Номер 23.53, страница 112 - гдз по алгебре 7-9 класс сборник задач Арефьева, Пирютко

Алгебра, 7-9 класс Сборник задач, авторы: Арефьева Ирина Глебовна, Пирютко Ольга Николаевна, издательство Народная асвета, Минск, 2020

Авторы: Арефьева И. Г., Пирютко О. Н.

Тип: Сборник задач

Издательство: Народная асвета

Год издания: 2020 - 2025

Цвет обложки: синий с графиками

Допущено Министерством образования Республики Беларусь

Популярные ГДЗ в 7 классе

8 класс. Параграф 23. Применение свойств квадратных корней - номер 23.53, страница 112.

№23.53 (с. 112)
Условие. №23.53 (с. 112)
скриншот условия
Алгебра, 7-9 класс Сборник задач, авторы: Арефьева Ирина Глебовна, Пирютко Ольга Николаевна, издательство Народная асвета, Минск, 2020, страница 112, номер 23.53, Условие

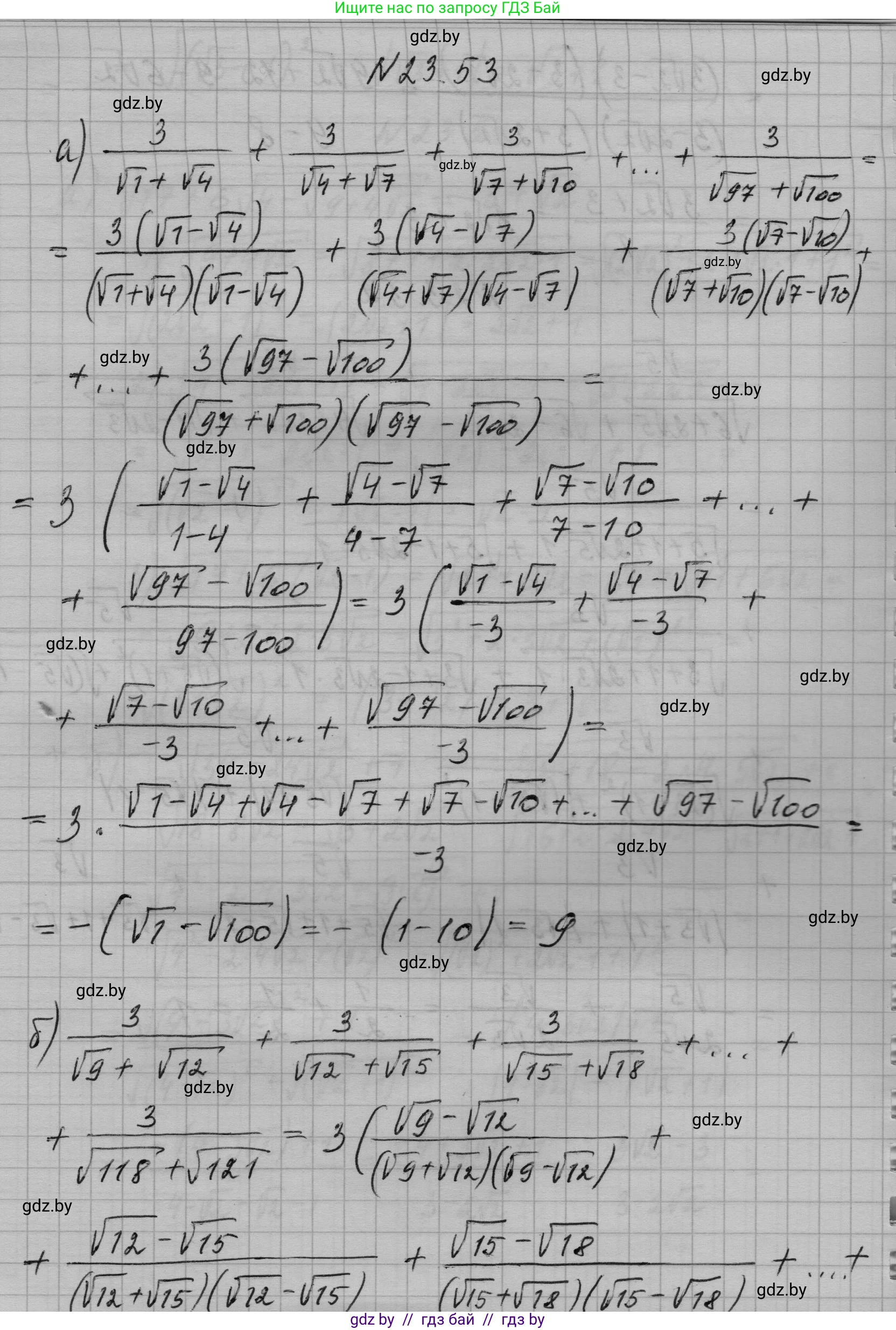
23.53*. Вычислите:

a) $\frac{3}{\sqrt{1}+\sqrt{4}} + \frac{3}{\sqrt{4}+\sqrt{7}} + \frac{3}{\sqrt{7}+\sqrt{10}} + \dots + \frac{3}{\sqrt{97}+\sqrt{100}}$

б) $\frac{3}{\sqrt{9}+\sqrt{12}} + \frac{3}{\sqrt{12}+\sqrt{15}} + \frac{3}{\sqrt{15}+\sqrt{18}} + \dots + \frac{3}{\sqrt{118}+\sqrt{121}}$

Решение. №23.53 (с. 112)
Алгебра, 7-9 класс Сборник задач, авторы: Арефьева Ирина Глебовна, Пирютко Ольга Николаевна, издательство Народная асвета, Минск, 2020, страница 112, номер 23.53, Решение Алгебра, 7-9 класс Сборник задач, авторы: Арефьева Ирина Глебовна, Пирютко Ольга Николаевна, издательство Народная асвета, Минск, 2020, страница 112, номер 23.53, Решение (продолжение 2)
Решение 2. №23.53 (с. 112)

a)

Для решения данной задачи мы преобразуем каждое слагаемое в сумме. Рассмотрим общий вид слагаемого: $ \frac{3}{\sqrt{k} + \sqrt{k+3}} $. Чтобы упростить его, избавимся от иррациональности в знаменателе. Для этого умножим числитель и знаменатель дроби на выражение, сопряженное знаменателю, то есть на $ \sqrt{k+3} - \sqrt{k} $.

$ \frac{3}{\sqrt{k} + \sqrt{k+3}} = \frac{3(\sqrt{k+3} - \sqrt{k})}{(\sqrt{k+3} + \sqrt{k})(\sqrt{k+3} - \sqrt{k})} $

В знаменателе используем формулу разности квадратов $ (x+y)(x-y) = x^2 - y^2 $:

$ \frac{3(\sqrt{k+3} - \sqrt{k})}{(\sqrt{k+3})^2 - (\sqrt{k})^2} = \frac{3(\sqrt{k+3} - \sqrt{k})}{(k+3) - k} = \frac{3(\sqrt{k+3} - \sqrt{k})}{3} = \sqrt{k+3} - \sqrt{k} $.

В исходной сумме все слагаемые имеют такой вид, так как разность чисел под корнем в знаменателе всегда равна 3 ($4-1=3$, $7-4=3$, ..., $100-97=3$). Применим полученную формулу к каждому слагаемому:

$ \frac{3}{\sqrt{1} + \sqrt{4}} = \sqrt{4} - \sqrt{1} $

$ \frac{3}{\sqrt{4} + \sqrt{7}} = \sqrt{7} - \sqrt{4} $

$ \frac{3}{\sqrt{7} + \sqrt{10}} = \sqrt{10} - \sqrt{7} $

...

$ \frac{3}{\sqrt{97} + \sqrt{100}} = \sqrt{100} - \sqrt{97} $

Теперь сложим все эти выражения. Получается так называемая телескопическая сумма, в которой все промежуточные члены взаимно уничтожаются:

$ S = (\sqrt{4} - \sqrt{1}) + (\sqrt{7} - \sqrt{4}) + (\sqrt{10} - \sqrt{7}) + \dots + (\sqrt{100} - \sqrt{97}) $

Сгруппировав слагаемые, мы видим, что почти все они сокращаются:

$ S = -\sqrt{1} + (\sqrt{4} - \sqrt{4}) + (\sqrt{7} - \sqrt{7}) + \dots + (\sqrt{97} - \sqrt{97}) + \sqrt{100} = -\sqrt{1} + \sqrt{100} $.

Остается вычислить результат:

$ S = -1 + 10 = 9 $.

Ответ: 9

б)

Данная задача решается аналогично предыдущей. Каждое слагаемое в сумме имеет вид $ \frac{3}{\sqrt{a} + \sqrt{b}} $, где разность чисел под корнями в знаменателе $ b - a $ также равна 3. Это справедливо для всех членов, от первого ($12-9=3$) до последнего ($121-118=3$).

Используя тот же метод избавления от иррациональности в знаменателе, что и в пункте а), мы можем упростить каждое слагаемое:

$ \frac{3}{\sqrt{a} + \sqrt{b}} = \frac{3(\sqrt{b} - \sqrt{a})}{b - a} = \frac{3(\sqrt{b} - \sqrt{a})}{3} = \sqrt{b} - \sqrt{a} $.

Применим это преобразование к членам нашей суммы:

$ \frac{3}{\sqrt{9} + \sqrt{12}} = \sqrt{12} - \sqrt{9} $

$ \frac{3}{\sqrt{12} + \sqrt{15}} = \sqrt{15} - \sqrt{12} $

$ \frac{3}{\sqrt{15} + \sqrt{18}} = \sqrt{18} - \sqrt{15} $

...

$ \frac{3}{\sqrt{118} + \sqrt{121}} = \sqrt{121} - \sqrt{118} $

Суммируем эти выражения. Вновь получаем телескопическую сумму, в которой соседние члены сокращаются:

$ S = (\sqrt{12} - \sqrt{9}) + (\sqrt{15} - \sqrt{12}) + (\sqrt{18} - \sqrt{15}) + \dots + (\sqrt{121} - \sqrt{118}) $

После взаимного уничтожения промежуточных слагаемых (например, $ \sqrt{12} $ и $ -\sqrt{12} $, $ \sqrt{15} $ и $ -\sqrt{15} $, и так далее) остаются только первое слагаемое первого члена ($-\sqrt{9}$) и второе слагаемое последнего члена ($\sqrt{121}$):

$ S = -\sqrt{9} + \sqrt{121} = -3 + 11 = 8 $.

Ответ: 8

Помогло решение? Оставьте отзыв в комментариях ниже.

Присоединяйтесь к Телеграм-группе @gdz_by_belarus

Присоединиться

Мы подготовили для вас ответ c подробным объяснением домашего задания по алгебре за 7-9 класс, для упражнения номер 23.53 расположенного на странице 112 к сборнику задач 2020 года издания для учащихся школ и гимназий.

Теперь на нашем сайте ГДЗ.ТОП вы всегда легко и бесплатно найдёте условие с правильным ответом на вопрос «Как решить ДЗ» и «Как сделать» задание по алгебре к упражнению №23.53 (с. 112), авторов: Арефьева (Ирина Глебовна), Пирютко (Ольга Николаевна), учебного пособия издательства Народная асвета.