Номер 24.26, страница 118 - гдз по алгебре 7-9 класс сборник задач Арефьева, Пирютко
Авторы: Арефьева И. Г., Пирютко О. Н.
Тип: Сборник задач
Издательство: Народная асвета
Год издания: 2020 - 2025
Цвет обложки: синий с графиками
Допущено Министерством образования Республики Беларусь
Популярные ГДЗ в 7 классе
8 класс. Параграф 24. Системы и совокупности линейных неравенств с одной переменной. Решение двойных неравенств. Числовые промежутки - номер 24.26, страница 118.
№24.26 (с. 118)
Условие. №24.26 (с. 118)
скриншот условия
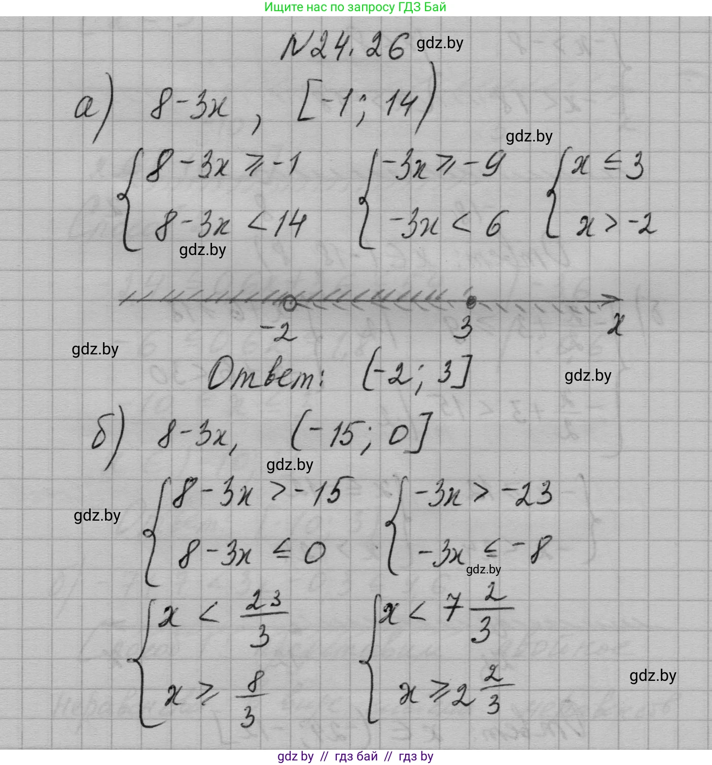
24.26. Найдите, при каких значениях переменной значения двучлена $8 - 3x$ принадлежат промежутку:
а) $[-1; 14)$;
б) $(-15; 0]$.
Решение. №24.26 (с. 118)
Решение 2. №24.26 (с. 118)
а) Значение двучлена $8 - 3x$ должно принадлежать промежутку $[-1; 14]$. Это можно записать в виде двойного неравенства:
$-1 \le 8 - 3x \le 14$
Для решения этого неравенства сначала вычтем 8 из всех его частей:
$-1 - 8 \le 8 - 3x - 8 \le 14 - 8$
$-9 \le -3x \le 6$
Теперь разделим все части неравенства на -3. При делении на отрицательное число знаки неравенства меняются на противоположные:
$\frac{-9}{-3} \ge \frac{-3x}{-3} \ge \frac{6}{-3}$
$3 \ge x \ge -2$
Запишем полученный промежуток в стандартном виде (от меньшего числа к большему):
$-2 \le x \le 3$
Следовательно, переменная $x$ принадлежит промежутку $[-2; 3]$.
Ответ: $x \in [-2; 3]$.
б) Значение двучлена $8 - 3x$ должно принадлежать промежутку $(-15; 0]$. Запишем это в виде двойного неравенства:
$-15 < 8 - 3x \le 0$
Вычтем 8 из всех частей неравенства:
$-15 - 8 < 8 - 3x - 8 \le 0 - 8$
$-23 < -3x \le -8$
Разделим все части неравенства на -3, при этом поменяв знаки неравенства на противоположные:
$\frac{-23}{-3} > \frac{-3x}{-3} \ge \frac{-8}{-3}$
$\frac{23}{3} > x \ge \frac{8}{3}$
Запишем полученный промежуток в стандартном виде:
$\frac{8}{3} \le x < \frac{23}{3}$
Следовательно, переменная $x$ принадлежит промежутку $[\frac{8}{3}; \frac{23}{3})$.
Ответ: $x \in [\frac{8}{3}; \frac{23}{3})$.
Другие задания:
Помогло решение? Оставьте отзыв в комментариях ниже.
Присоединяйтесь к Телеграм-группе @gdz_by_belarus
ПрисоединитьсяМы подготовили для вас ответ c подробным объяснением домашего задания по алгебре за 7-9 класс, для упражнения номер 24.26 расположенного на странице 118 к сборнику задач 2020 года издания для учащихся школ и гимназий.
Теперь на нашем сайте ГДЗ.ТОП вы всегда легко и бесплатно найдёте условие с правильным ответом на вопрос «Как решить ДЗ» и «Как сделать» задание по алгебре к упражнению №24.26 (с. 118), авторов: Арефьева (Ирина Глебовна), Пирютко (Ольга Николаевна), учебного пособия издательства Народная асвета.