Номер 23.47, страница 111 - гдз по алгебре 7-9 класс сборник задач Арефьева, Пирютко

Алгебра, 7-9 класс Сборник задач, авторы: Арефьева Ирина Глебовна, Пирютко Ольга Николаевна, издательство Народная асвета, Минск, 2020

Авторы: Арефьева И. Г., Пирютко О. Н.

Тип: Сборник задач

Издательство: Народная асвета

Год издания: 2020 - 2025

Цвет обложки: синий с графиками

Допущено Министерством образования Республики Беларусь

Популярные ГДЗ в 7 классе

8 класс. Параграф 23. Применение свойств квадратных корней - номер 23.47, страница 111.

№23.47 (с. 111)
Условие. №23.47 (с. 111)
скриншот условия
Алгебра, 7-9 класс Сборник задач, авторы: Арефьева Ирина Глебовна, Пирютко Ольга Николаевна, издательство Народная асвета, Минск, 2020, страница 111, номер 23.47, Условие

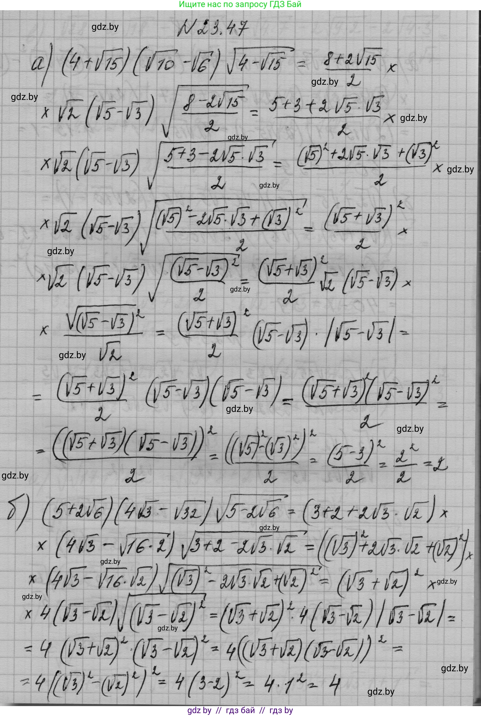
23.47*. Упростите выражение и найдите его значение:

a) $(4+\sqrt{15})(\sqrt{10}-\sqrt{6})\sqrt{4-\sqrt{15}};$

б) $(5+2\sqrt{6})(4\sqrt{3}-\sqrt{32})\sqrt{5-2\sqrt{6}}.$

Решение. №23.47 (с. 111)
Алгебра, 7-9 класс Сборник задач, авторы: Арефьева Ирина Глебовна, Пирютко Ольга Николаевна, издательство Народная асвета, Минск, 2020, страница 111, номер 23.47, Решение
Решение 2. №23.47 (с. 111)

а) $(4 + \sqrt{15})(\sqrt{10} - \sqrt{6})\sqrt{4 - \sqrt{15}}$

Для упрощения выражения сгруппируем первый и третий множители. Так как $4 + \sqrt{15} > 0$, мы можем внести множитель $(4 + \sqrt{15})$ под знак корня, предварительно возведя его в квадрат.

$(4 + \sqrt{15})\sqrt{4 - \sqrt{15}} = \sqrt{(4 + \sqrt{15})^2 (4 - \sqrt{15})} = \sqrt{(4 + \sqrt{15})(4 + \sqrt{15})(4 - \sqrt{15})}$

Применим формулу разности квадратов $(a+b)(a-b) = a^2 - b^2$ для двух последних сомножителей под корнем:

$\sqrt{(4 + \sqrt{15})(4^2 - (\sqrt{15})^2)} = \sqrt{(4 + \sqrt{15})(16 - 15)} = \sqrt{(4 + \sqrt{15}) \cdot 1} = \sqrt{4 + \sqrt{15}}$

Теперь исходное выражение имеет вид:

$(\sqrt{10} - \sqrt{6})\sqrt{4 + \sqrt{15}}$

Упростим первый множитель, вынеся общий множитель $\sqrt{2}$ за скобки:

$\sqrt{10} - \sqrt{6} = \sqrt{2 \cdot 5} - \sqrt{2 \cdot 3} = \sqrt{2}\sqrt{5} - \sqrt{2}\sqrt{3} = \sqrt{2}(\sqrt{5} - \sqrt{3})$

Упростим второй множитель $\sqrt{4 + \sqrt{15}}$, используя формулу сложного радикала $\sqrt{A \pm \sqrt{B}} = \sqrt{\frac{A + \sqrt{A^2 - B}}{2}} \pm \sqrt{\frac{A - \sqrt{A^2 - B}}{2}}$.

В нашем случае $A=4$ и $B=15$. Сначала найдем $\sqrt{A^2-B}$: $\sqrt{4^2 - 15} = \sqrt{16-15} = \sqrt{1} = 1$.

Теперь подставим значения в формулу:

$\sqrt{4 + \sqrt{15}} = \sqrt{\frac{4+1}{2}} + \sqrt{\frac{4-1}{2}} = \sqrt{\frac{5}{2}} + \sqrt{\frac{3}{2}} = \frac{\sqrt{5}}{\sqrt{2}} + \frac{\sqrt{3}}{\sqrt{2}} = \frac{\sqrt{5} + \sqrt{3}}{\sqrt{2}}$

Подставим упрощенные множители обратно в выражение:

$\sqrt{2}(\sqrt{5} - \sqrt{3}) \cdot \frac{\sqrt{5} + \sqrt{3}}{\sqrt{2}}$

Сократим $\sqrt{2}$ и применим формулу разности квадратов:

$(\sqrt{5} - \sqrt{3})(\sqrt{5} + \sqrt{3}) = (\sqrt{5})^2 - (\sqrt{3})^2 = 5 - 3 = 2$

Ответ: 2

б) $(5 + 2\sqrt{6})(4\sqrt{3} - \sqrt{32})\sqrt{5 - 2\sqrt{6}}$

Сгруппируем первый и третий множители. Так как $5 + 2\sqrt{6} > 0$, внесем его под знак корня:

$(5 + 2\sqrt{6})\sqrt{5 - 2\sqrt{6}} = \sqrt{(5 + 2\sqrt{6})^2 (5 - 2\sqrt{6})} = \sqrt{(5 + 2\sqrt{6})(5 + 2\sqrt{6})(5 - 2\sqrt{6})}$

Используя формулу разности квадратов $(a+b)(a-b) = a^2 - b^2$, получаем:

$\sqrt{(5 + 2\sqrt{6})(5^2 - (2\sqrt{6})^2)} = \sqrt{(5 + 2\sqrt{6})(25 - 4 \cdot 6)} = \sqrt{(5 + 2\sqrt{6})(25 - 24)} = \sqrt{5 + 2\sqrt{6}}$

Выражение принимает вид:

$\sqrt{5 + 2\sqrt{6}} \cdot (4\sqrt{3} - \sqrt{32})$

Упростим каждый из множителей.

Для первого множителя $\sqrt{5 + 2\sqrt{6}}$ заметим, что подкоренное выражение можно представить в виде полного квадрата суммы: $(a+b)^2 = a^2+2ab+b^2$.

$5 + 2\sqrt{6} = 3 + 2 + 2\sqrt{6} = (\sqrt{3})^2 + (\sqrt{2})^2 + 2\sqrt{3}\sqrt{2} = (\sqrt{3} + \sqrt{2})^2$

Следовательно, $\sqrt{5 + 2\sqrt{6}} = \sqrt{(\sqrt{3} + \sqrt{2})^2} = \sqrt{3} + \sqrt{2}$.

Упростим второй множитель:

$4\sqrt{3} - \sqrt{32} = 4\sqrt{3} - \sqrt{16 \cdot 2} = 4\sqrt{3} - 4\sqrt{2} = 4(\sqrt{3} - \sqrt{2})$

Теперь перемножим упрощенные части:

$(\sqrt{3} + \sqrt{2}) \cdot 4(\sqrt{3} - \sqrt{2}) = 4(\sqrt{3} + \sqrt{2})(\sqrt{3} - \sqrt{2})$

Вновь применяем формулу разности квадратов:

$4((\sqrt{3})^2 - (\sqrt{2})^2) = 4(3-2) = 4(1) = 4$

Ответ: 4

Помогло решение? Оставьте отзыв в комментариях ниже.

Присоединяйтесь к Телеграм-группе @gdz_by_belarus

Присоединиться

Мы подготовили для вас ответ c подробным объяснением домашего задания по алгебре за 7-9 класс, для упражнения номер 23.47 расположенного на странице 111 к сборнику задач 2020 года издания для учащихся школ и гимназий.

Теперь на нашем сайте ГДЗ.ТОП вы всегда легко и бесплатно найдёте условие с правильным ответом на вопрос «Как решить ДЗ» и «Как сделать» задание по алгебре к упражнению №23.47 (с. 111), авторов: Арефьева (Ирина Глебовна), Пирютко (Ольга Николаевна), учебного пособия издательства Народная асвета.