Номер 24.31, страница 118 - гдз по алгебре 7-9 класс сборник задач Арефьева, Пирютко

Алгебра, 7-9 класс Сборник задач, авторы: Арефьева Ирина Глебовна, Пирютко Ольга Николаевна, издательство Народная асвета, Минск, 2020

Авторы: Арефьева И. Г., Пирютко О. Н.

Тип: Сборник задач

Издательство: Народная асвета

Год издания: 2020 - 2025

Цвет обложки: синий с графиками

Допущено Министерством образования Республики Беларусь

Популярные ГДЗ в 7 классе

8 класс. Параграф 24. Системы и совокупности линейных неравенств с одной переменной. Решение двойных неравенств. Числовые промежутки - номер 24.31, страница 118.

№24.31 (с. 118)
Условие. №24.31 (с. 118)
скриншот условия
Алгебра, 7-9 класс Сборник задач, авторы: Арефьева Ирина Глебовна, Пирютко Ольга Николаевна, издательство Народная асвета, Минск, 2020, страница 118, номер 24.31, Условие

24.31. Решите двойное неравенство:

а) $-1 < \frac{1-3x}{1,2} - 2 < 0;$

б) $-2 \le \frac{3-5x}{0,5} - 4 < 0.$

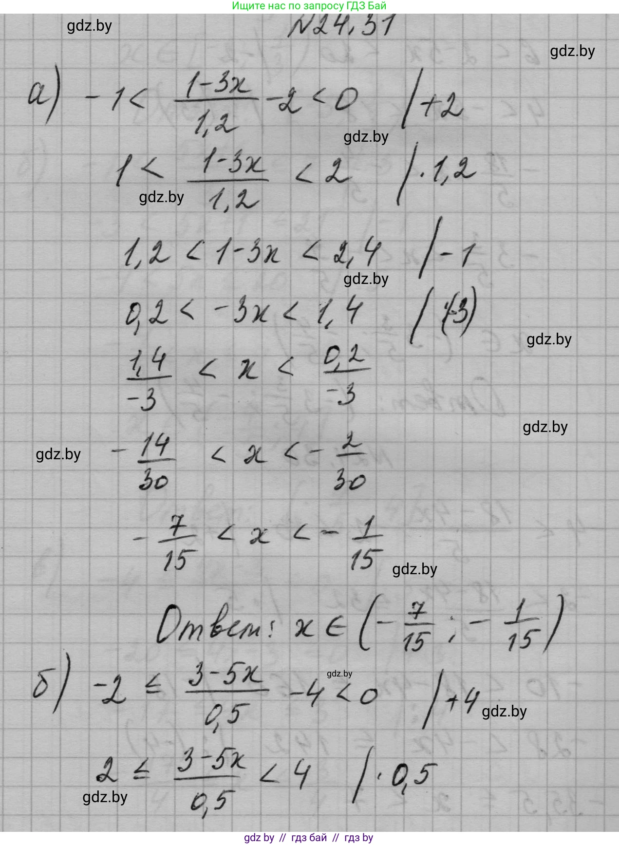
Решение. №24.31 (с. 118)
Алгебра, 7-9 класс Сборник задач, авторы: Арефьева Ирина Глебовна, Пирютко Ольга Николаевна, издательство Народная асвета, Минск, 2020, страница 118, номер 24.31, Решение Алгебра, 7-9 класс Сборник задач, авторы: Арефьева Ирина Глебовна, Пирютко Ольга Николаевна, издательство Народная асвета, Минск, 2020, страница 118, номер 24.31, Решение (продолжение 2)
Решение 2. №24.31 (с. 118)

а)

Дано двойное неравенство: $-1 < \frac{1-3x}{1,2} - 2 < 0$.

Для его решения будем выполнять равносильные преобразования со всеми тремя частями одновременно.
1. Прибавим 2 ко всем частям неравенства, чтобы выделить дробь в центре:

$-1 + 2 < \frac{1-3x}{1,2} - 2 + 2 < 0 + 2$

$1 < \frac{1-3x}{1,2} < 2$

2. Умножим все части неравенства на знаменатель дроби, то есть на 1,2. Так как $1,2 > 0$, знаки неравенства сохраняются:

$1 \cdot 1,2 < (\frac{1-3x}{1,2}) \cdot 1,2 < 2 \cdot 1,2$

$1,2 < 1 - 3x < 2,4$

3. Вычтем 1 из всех частей неравенства, чтобы в центре осталось только слагаемое с $x$:

$1,2 - 1 < 1 - 3x - 1 < 2,4 - 1$

$0,2 < -3x < 1,4$

4. Разделим все части неравенства на -3. Важно помнить, что при делении на отрицательное число знаки неравенства меняются на противоположные:

$\frac{0,2}{-3} > \frac{-3x}{-3} > \frac{1,4}{-3}$

$-\frac{0,2}{3} > x > -\frac{1,4}{3}$

Чтобы избавиться от десятичных дробей в числителях, умножим числитель и знаменатель каждой дроби на 10:

$-\frac{2}{30} > x > -\frac{14}{30}$

Сократим дроби:

$-\frac{1}{15} > x > -\frac{7}{15}$

5. Запишем ответ в стандартном виде (от меньшего числа к большему), что соответствует записи в виде интервала:

$-\frac{7}{15} < x < -\frac{1}{15}$

Ответ: $x \in (-\frac{7}{15}; -\frac{1}{15})$.

б)

Дано двойное неравенство: $-2 \le \frac{3-5x}{0,5} - 4 < 0$.

1. Прибавим 4 ко всем частям неравенства:

$-2 + 4 \le \frac{3-5x}{0,5} - 4 + 4 < 0 + 4$

$2 \le \frac{3-5x}{0,5} < 4$

2. Умножим все части неравенства на 0,5. Так как $0,5 > 0$, знаки неравенства не меняются:

$2 \cdot 0,5 \le (\frac{3-5x}{0,5}) \cdot 0,5 < 4 \cdot 0,5$

$1 \le 3 - 5x < 2$

3. Вычтем 3 из всех частей неравенства:

$1 - 3 \le 3 - 5x - 3 < 2 - 3$

$-2 \le -5x < -1$

4. Разделим все части неравенства на -5. При делении на отрицательное число знаки неравенства меняются на противоположные:

$\frac{-2}{-5} \ge \frac{-5x}{-5} > \frac{-1}{-5}$

$\frac{2}{5} \ge x > \frac{1}{5}$

5. Запишем ответ в стандартном виде (от меньшего числа к большему). Также можно представить дроби в десятичном виде:

$\frac{1}{5} < x \le \frac{2}{5}$

$0,2 < x \le 0,4$

Ответ: $x \in (0,2; 0,4]$.

Помогло решение? Оставьте отзыв в комментариях ниже.

Присоединяйтесь к Телеграм-группе @gdz_by_belarus

Присоединиться

Мы подготовили для вас ответ c подробным объяснением домашего задания по алгебре за 7-9 класс, для упражнения номер 24.31 расположенного на странице 118 к сборнику задач 2020 года издания для учащихся школ и гимназий.

Теперь на нашем сайте ГДЗ.ТОП вы всегда легко и бесплатно найдёте условие с правильным ответом на вопрос «Как решить ДЗ» и «Как сделать» задание по алгебре к упражнению №24.31 (с. 118), авторов: Арефьева (Ирина Глебовна), Пирютко (Ольга Николаевна), учебного пособия издательства Народная асвета.