Номер 2.168, страница 88 - гдз по алгебре 7 класс учебник Арефьева, Пирютко

Алгебра, 7 класс Учебник, авторы: Арефьева Ирина Глебовна, Пирютко Ольга Николаевна, издательство Народная асвета, Минск, 2022, зелёного цвета

Авторы: Арефьева И. Г., Пирютко О. Н.

Тип: Учебник

Издательство: Народная асвета

Год издания: 2022 - 2025

Цвет обложки: зелёный с графиком

ISBN: ISBN 978-985-03-3770-2

Допущено Министерством образования Республики Беларусь

Популярные ГДЗ в 7 классе

Глава 2. Выражения и их преобразования. Параграф 9. Сложение и вычитание многочленов - номер 2.168, страница 88.

№2.168 (с. 88)
Условие. №2.168 (с. 88)
скриншот условия
Алгебра, 7 класс Учебник, авторы: Арефьева Ирина Глебовна, Пирютко Ольга Николаевна, издательство Народная асвета, Минск, 2022, зелёного цвета, страница 88, номер 2.168, Условие

2.168. Упростите выражение, используя тождественные преобразования:

а) $4a + (2a + 8b)$;

б) $6b + (-3b + 2c)$;

в) $7x + (7y - x)$;

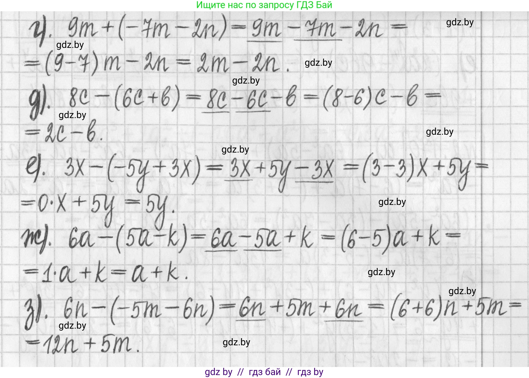
г) $9m + (-7m - 2n)$;

д) $8c - (6c + b)$;

е) $3x - (-5y + 3x)$;

ж) $6a - (5a - k)$;

з) $6n - (-5m - 6n)$.

Решение. №2.168 (с. 88)
Алгебра, 7 класс Учебник, авторы: Арефьева Ирина Глебовна, Пирютко Ольга Николаевна, издательство Народная асвета, Минск, 2022, зелёного цвета, страница 88, номер 2.168, Решение Алгебра, 7 класс Учебник, авторы: Арефьева Ирина Глебовна, Пирютко Ольга Николаевна, издательство Народная асвета, Минск, 2022, зелёного цвета, страница 88, номер 2.168, Решение (продолжение 2)
Решение 2. №2.168 (с. 88)
### Решение задачи 2.168

а) $4a + (2a + 8b)$
Раскрываем скобки. Так как перед скобками стоит знак "+", знаки слагаемых внутри скобок не меняются:
$4a + 2a + 8b$
Приводим подобные слагаемые (складываем члены с одинаковой буквенной частью):
$(4a + 2a) + 8b = 6a + 8b$
Ответ: $6a + 8b$

б) $6b + (-3b + 2c)$
Раскрываем скобки. Знак "+" перед скобками не меняет знаки слагаемых внутри:
$6b - 3b + 2c$
Приводим подобные слагаемые:
$(6b - 3b) + 2c = 3b + 2c$
Ответ: $3b + 2c$

в) $7x + (7y - x)$
Раскрываем скобки:
$7x + 7y - x$
Группируем и приводим подобные слагаемые:
$(7x - x) + 7y = 6x + 7y$
Ответ: $6x + 7y$

г) $9m + (-7m - 2n)$
Раскрываем скобки:
$9m - 7m - 2n$
Приводим подобные слагаемые:
$(9m - 7m) - 2n = 2m - 2n$
Ответ: $2m - 2n$

д) $8c - (6c + b)$
Раскрываем скобки. Так как перед скобками стоит знак "-", знаки всех слагаемых внутри скобок меняются на противоположные:
$8c - 6c - b$
Приводим подобные слагаемые:
$(8c - 6c) - b = 2c - b$
Ответ: $2c - b$

е) $3x - (-5y + 3x)$
Раскрываем скобки, меняя знаки слагаемых внутри на противоположные:
$3x - (-5y) - (+3x) = 3x + 5y - 3x$
Группируем и приводим подобные слагаемые:
$(3x - 3x) + 5y = 0 + 5y = 5y$
Ответ: $5y$

ж) $6a - (5a - k)$
Раскрываем скобки, меняя знаки на противоположные:
$6a - 5a - (-k) = 6a - 5a + k$
Приводим подобные слагаемые:
$(6a - 5a) + k = a + k$
Ответ: $a + k$

з) $6n - (-5m - 6n)$
Раскрываем скобки, меняя знаки на противоположные:
$6n - (-5m) - (-6n) = 6n + 5m + 6n$
Группируем и приводим подобные слагаемые:
$(6n + 6n) + 5m = 12n + 5m$
Ответ: $12n + 5m$

Помогло решение? Оставьте отзыв в комментариях ниже.

Присоединяйтесь к Телеграм-группе @gdz_by_belarus

Присоединиться

Мы подготовили для вас ответ c подробным объяснением домашего задания по алгебре за 7 класс, для упражнения номер 2.168 расположенного на странице 88 к учебнику 2022 года издания для учащихся школ и гимназий.

Теперь на нашем сайте ГДЗ.ТОП вы всегда легко и бесплатно найдёте условие с правильным ответом на вопрос «Как решить ДЗ» и «Как сделать» задание по алгебре к упражнению №2.168 (с. 88), авторов: Арефьева (Ирина Глебовна), Пирютко (Ольга Николаевна), учебного пособия издательства Народная асвета.