Номер 23.45, страница 111 - гдз по алгебре 7-9 класс сборник задач Арефьева, Пирютко
Авторы: Арефьева И. Г., Пирютко О. Н.
Тип: Сборник задач
Издательство: Народная асвета
Год издания: 2020 - 2025
Цвет обложки: синий с графиками
Допущено Министерством образования Республики Беларусь
Популярные ГДЗ в 7 классе
8 класс. Параграф 23. Применение свойств квадратных корней - номер 23.45, страница 111.
№23.45 (с. 111)
Условие. №23.45 (с. 111)
скриншот условия
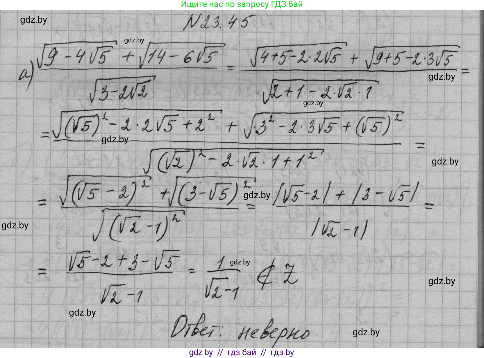
23.45*. Верно ли, что значение выражения является целым числом:
a) $\frac{\sqrt{9-4\sqrt{5}} + \sqrt{14-6\sqrt{5}}}{\sqrt{3-2\sqrt{2}}}$;
б) $\frac{\sqrt{19-8\sqrt{3}} - \sqrt{7-4\sqrt{3}}}{\sqrt{7+4\sqrt{3}}}$?
Решение. №23.45 (с. 111)
Решение 2. №23.45 (с. 111)
а) Чтобы выяснить, является ли значение выражения $ \frac{\sqrt{9-4\sqrt{5}} + \sqrt{14-6\sqrt{5}}}{\sqrt{3-2\sqrt{2}}} $ целым числом, необходимо его упростить. Для этого представим подкоренные выражения в виде полных квадратов, используя формулу $ (a \pm b)^2 = a^2 \pm 2ab + b^2 $.
Сначала упростим числитель $ \sqrt{9-4\sqrt{5}} + \sqrt{14-6\sqrt{5}} $.
$ \sqrt{9-4\sqrt{5}} = \sqrt{5 - 2 \cdot 2 \cdot \sqrt{5} + 4} = \sqrt{(\sqrt{5}-2)^2} = |\sqrt{5}-2| = \sqrt{5}-2 $.
$ \sqrt{14-6\sqrt{5}} = \sqrt{9 - 2 \cdot 3 \cdot \sqrt{5} + 5} = \sqrt{(3-\sqrt{5})^2} = |3-\sqrt{5}| = 3-\sqrt{5} $.
Тогда числитель равен $ (\sqrt{5}-2) + (3-\sqrt{5}) = 1 $.
Теперь упростим знаменатель $ \sqrt{3-2\sqrt{2}} $.
$ \sqrt{3-2\sqrt{2}} = \sqrt{2 - 2 \cdot \sqrt{2} \cdot 1 + 1} = \sqrt{(\sqrt{2}-1)^2} = |\sqrt{2}-1| = \sqrt{2}-1 $.
В результате получаем дробь $ \frac{1}{\sqrt{2}-1} $. Избавимся от иррациональности в знаменателе, умножив числитель и знаменатель на сопряженное выражение $ \sqrt{2}+1 $:
$ \frac{1 \cdot (\sqrt{2}+1)}{(\sqrt{2}-1)(\sqrt{2}+1)} = \frac{\sqrt{2}+1}{(\sqrt{2})^2-1^2} = \frac{\sqrt{2}+1}{2-1} = \sqrt{2}+1 $.
Значение выражения равно $ \sqrt{2}+1 $, что не является целым числом.
Ответ: нет, не верно.
б) Упростим выражение $ \frac{\sqrt{19-8\sqrt{3}} - \sqrt{7-4\sqrt{3}}}{\sqrt{7+4\sqrt{3}}} $ по тому же принципу.
Сначала упростим числитель $ \sqrt{19-8\sqrt{3}} - \sqrt{7-4\sqrt{3}} $.
$ \sqrt{19-8\sqrt{3}} = \sqrt{16 - 2 \cdot 4 \cdot \sqrt{3} + 3} = \sqrt{(4-\sqrt{3})^2} = |4-\sqrt{3}| = 4-\sqrt{3} $.
$ \sqrt{7-4\sqrt{3}} = \sqrt{4 - 2 \cdot 2 \cdot \sqrt{3} + 3} = \sqrt{(2-\sqrt{3})^2} = |2-\sqrt{3}| = 2-\sqrt{3} $.
Тогда числитель равен $ (4-\sqrt{3}) - (2-\sqrt{3}) = 4-\sqrt{3}-2+\sqrt{3} = 2 $.
Теперь упростим знаменатель $ \sqrt{7+4\sqrt{3}} $.
$ \sqrt{7+4\sqrt{3}} = \sqrt{4 + 2 \cdot 2 \cdot \sqrt{3} + 3} = \sqrt{(2+\sqrt{3})^2} = |2+\sqrt{3}| = 2+\sqrt{3} $.
В результате получаем дробь $ \frac{2}{2+\sqrt{3}} $. Избавимся от иррациональности в знаменателе:
$ \frac{2 \cdot (2-\sqrt{3})}{(2+\sqrt{3})(2-\sqrt{3})} = \frac{2(2-\sqrt{3})}{2^2-(\sqrt{3})^2} = \frac{2(2-\sqrt{3})}{4-3} = 4-2\sqrt{3} $.
Значение выражения равно $ 4-2\sqrt{3} $, что не является целым числом.
Ответ: нет, не верно.
Другие задания:
Помогло решение? Оставьте отзыв в комментариях ниже.
Присоединяйтесь к Телеграм-группе @gdz_by_belarus
ПрисоединитьсяМы подготовили для вас ответ c подробным объяснением домашего задания по алгебре за 7-9 класс, для упражнения номер 23.45 расположенного на странице 111 к сборнику задач 2020 года издания для учащихся школ и гимназий.
Теперь на нашем сайте ГДЗ.ТОП вы всегда легко и бесплатно найдёте условие с правильным ответом на вопрос «Как решить ДЗ» и «Как сделать» задание по алгебре к упражнению №23.45 (с. 111), авторов: Арефьева (Ирина Глебовна), Пирютко (Ольга Николаевна), учебного пособия издательства Народная асвета.