Номер 24.29, страница 118 - гдз по алгебре 7-9 класс сборник задач Арефьева, Пирютко

Алгебра, 7-9 класс Сборник задач, авторы: Арефьева Ирина Глебовна, Пирютко Ольга Николаевна, издательство Народная асвета, Минск, 2020

Авторы: Арефьева И. Г., Пирютко О. Н.

Тип: Сборник задач

Издательство: Народная асвета

Год издания: 2020 - 2025

Цвет обложки: синий с графиками

Допущено Министерством образования Республики Беларусь

Популярные ГДЗ в 7 классе

8 класс. Параграф 24. Системы и совокупности линейных неравенств с одной переменной. Решение двойных неравенств. Числовые промежутки - номер 24.29, страница 118.

№24.29 (с. 118)
Условие. №24.29 (с. 118)
скриншот условия
Алгебра, 7-9 класс Сборник задач, авторы: Арефьева Ирина Глебовна, Пирютко Ольга Николаевна, издательство Народная асвета, Минск, 2020, страница 118, номер 24.29, Условие

24.29. Решите двойное неравенство:

а) $-5 \le \frac{3x - 1}{2} < 0;$

б) $-1 < \frac{5x + 1}{3} \le 7;$

в) $-4 \le \frac{4x - 3}{5} \le 0;$

г) $3 < \frac{2 - 5x}{2} < 10.$

Решение. №24.29 (с. 118)
Алгебра, 7-9 класс Сборник задач, авторы: Арефьева Ирина Глебовна, Пирютко Ольга Николаевна, издательство Народная асвета, Минск, 2020, страница 118, номер 24.29, Решение Алгебра, 7-9 класс Сборник задач, авторы: Арефьева Ирина Глебовна, Пирютко Ольга Николаевна, издательство Народная асвета, Минск, 2020, страница 118, номер 24.29, Решение (продолжение 2)
Решение 2. №24.29 (с. 118)

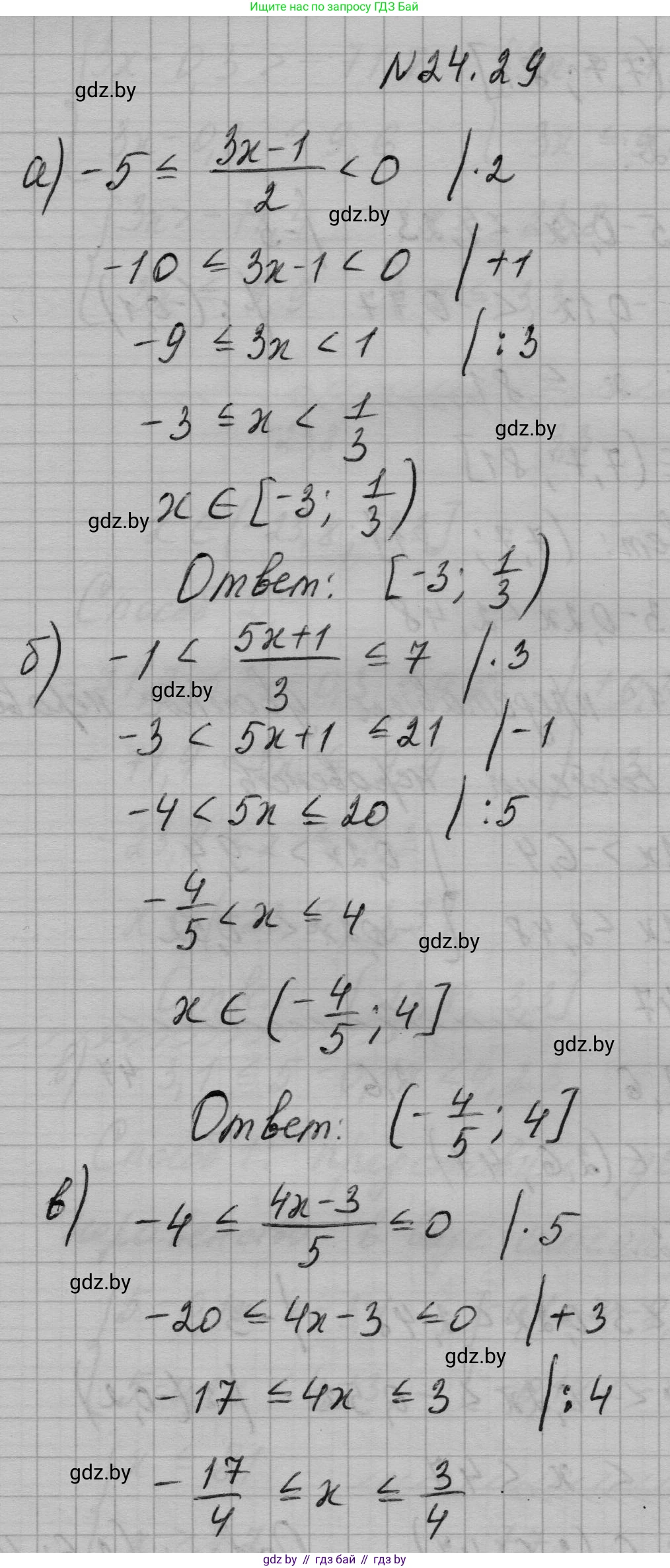
а) Чтобы решить двойное неравенство $-5 \le \frac{3x - 1}{2} < 0$, необходимо выполнить равносильные преобразования для всех его частей.
1. Умножим все части неравенства на 2, чтобы избавиться от знаменателя. Знак неравенства не меняется, так как 2 — положительное число:
$-5 \cdot 2 \le 3x - 1 < 0 \cdot 2$
$-10 \le 3x - 1 < 0$
2. Прибавим 1 ко всем частям неравенства, чтобы выделить слагаемое с $x$:
$-10 + 1 \le 3x < 0 + 1$
$-9 \le 3x < 1$
3. Разделим все части на 3. Знак неравенства не меняется, так как 3 — положительное число:
$\frac{-9}{3} \le x < \frac{1}{3}$
$-3 \le x < \frac{1}{3}$
Таким образом, решение неравенства представляет собой промежуток от -3 (включительно) до 1/3 (не включая).
Ответ: $x \in [-3; \frac{1}{3})$

б) Решим двойное неравенство $-1 < \frac{5x + 1}{3} \le 7$.
1. Умножим все части неравенства на 3:
$-1 \cdot 3 < 5x + 1 \le 7 \cdot 3$
$-3 < 5x + 1 \le 21$
2. Вычтем 1 из всех частей неравенства:
$-3 - 1 < 5x \le 21 - 1$
$-4 < 5x \le 20$
3. Разделим все части на 5:
$\frac{-4}{5} < x \le \frac{20}{5}$
$-\frac{4}{5} < x \le 4$
Решением является промежуток от -4/5 (не включая) до 4 (включительно).
Ответ: $x \in (-\frac{4}{5}; 4]$

в) Решим двойное неравенство $-4 \le \frac{4x - 3}{5} \le 0$.
1. Умножим все части неравенства на 5:
$-4 \cdot 5 \le 4x - 3 \le 0 \cdot 5$
$-20 \le 4x - 3 \le 0$
2. Прибавим 3 ко всем частям неравенства:
$-20 + 3 \le 4x \le 0 + 3$
$-17 \le 4x \le 3$
3. Разделим все части на 4:
$-\frac{17}{4} \le x \le \frac{3}{4}$
Решением является промежуток от -17/4 (включительно) до 3/4 (включительно).
Ответ: $x \in [-\frac{17}{4}; \frac{3}{4}]$

г) Решим двойное неравенство $3 < \frac{2 - 5x}{2} < 10$.
1. Умножим все части неравенства на 2:
$3 \cdot 2 < 2 - 5x < 10 \cdot 2$
$6 < 2 - 5x < 20$
2. Вычтем 2 из всех частей неравенства:
$6 - 2 < -5x < 20 - 2$
$4 < -5x < 18$
3. Разделим все части на -5. При делении на отрицательное число знаки неравенства меняются на противоположные:
$\frac{4}{-5} > x > \frac{18}{-5}$
$-\frac{4}{5} > x > -\frac{18}{5}$
4. Запишем полученное неравенство в стандартном виде (от меньшего числа к большему):
$-\frac{18}{5} < x < -\frac{4}{5}$
Решением является интервал от -18/5 до -4/5.
Ответ: $x \in (-\frac{18}{5}; -\frac{4}{5})$

Помогло решение? Оставьте отзыв в комментариях ниже.

Присоединяйтесь к Телеграм-группе @gdz_by_belarus

Присоединиться

Мы подготовили для вас ответ c подробным объяснением домашего задания по алгебре за 7-9 класс, для упражнения номер 24.29 расположенного на странице 118 к сборнику задач 2020 года издания для учащихся школ и гимназий.

Теперь на нашем сайте ГДЗ.ТОП вы всегда легко и бесплатно найдёте условие с правильным ответом на вопрос «Как решить ДЗ» и «Как сделать» задание по алгебре к упражнению №24.29 (с. 118), авторов: Арефьева (Ирина Глебовна), Пирютко (Ольга Николаевна), учебного пособия издательства Народная асвета.