Номер 23.49, страница 111 - гдз по алгебре 7-9 класс сборник задач Арефьева, Пирютко

Алгебра, 7-9 класс Сборник задач, авторы: Арефьева Ирина Глебовна, Пирютко Ольга Николаевна, издательство Народная асвета, Минск, 2020

Авторы: Арефьева И. Г., Пирютко О. Н.

Тип: Сборник задач

Издательство: Народная асвета

Год издания: 2020 - 2025

Цвет обложки: синий с графиками

Допущено Министерством образования Республики Беларусь

Популярные ГДЗ в 7 классе

8 класс. Параграф 23. Применение свойств квадратных корней - номер 23.49, страница 111.

№23.49 (с. 111)
Условие. №23.49 (с. 111)
скриншот условия
Алгебра, 7-9 класс Сборник задач, авторы: Арефьева Ирина Глебовна, Пирютко Ольга Николаевна, издательство Народная асвета, Минск, 2020, страница 111, номер 23.49, Условие

23.49*. Сократите дробь:

а) $\frac{\sqrt{6} - \sqrt{15} - 2\sqrt{3}}{2 - \sqrt{10} - 2\sqrt{2}}$;

б) $\frac{2 - \sqrt{6} - \sqrt{10}}{\sqrt{10} - \sqrt{15} - 5}$;

в) $\frac{\sqrt{28} - 2\sqrt{18} - 2\sqrt{12}}{6\sqrt{32} + 4\sqrt{48} - 8\sqrt{7}}$;

г) $\frac{3\sqrt{8} - 2\sqrt{12} + \sqrt{20}}{2\sqrt{27} - 3\sqrt{18} - \sqrt{45}}$.

Решение. №23.49 (с. 111)
Алгебра, 7-9 класс Сборник задач, авторы: Арефьева Ирина Глебовна, Пирютко Ольга Николаевна, издательство Народная асвета, Минск, 2020, страница 111, номер 23.49, Решение Алгебра, 7-9 класс Сборник задач, авторы: Арефьева Ирина Глебовна, Пирютко Ольга Николаевна, издательство Народная асвета, Минск, 2020, страница 111, номер 23.49, Решение (продолжение 2)
Решение 2. №23.49 (с. 111)

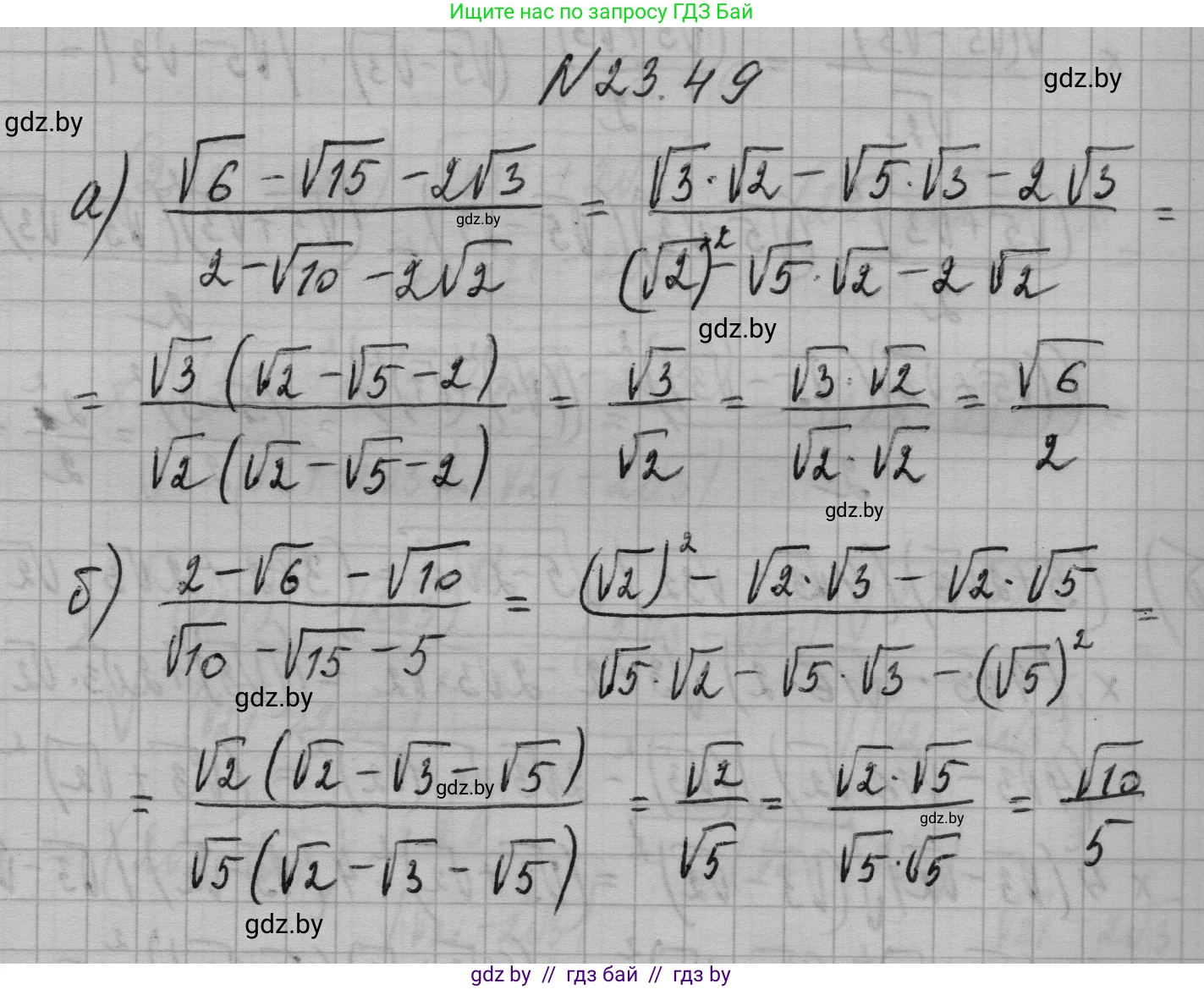
а) Преобразуем числитель и знаменатель дроби, вынося общие множители за скобки.
В числителе:
$\sqrt{6}-\sqrt{15}-2\sqrt{3} = \sqrt{2 \cdot 3} - \sqrt{5 \cdot 3} - 2\sqrt{3} = \sqrt{2}\sqrt{3} - \sqrt{5}\sqrt{3} - 2\sqrt{3} = \sqrt{3}(\sqrt{2} - \sqrt{5} - 2)$.
В знаменателе:
$2-\sqrt{10}-2\sqrt{2} = (\sqrt{2})^2 - \sqrt{5 \cdot 2} - 2\sqrt{2} = \sqrt{2}\sqrt{2} - \sqrt{5}\sqrt{2} - 2\sqrt{2} = \sqrt{2}(\sqrt{2} - \sqrt{5} - 2)$.
Теперь подставим преобразованные выражения обратно в дробь:
$\frac{\sqrt{3}(\sqrt{2} - \sqrt{5} - 2)}{\sqrt{2}(\sqrt{2} - \sqrt{5} - 2)}$
Сократим общий множитель $(\sqrt{2} - \sqrt{5} - 2)$:
$\frac{\sqrt{3}}{\sqrt{2}}$
Избавимся от иррациональности в знаменателе, домножив числитель и знаменатель на $\sqrt{2}$:
$\frac{\sqrt{3} \cdot \sqrt{2}}{\sqrt{2} \cdot \sqrt{2}} = \frac{\sqrt{6}}{2}$.
Ответ: $\frac{\sqrt{6}}{2}$.

б) Преобразуем числитель и знаменатель дроби, вынося общие множители за скобки.
В числителе:
$2-\sqrt{6}-\sqrt{10} = (\sqrt{2})^2 - \sqrt{2 \cdot 3} - \sqrt{2 \cdot 5} = \sqrt{2}(\sqrt{2} - \sqrt{3} - \sqrt{5})$.
В знаменателе:
$\sqrt{10}-\sqrt{15}-5 = \sqrt{5 \cdot 2} - \sqrt{5 \cdot 3} - (\sqrt{5})^2 = \sqrt{5}(\sqrt{2} - \sqrt{3} - \sqrt{5})$.
Подставим преобразованные выражения в дробь:
$\frac{\sqrt{2}(\sqrt{2} - \sqrt{3} - \sqrt{5})}{\sqrt{5}(\sqrt{2} - \sqrt{3} - \sqrt{5})}$
Сократим общий множитель $(\sqrt{2} - \sqrt{3} - \sqrt{5})$:
$\frac{\sqrt{2}}{\sqrt{5}}$
Избавимся от иррациональности в знаменателе, домножив числитель и знаменатель на $\sqrt{5}$:
$\frac{\sqrt{2} \cdot \sqrt{5}}{\sqrt{5} \cdot \sqrt{5}} = \frac{\sqrt{10}}{5}$.
Ответ: $\frac{\sqrt{10}}{5}$.

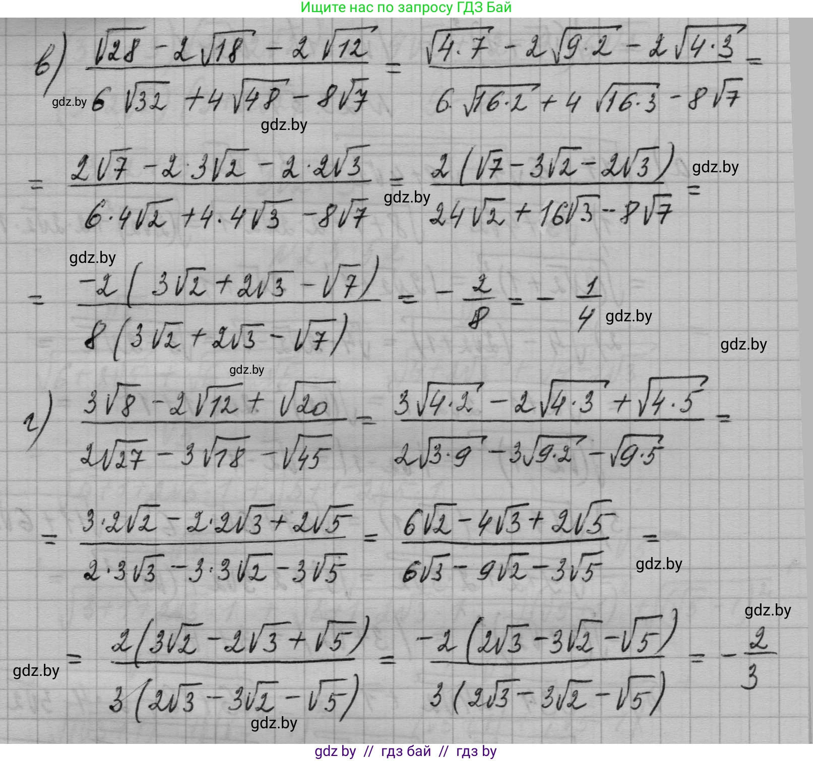
в) Сначала упростим выражения под корнем, вынося множители.
Числитель:
$\sqrt{28}-2\sqrt{18}-2\sqrt{12} = \sqrt{4 \cdot 7} - 2\sqrt{9 \cdot 2} - 2\sqrt{4 \cdot 3} = 2\sqrt{7} - 2 \cdot 3\sqrt{2} - 2 \cdot 2\sqrt{3} = 2\sqrt{7} - 6\sqrt{2} - 4\sqrt{3}$.
Знаменатель:
$6\sqrt{32}+4\sqrt{48}-8\sqrt{7} = 6\sqrt{16 \cdot 2} + 4\sqrt{16 \cdot 3} - 8\sqrt{7} = 6 \cdot 4\sqrt{2} + 4 \cdot 4\sqrt{3} - 8\sqrt{7} = 24\sqrt{2} + 16\sqrt{3} - 8\sqrt{7}$.
Теперь вынесем общие числовые множители.
Числитель: $2\sqrt{7} - 6\sqrt{2} - 4\sqrt{3} = 2(\sqrt{7} - 3\sqrt{2} - 2\sqrt{3})$.
Знаменатель: $24\sqrt{2} + 16\sqrt{3} - 8\sqrt{7} = 8(3\sqrt{2} + 2\sqrt{3} - \sqrt{7})$.
Запишем дробь: $\frac{2(\sqrt{7} - 3\sqrt{2} - 2\sqrt{3})}{8(3\sqrt{2} + 2\sqrt{3} - \sqrt{7})}$.
Заметим, что выражение в скобках в знаменателе противоположно выражению в скобках числителя:
$3\sqrt{2} + 2\sqrt{3} - \sqrt{7} = -(-3\sqrt{2} - 2\sqrt{3} + \sqrt{7}) = -(\sqrt{7} - 3\sqrt{2} - 2\sqrt{3})$.
Подставим это в дробь и сократим:
$\frac{2(\sqrt{7} - 3\sqrt{2} - 2\sqrt{3})}{8 \cdot [-(\sqrt{7} - 3\sqrt{2} - 2\sqrt{3})]} = \frac{2}{-8} = -\frac{1}{4}$.
Ответ: $-\frac{1}{4}$.

г) Сначала упростим выражения под корнем, вынося множители.
Числитель:
$3\sqrt{8}-2\sqrt{12}+\sqrt{20} = 3\sqrt{4 \cdot 2} - 2\sqrt{4 \cdot 3} + \sqrt{4 \cdot 5} = 3 \cdot 2\sqrt{2} - 2 \cdot 2\sqrt{3} + 2\sqrt{5} = 6\sqrt{2} - 4\sqrt{3} + 2\sqrt{5}$.
Знаменатель:
$2\sqrt{27}-3\sqrt{18}-\sqrt{45} = 2\sqrt{9 \cdot 3} - 3\sqrt{9 \cdot 2} - \sqrt{9 \cdot 5} = 2 \cdot 3\sqrt{3} - 3 \cdot 3\sqrt{2} - 3\sqrt{5} = 6\sqrt{3} - 9\sqrt{2} - 3\sqrt{5}$.
Теперь вынесем общие числовые множители.
Числитель: $6\sqrt{2} - 4\sqrt{3} + 2\sqrt{5} = 2(3\sqrt{2} - 2\sqrt{3} + \sqrt{5})$.
Знаменатель: $6\sqrt{3} - 9\sqrt{2} - 3\sqrt{5} = -3(-2\sqrt{3} + 3\sqrt{2} + \sqrt{5}) = -3(3\sqrt{2} - 2\sqrt{3} + \sqrt{5})$.
Подставим преобразованные выражения в дробь:
$\frac{2(3\sqrt{2} - 2\sqrt{3} + \sqrt{5})}{-3(3\sqrt{2} - 2\sqrt{3} + \sqrt{5})}$
Сократим общий множитель $(3\sqrt{2} - 2\sqrt{3} + \sqrt{5})$:
$\frac{2}{-3} = -\frac{2}{3}$.
Ответ: $-\frac{2}{3}$.

Помогло решение? Оставьте отзыв в комментариях ниже.

Присоединяйтесь к Телеграм-группе @gdz_by_belarus

Присоединиться

Мы подготовили для вас ответ c подробным объяснением домашего задания по алгебре за 7-9 класс, для упражнения номер 23.49 расположенного на странице 111 к сборнику задач 2020 года издания для учащихся школ и гимназий.

Теперь на нашем сайте ГДЗ.ТОП вы всегда легко и бесплатно найдёте условие с правильным ответом на вопрос «Как решить ДЗ» и «Как сделать» задание по алгебре к упражнению №23.49 (с. 111), авторов: Арефьева (Ирина Глебовна), Пирютко (Ольга Николаевна), учебного пособия издательства Народная асвета.