Номер 2.170, страница 88 - гдз по алгебре 7 класс учебник Арефьева, Пирютко

Алгебра, 7 класс Учебник, авторы: Арефьева Ирина Глебовна, Пирютко Ольга Николаевна, издательство Народная асвета, Минск, 2022, зелёного цвета

Авторы: Арефьева И. Г., Пирютко О. Н.

Тип: Учебник

Издательство: Народная асвета

Год издания: 2022 - 2025

Цвет обложки: зелёный с графиком

ISBN: ISBN 978-985-03-3770-2

Допущено Министерством образования Республики Беларусь

Популярные ГДЗ в 7 классе

Глава 2. Выражения и их преобразования. Параграф 9. Сложение и вычитание многочленов - номер 2.170, страница 88.

№2.170 (с. 88)
Условие. №2.170 (с. 88)
скриншот условия
Алгебра, 7 класс Учебник, авторы: Арефьева Ирина Глебовна, Пирютко Ольга Николаевна, издательство Народная асвета, Минск, 2022, зелёного цвета, страница 88, номер 2.170, Условие

2.170. Найдите сумму и разность многочленов:

a) $6a^2 - 5a$ и $3a - 7a^2$;

б) $y^2 - 4y - 6$ и $-3y^2 + 4y - 6$.

Решение. №2.170 (с. 88)
Алгебра, 7 класс Учебник, авторы: Арефьева Ирина Глебовна, Пирютко Ольга Николаевна, издательство Народная асвета, Минск, 2022, зелёного цвета, страница 88, номер 2.170, Решение
Решение 2. №2.170 (с. 88)

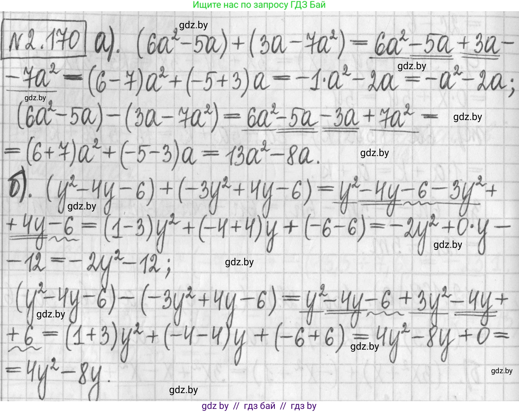
а) Даны многочлены $6a^2 - 5a$ и $3a - 7a^2$.

Сумма:
Чтобы найти сумму многочленов, необходимо сложить их, раскрыть скобки и привести подобные слагаемые. Подобными слагаемыми являются те, у которых одинаковая буквенная часть.

$(6a^2 - 5a) + (3a - 7a^2) = 6a^2 - 5a + 3a - 7a^2$

Группируем и складываем подобные слагаемые:

$(6a^2 - 7a^2) + (-5a + 3a) = -1a^2 - 2a = -a^2 - 2a$

Разность:
Чтобы найти разность многочленов, нужно из первого многочлена вычесть второй. При раскрытии скобок, перед которыми стоит знак минус, знаки всех слагаемых внутри скобок меняются на противоположные.

$(6a^2 - 5a) - (3a - 7a^2) = 6a^2 - 5a - 3a + 7a^2$

Группируем и складываем подобные слагаемые:

$(6a^2 + 7a^2) + (-5a - 3a) = 13a^2 - 8a$

Ответ: сумма: $-a^2 - 2a$; разность: $13a^2 - 8a$.

б) Даны многочлены $y^2 - 4y - 6$ и $-3y^2 + 4y - 6$.

Сумма:
Складываем многочлены и приводим подобные слагаемые.

$(y^2 - 4y - 6) + (-3y^2 + 4y - 6) = y^2 - 4y - 6 - 3y^2 + 4y - 6$

Группируем и складываем подобные слагаемые:

$(y^2 - 3y^2) + (-4y + 4y) + (-6 - 6) = -2y^2 + 0 - 12 = -2y^2 - 12$

Разность:
Вычитаем второй многочлен из первого, меняя знаки слагаемых второго многочлена на противоположные.

$(y^2 - 4y - 6) - (-3y^2 + 4y - 6) = y^2 - 4y - 6 + 3y^2 - 4y + 6$

Группируем и складываем подобные слагаемые:

$(y^2 + 3y^2) + (-4y - 4y) + (-6 + 6) = 4y^2 - 8y + 0 = 4y^2 - 8y$

Ответ: сумма: $-2y^2 - 12$; разность: $4y^2 - 8y$.

Помогло решение? Оставьте отзыв в комментариях ниже.

Присоединяйтесь к Телеграм-группе @gdz_by_belarus

Присоединиться

Мы подготовили для вас ответ c подробным объяснением домашего задания по алгебре за 7 класс, для упражнения номер 2.170 расположенного на странице 88 к учебнику 2022 года издания для учащихся школ и гимназий.

Теперь на нашем сайте ГДЗ.ТОП вы всегда легко и бесплатно найдёте условие с правильным ответом на вопрос «Как решить ДЗ» и «Как сделать» задание по алгебре к упражнению №2.170 (с. 88), авторов: Арефьева (Ирина Глебовна), Пирютко (Ольга Николаевна), учебного пособия издательства Народная асвета.