Номер 23.46, страница 111 - гдз по алгебре 7-9 класс сборник задач Арефьева, Пирютко

Алгебра, 7-9 класс Сборник задач, авторы: Арефьева Ирина Глебовна, Пирютко Ольга Николаевна, издательство Народная асвета, Минск, 2020

Авторы: Арефьева И. Г., Пирютко О. Н.

Тип: Сборник задач

Издательство: Народная асвета

Год издания: 2020 - 2025

Цвет обложки: синий с графиками

Допущено Министерством образования Республики Беларусь

Популярные ГДЗ в 7 классе

8 класс. Параграф 23. Применение свойств квадратных корней - номер 23.46, страница 111.

№23.46 (с. 111)
Условие. №23.46 (с. 111)
скриншот условия
Алгебра, 7-9 класс Сборник задач, авторы: Арефьева Ирина Глебовна, Пирютко Ольга Николаевна, издательство Народная асвета, Минск, 2020, страница 111, номер 23.46, Условие

23.46*. Найдите значение выражения $(2\sqrt{3} - \sqrt{21})\sqrt{\frac{\sqrt{21} + 2\sqrt{3}}{\sqrt{21} - 2\sqrt{3}}}$.

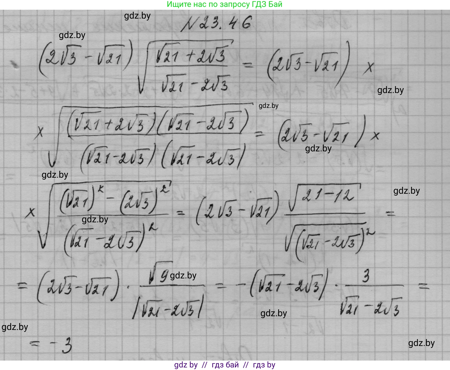
Решение. №23.46 (с. 111)
Алгебра, 7-9 класс Сборник задач, авторы: Арефьева Ирина Глебовна, Пирютко Ольга Николаевна, издательство Народная асвета, Минск, 2020, страница 111, номер 23.46, Решение
Решение 2. №23.46 (с. 111)

Для того чтобы найти значение данного выражения, выполним преобразования по шагам.

1. Упростим выражение под знаком корня $\sqrt{\frac{\sqrt{21} + 2\sqrt{3}}{\sqrt{21} - 2\sqrt{3}}}$. Для этого избавимся от иррациональности в знаменателе дроби, умножив числитель и знаменатель на сопряженное выражение к знаменателю, то есть на $(\sqrt{21} + 2\sqrt{3})$:

$\frac{\sqrt{21} + 2\sqrt{3}}{\sqrt{21} - 2\sqrt{3}} = \frac{(\sqrt{21} + 2\sqrt{3})(\sqrt{21} + 2\sqrt{3})}{(\sqrt{21} - 2\sqrt{3})(\sqrt{21} + 2\sqrt{3})} = \frac{(\sqrt{21} + 2\sqrt{3})^2}{(\sqrt{21})^2 - (2\sqrt{3})^2}$

2. Вычислим значение знаменателя, используя формулу разности квадратов $(a-b)(a+b) = a^2 - b^2$:

$(\sqrt{21})^2 - (2\sqrt{3})^2 = 21 - 4 \cdot 3 = 21 - 12 = 9$.

3. Таким образом, дробь под корнем равна $\frac{(\sqrt{21} + 2\sqrt{3})^2}{9}$. Подставим это обратно в выражение:

$(2\sqrt{3} - \sqrt{21}) \sqrt{\frac{(\sqrt{21} + 2\sqrt{3})^2}{9}}$

4. Теперь извлечем квадратный корень:

$\sqrt{\frac{(\sqrt{21} + 2\sqrt{3})^2}{9}} = \frac{\sqrt{(\sqrt{21} + 2\sqrt{3})^2}}{\sqrt{9}} = \frac{|\sqrt{21} + 2\sqrt{3}|}{3}$

Так как $\sqrt{21}$ и $2\sqrt{3}$ — положительные числа, их сумма также положительна, поэтому модуль можно убрать: $\frac{\sqrt{21} + 2\sqrt{3}}{3}$.

5. Теперь все выражение принимает вид:

$(2\sqrt{3} - \sqrt{21}) \cdot \frac{\sqrt{21} + 2\sqrt{3}}{3}$

6. Переставим слагаемые во втором множителе и применим формулу разности квадратов к числителю:

$\frac{(2\sqrt{3} - \sqrt{21})(2\sqrt{3} + \sqrt{21})}{3} = \frac{(2\sqrt{3})^2 - (\sqrt{21})^2}{3} = \frac{12 - 21}{3} = \frac{-9}{3} = -3$.

Ответ: -3

Помогло решение? Оставьте отзыв в комментариях ниже.

Присоединяйтесь к Телеграм-группе @gdz_by_belarus

Присоединиться

Мы подготовили для вас ответ c подробным объяснением домашего задания по алгебре за 7-9 класс, для упражнения номер 23.46 расположенного на странице 111 к сборнику задач 2020 года издания для учащихся школ и гимназий.

Теперь на нашем сайте ГДЗ.ТОП вы всегда легко и бесплатно найдёте условие с правильным ответом на вопрос «Как решить ДЗ» и «Как сделать» задание по алгебре к упражнению №23.46 (с. 111), авторов: Арефьева (Ирина Глебовна), Пирютко (Ольга Николаевна), учебного пособия издательства Народная асвета.