Номер 24.33, страница 118 - гдз по алгебре 7-9 класс сборник задач Арефьева, Пирютко

Алгебра, 7-9 класс Сборник задач, авторы: Арефьева Ирина Глебовна, Пирютко Ольга Николаевна, издательство Народная асвета, Минск, 2020

Авторы: Арефьева И. Г., Пирютко О. Н.

Тип: Сборник задач

Издательство: Народная асвета

Год издания: 2020 - 2025

Цвет обложки: синий с графиками

Допущено Министерством образования Республики Беларусь

Популярные ГДЗ в 7 классе

8 класс. Параграф 24. Системы и совокупности линейных неравенств с одной переменной. Решение двойных неравенств. Числовые промежутки - номер 24.33, страница 118.

№24.33 (с. 118)
Условие. №24.33 (с. 118)
скриншот условия
Алгебра, 7-9 класс Сборник задач, авторы: Арефьева Ирина Глебовна, Пирютко Ольга Николаевна, издательство Народная асвета, Минск, 2020, страница 118, номер 24.33, Условие

24.33. Решите двойное неравенство, заменив его системой неравенств:

а) $x - 4 < 5x - 1 \leq 3x + 2;$

б) $2x - 3 < 2 - x < 9x;$

в) $2x - 3 \leq 12 - x < 3x + 7;$

г) $2x + 9 \leq 8 - 3x \leq 5 - 4x.$

Решение. №24.33 (с. 118)
Алгебра, 7-9 класс Сборник задач, авторы: Арефьева Ирина Глебовна, Пирютко Ольга Николаевна, издательство Народная асвета, Минск, 2020, страница 118, номер 24.33, Решение Алгебра, 7-9 класс Сборник задач, авторы: Арефьева Ирина Глебовна, Пирютко Ольга Николаевна, издательство Народная асвета, Минск, 2020, страница 118, номер 24.33, Решение (продолжение 2)
Решение 2. №24.33 (с. 118)

а) Решим двойное неравенство $x - 4 < 5x - 1 \leq 3x + 2$.

Данное двойное неравенство равносильно системе неравенств:

$\begin{cases} x - 4 < 5x - 1 \\ 5x - 1 \leq 3x + 2 \end{cases}$

Решим первое неравенство системы:
$x - 4 < 5x - 1$
$-4 + 1 < 5x - x$
$-3 < 4x$
$x > -\frac{3}{4}$

Решим второе неравенство системы:
$5x - 1 \leq 3x + 2$
$5x - 3x \leq 2 + 1$
$2x \leq 3$
$x \leq \frac{3}{2}$

Решением исходного двойного неравенства является пересечение решений двух неравенств системы, то есть множество всех $x$, для которых одновременно выполняются условия $x > -\frac{3}{4}$ и $x \leq \frac{3}{2}$.

Это соответствует числовому промежутку $(-\frac{3}{4}; \frac{3}{2}]$.

Ответ: $(-\frac{3}{4}; \frac{3}{2}]$.

б) Решим двойное неравенство $2x - 3 < 2 - x < 9x$.

Данное двойное неравенство равносильно системе неравенств:

$\begin{cases} 2x - 3 < 2 - x \\ 2 - x < 9x \end{cases}$

Решим первое неравенство системы:
$2x - 3 < 2 - x$
$2x + x < 2 + 3$
$3x < 5$
$x < \frac{5}{3}$

Решим второе неравенство системы:
$2 - x < 9x$
$2 < 9x + x$
$2 < 10x$
$x > \frac{2}{10}$
$x > \frac{1}{5}$

Решением является пересечение решений $x < \frac{5}{3}$ и $x > \frac{1}{5}$.

Это соответствует числовому промежутку $(\frac{1}{5}; \frac{5}{3})$.

Ответ: $(\frac{1}{5}; \frac{5}{3})$.

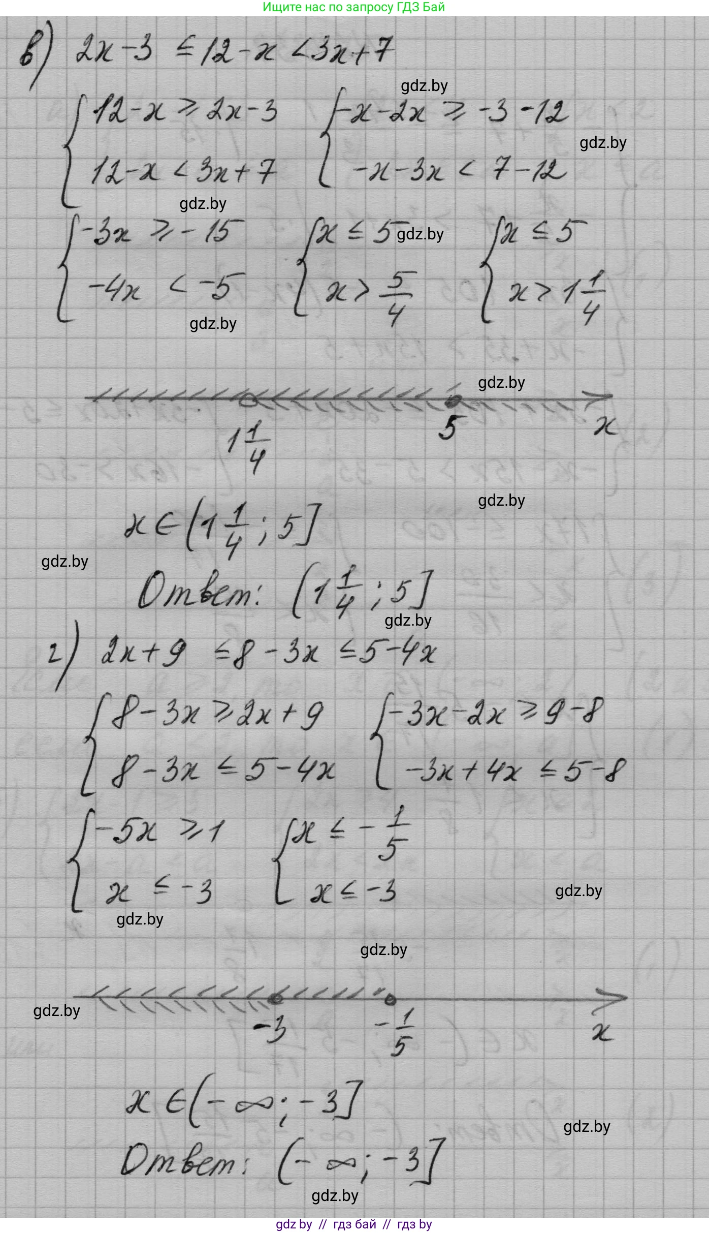
в) Решим двойное неравенство $2x - 3 \leq 12 - x < 3x + 7$.

Данное двойное неравенство равносильно системе неравенств:

$\begin{cases} 2x - 3 \leq 12 - x \\ 12 - x < 3x + 7 \end{cases}$

Решим первое неравенство системы:
$2x - 3 \leq 12 - x$
$2x + x \leq 12 + 3$
$3x \leq 15$
$x \leq 5$

Решим второе неравенство системы:
$12 - x < 3x + 7$
$12 - 7 < 3x + x$
$5 < 4x$
$x > \frac{5}{4}$

Решением является пересечение решений $x \leq 5$ и $x > \frac{5}{4}$.

Это соответствует числовому промежутку $(\frac{5}{4}; 5]$.

Ответ: $(\frac{5}{4}; 5]$.

г) Решим двойное неравенство $2x + 9 \leq 8 - 3x \leq 5 - 4x$.

Данное двойное неравенство равносильно системе неравенств:

$\begin{cases} 2x + 9 \leq 8 - 3x \\ 8 - 3x \leq 5 - 4x \end{cases}$

Решим первое неравенство системы:
$2x + 9 \leq 8 - 3x$
$2x + 3x \leq 8 - 9$
$5x \leq -1$
$x \leq -\frac{1}{5}$

Решим второе неравенство системы:
$8 - 3x \leq 5 - 4x$
$4x - 3x \leq 5 - 8$
$x \leq -3$

Решением является пересечение решений $x \leq -\frac{1}{5}$ и $x \leq -3$. Так как любое число, которое меньше или равно -3, также меньше или равно -1/5, то пересечением этих множеств будет $x \leq -3$.

Это соответствует числовому промежутку $(-\infty; -3]$.

Ответ: $(-\infty; -3]$.

Помогло решение? Оставьте отзыв в комментариях ниже.

Присоединяйтесь к Телеграм-группе @gdz_by_belarus

Присоединиться

Мы подготовили для вас ответ c подробным объяснением домашего задания по алгебре за 7-9 класс, для упражнения номер 24.33 расположенного на странице 118 к сборнику задач 2020 года издания для учащихся школ и гимназий.

Теперь на нашем сайте ГДЗ.ТОП вы всегда легко и бесплатно найдёте условие с правильным ответом на вопрос «Как решить ДЗ» и «Как сделать» задание по алгебре к упражнению №24.33 (с. 118), авторов: Арефьева (Ирина Глебовна), Пирютко (Ольга Николаевна), учебного пособия издательства Народная асвета.