqrt{2}| = 4 - \sqrt{2}$ (так как $4 > \sqrt{2}$).
Для слагаемого $\sqrt{6 - 4\sqrt{2}}$ преобразуем подкоренное выражение:$6 - 4\sqrt{2} = 6 - 2 \cdot 2\sqrt{2} = 6 - 2\sqrt{4 \cdot 2} = 6 - 2\sqrt{8}$. Ищем два числа, сумма которых равна 6, а произведение – 8. Это числа 4 и 2. Значит, $6 - 2\sqrt{8} = 4 - 2\sqrt{8} + 2 = (\sqrt{4} - \sqrt{2})^2 = (2 - \sqrt{2})^2$. Следовательно, $\sqrt{6 - 4\sqrt{2}} = \sqrt{(2 - \sqrt{2})^2} = |2 - \sqrt{2}| = 2 - \sqrt{2}$ (так как $2 > \sqrt{2}$).
Вычислим значение всего выражения:$(4 - \sqrt{2}) - (2 - \sqrt{2}) = 4 - \sqrt{2} - 2 + \sqrt{2} = 2$.
2. Упростим второе выражение: $\sqrt{19 - 8\sqrt{3}} - \sqrt{7 - 4\sqrt{3}}$.
Для $\sqrt{19 - 8\sqrt{3}}$:$19 - 8\sqrt{3} = 19 - 2 \cdot 4\sqrt{3} = 19 - 2\sqrt{16 \cdot 3} = 19 - 2\sqrt{48}$. Сумма чисел 19, произведение 48. Это 16 и 3.$19 - 2\sqrt{48} = 16 - 2\sqrt{48} + 3 = (\sqrt{16} - \sqrt{3})^2 = (4 - \sqrt{3})^2$.$\sqrt{19 - 8\sqrt{3}} = \sqrt{(4 - \sqrt{3})^2} = |4 - \sqrt{3}| = 4 - \sqrt{3}$ (так как $4 > \sqrt{3}$).
Для $\sqrt{7 - 4\sqrt{3}}$:$7 - 4\sqrt{3} = 7 - 2 \cdot 2\sqrt{3} = 7 - 2\sqrt{4 \cdot 3} = 7 - 2\sqrt{12}$. Сумма чисел 7, произведение 12. Это 4 и 3.$7 - 2\sqrt{12} = 4 - 2\sqrt{12} + 3 = (\sqrt{4} - \sqrt{3})^2 = (2 - \sqrt{3})^2$.$\sqrt{7 - 4\sqrt{3}} = \sqrt{(2 - \sqrt{3})^2} = |2 - \sqrt{3}| = 2 - \sqrt{3}$ (так как $2 > \sqrt{3}$).
Вычислим значение всего выражения:$(4 - \sqrt{3}) - (2 - \sqrt{3}) = 4 - \sqrt{3} - 2 + \sqrt{3} = 2$.
3. Сравнение.
Значение первого выражения равно 2. Значение второго выражения также равно 2. Следовательно, выражения равны.
Ответ: $\sqrt{18 - 8\sqrt{2}} - \sqrt{6 - 4\sqrt{2}} = \sqrt{19 - 8\sqrt{3}} - \sqrt{7 - 4\sqrt{3}}$.
б) Сравним значения выражений $\sqrt{33 - 8\sqrt{2}} - \sqrt{9 - 4\sqrt{2}}$ и $\sqrt{49 - 8\sqrt{3}} - \sqrt{13 - 4\sqrt{3}}$.
1. Упростим первое выражение: $\sqrt{33 - 8\sqrt{2}} - \sqrt{9 - 4\sqrt{2}}$.
Для $\sqrt{33 - 8\sqrt{2}}$:$33 - 8\sqrt{2} = 33 - 2\sqrt{32}$. Сумма чисел 33, произведение 32. Это 32 и 1.$33 - 2\sqrt{32} = 32 - 2\sqrt{32} + 1 = (\sqrt{32} - 1)^2 = (4\sqrt{2} - 1)^2$.$\sqrt{33 - 8\sqrt{2}} = |4\sqrt{2} - 1| = 4\sqrt{2} - 1$ (так как $4\sqrt{2} = \sqrt{32} > 1$).
Для $\sqrt{9 - 4\sqrt{2}}$:$9 - 4\sqrt{2} = 9 - 2\sqrt{8}$. Сумма чисел 9, произведение 8. Это 8 и 1.$9 - 2\sqrt{8} = 8 - 2\sqrt{8} + 1 = (\sqrt{8} - 1)^2 = (2\sqrt{2} - 1)^2$.$\sqrt{9 - 4\sqrt{2}} = |2\sqrt{2} - 1| = 2\sqrt{2} - 1$ (так как $2\sqrt{2} = \sqrt{8} > 1$).
Вычислим значение разности:$(4\sqrt{2} - 1) - (2\sqrt{2} - 1) = 4\sqrt{2} - 1 - 2\sqrt{2} + 1 = 2\sqrt{2}$.
2. Упростим второе выражение: $\sqrt{49 - 8\sqrt{3}} - \sqrt{13 - 4\sqrt{3}}$.
Для $\sqrt{49 - 8\sqrt{3}}$:$49 - 8\sqrt{3} = 49 - 2\sqrt{48}$. Сумма 49, произведение 48. Это 48 и 1.$49 - 2\sqrt{48} = 48 - 2\sqrt{48} + 1 = (\sqrt{48} - 1)^2 = (4\sqrt{3} - 1)^2$.$\sqrt{49 - 8\sqrt{3}} = |4\sqrt{3} - 1| = 4\sqrt{3} - 1$ (так как $4\sqrt{3} = \sqrt{48} > 1$).
Для $\sqrt{13 - 4\sqrt{3}}$:$13 - 4\sqrt{3} = 13 - 2\sqrt{12}$. Сумма 13, произведение 12. Это 12 и 1.$13 - 2\sqrt{12} = 12 - 2\sqrt{12} + 1 = (\sqrt{12} - 1)^2 = (2\sqrt{3} - 1)^2$.$\sqrt{13 - 4\sqrt{3}} = |2\sqrt{3} - 1| = 2\sqrt{3} - 1$ (так как $2\sqrt{3} = \sqrt{12} > 1$).
Вычислим значение разности:$(4\sqrt{3} - 1) - (2\sqrt{3} - 1) = 4\sqrt{3} - 1 - 2\sqrt{3} + 1 = 2\sqrt{3}$.
3. Сравнение.
Сравним полученные результаты: $2\sqrt{2}$ и $2\sqrt{3}$. Так как $2 < 3$, то $\sqrt{2} < \sqrt{3}$. Умножая обе части на 2, получаем $2\sqrt{2} < 2\sqrt{3}$. Следовательно, значение первого выражения меньше значения второго.
Ответ: $\sqrt{33 - 8\sqrt{2}} - \sqrt{9 - 4\sqrt{2}} < \sqrt{49 - 8\sqrt{3}} - \sqrt{13 - 4\sqrt{3}}$.
Другие задания:
Помогло решение? Оставьте отзыв в комментариях ниже.
Присоединяйтесь к Телеграм-группе @gdz_by_belarus
ПрисоединитьсяМы подготовили для вас ответ c подробным объяснением домашего задания по алгебре за 7-9 класс, для упражнения номер 23.44 расположенного на странице 111 к сборнику задач 2020 года издания для учащихся школ и гимназий.
Теперь на нашем сайте ГДЗ.ТОП вы всегда легко и бесплатно найдёте условие с правильным ответом на вопрос «Как решить ДЗ» и «Как сделать» задание по алгебре к упражнению №23.44 (с. 111), авторов: Арефьева (Ирина Глебовна), Пирютко (Ольга Николаевна), учебного пособия издательства Народная асвета.