Номер 2.173, страница 89 - гдз по алгебре 7 класс учебник Арефьева, Пирютко

Алгебра, 7 класс Учебник, авторы: Арефьева Ирина Глебовна, Пирютко Ольга Николаевна, издательство Народная асвета, Минск, 2022, зелёного цвета

Авторы: Арефьева И. Г., Пирютко О. Н.

Тип: Учебник

Издательство: Народная асвета

Год издания: 2022 - 2025

Цвет обложки: зелёный с графиком

ISBN: ISBN 978-985-03-3770-2

Допущено Министерством образования Республики Беларусь

Популярные ГДЗ в 7 классе

Глава 2. Выражения и их преобразования. Параграф 9. Сложение и вычитание многочленов - номер 2.173, страница 89.

№2.173 (с. 89)
Условие. №2.173 (с. 89)
скриншот условия
Алгебра, 7 класс Учебник, авторы: Арефьева Ирина Глебовна, Пирютко Ольга Николаевна, издательство Народная асвета, Минск, 2022, зелёного цвета, страница 89, номер 2.173, Условие

2.173. Решите уравнение, выполнив тождественные преобразования в его левой части:

а) $ (7x - 9) + (2x - 8) = 19; $

б) $ (0,2x - 7) - (6 - 0,1x) = 2; $

в) $ 1,3 + 0,2x - (0,5x - 1,1) = 1,9. $

Решение. №2.173 (с. 89)
Алгебра, 7 класс Учебник, авторы: Арефьева Ирина Глебовна, Пирютко Ольга Николаевна, издательство Народная асвета, Минск, 2022, зелёного цвета, страница 89, номер 2.173, Решение Алгебра, 7 класс Учебник, авторы: Арефьева Ирина Глебовна, Пирютко Ольга Николаевна, издательство Народная асвета, Минск, 2022, зелёного цвета, страница 89, номер 2.173, Решение (продолжение 2)
Решение 2. №2.173 (с. 89)

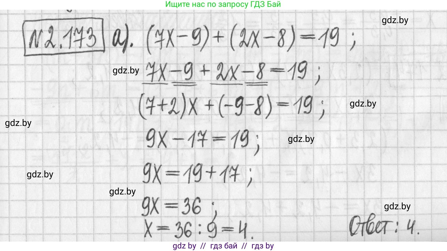
а) $(7x - 9) + (2x - 8) = 19$

Сначала раскроем скобки в левой части уравнения. Так как перед скобками стоит знак плюс, знаки слагаемых внутри скобок не меняются.

$7x - 9 + 2x - 8 = 19$

Теперь приведем подобные слагаемые (члены с $x$ и свободные члены):

$(7x + 2x) + (-9 - 8) = 19$

$9x - 17 = 19$

Перенесем число $-17$ в правую часть уравнения, изменив его знак на противоположный:

$9x = 19 + 17$

$9x = 36$

Чтобы найти $x$, разделим обе части уравнения на $9$:

$x = \frac{36}{9}$

$x = 4$

Ответ: $4$.

б) $(0,2x - 7) - (6 - 0,1x) = 2$

Раскроем скобки. Перед второй скобкой стоит знак минус, поэтому знаки всех слагаемых внутри нее меняются на противоположные.

$0,2x - 7 - 6 + 0,1x = 2$

Приведем подобные слагаемые в левой части:

$(0,2x + 0,1x) + (-7 - 6) = 2$

$0,3x - 13 = 2$

Перенесем число $-13$ в правую часть уравнения с противоположным знаком:

$0,3x = 2 + 13$

$0,3x = 15$

Найдем $x$, разделив обе части на $0,3$:

$x = \frac{15}{0,3} = \frac{150}{3}$

$x = 50$

Ответ: $50$.

в) $1,3 + 0,2x - (0,5x - 1,1) = 1,9$

Сначала раскроем скобки. Так как перед скобкой стоит знак минус, знаки слагаемых внутри нее меняются.

$1,3 + 0,2x - 0,5x + 1,1 = 1,9$

Приведем подобные слагаемые в левой части:

$(0,2x - 0,5x) + (1,3 + 1,1) = 1,9$

$-0,3x + 2,4 = 1,9$

Перенесем число $2,4$ в правую часть с противоположным знаком:

$-0,3x = 1,9 - 2,4$

$-0,3x = -0,5$

Чтобы найти $x$, разделим обе части на $-0,3$:

$x = \frac{-0,5}{-0,3} = \frac{5}{3}$

Преобразуем неправильную дробь в смешанное число, выделив целую часть:

$x = 1\frac{2}{3}$

Ответ: $1\frac{2}{3}$.

Помогло решение? Оставьте отзыв в комментариях ниже.

Присоединяйтесь к Телеграм-группе @gdz_by_belarus

Присоединиться

Мы подготовили для вас ответ c подробным объяснением домашего задания по алгебре за 7 класс, для упражнения номер 2.173 расположенного на странице 89 к учебнику 2022 года издания для учащихся школ и гимназий.

Теперь на нашем сайте ГДЗ.ТОП вы всегда легко и бесплатно найдёте условие с правильным ответом на вопрос «Как решить ДЗ» и «Как сделать» задание по алгебре к упражнению №2.173 (с. 89), авторов: Арефьева (Ирина Глебовна), Пирютко (Ольга Николаевна), учебного пособия издательства Народная асвета.