Номер 24.32, страница 118 - гдз по алгебре 7-9 класс сборник задач Арефьева, Пирютко
Авторы: Арефьева И. Г., Пирютко О. Н.
Тип: Сборник задач
Издательство: Народная асвета
Год издания: 2020 - 2025
Цвет обложки: синий с графиками
Допущено Министерством образования Республики Беларусь
Популярные ГДЗ в 7 классе
8 класс. Параграф 24. Системы и совокупности линейных неравенств с одной переменной. Решение двойных неравенств. Числовые промежутки - номер 24.32, страница 118.
№24.32 (с. 118)
Условие. №24.32 (с. 118)
скриншот условия
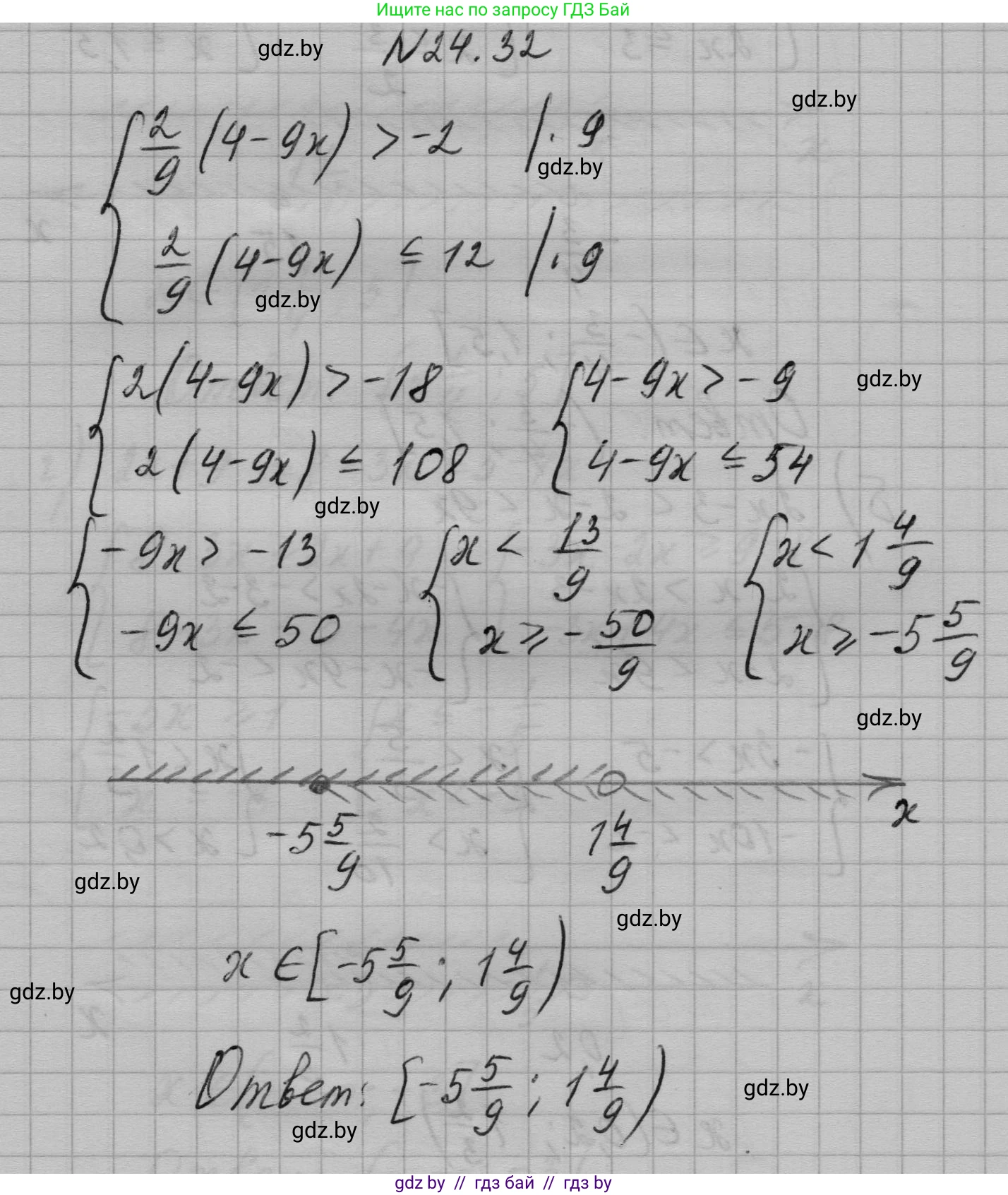
24.32. Найдите, при каких значениях переменной значение выражения $\frac{2}{9}(4-9x)$ больше -2, но не превышает 12.
Решение. №24.32 (с. 118)
Решение 2. №24.32 (с. 118)
Условие "значение выражения $\frac{2}{9}(4-9x)$ больше -2, но не превышает 12" можно записать в виде двойного неравенства:
$-2 < \frac{2}{9}(4 - 9x) \le 12$
Чтобы решить это неравенство, сначала умножим все его части на $\frac{9}{2}$. Так как мы умножаем на положительное число, знаки неравенства сохраняются:
$-2 \cdot \frac{9}{2} < \frac{2}{9}(4 - 9x) \cdot \frac{9}{2} \le 12 \cdot \frac{9}{2}$
Выполним вычисления:
$-9 < 4 - 9x \le 54$
Теперь вычтем 4 из всех частей неравенства, чтобы изолировать слагаемое, содержащее переменную $x$:
$-9 - 4 < 4 - 9x - 4 \le 54 - 4$
$-13 < -9x \le 50$
На последнем шаге разделим все части неравенства на -9. Важно помнить, что при делении на отрицательное число знаки неравенства меняются на противоположные:
$\frac{-13}{-9} > \frac{-9x}{-9} \ge \frac{50}{-9}$
$\frac{13}{9} > x \ge -\frac{50}{9}$
Для удобства чтения запишем результат в стандартном виде, от меньшего числа к большему:
$-\frac{50}{9} \le x < \frac{13}{9}$
Это решение можно также представить в виде числового промежутка.
Ответ: $x \in [-\frac{50}{9}; \frac{13}{9})$.
Другие задания:
Помогло решение? Оставьте отзыв в комментариях ниже.
Присоединяйтесь к Телеграм-группе @gdz_by_belarus
ПрисоединитьсяМы подготовили для вас ответ c подробным объяснением домашего задания по алгебре за 7-9 класс, для упражнения номер 24.32 расположенного на странице 118 к сборнику задач 2020 года издания для учащихся школ и гимназий.
Теперь на нашем сайте ГДЗ.ТОП вы всегда легко и бесплатно найдёте условие с правильным ответом на вопрос «Как решить ДЗ» и «Как сделать» задание по алгебре к упражнению №24.32 (с. 118), авторов: Арефьева (Ирина Глебовна), Пирютко (Ольга Николаевна), учебного пособия издательства Народная асвета.