Номер 1.119, страница 42 - гдз по алгебре 9 класс учебник Арефьева, Пирютко

Алгебра, 9 класс Учебник, авторы: Арефьева Ирина Глебовна, Пирютко Ольга Николаевна, издательство Народная асвета, Минск, 2019, голубого цвета

Авторы: Арефьева И. Г., Пирютко О. Н.

Тип: Учебник

Издательство: Народная асвета

Год издания: 2019 - 2025

Цвет обложки: голубой, синий с графиком

ISBN: 978-985-03-3077-2

Допущено Министерством образования Республики Беларусь

Популярные ГДЗ в 9 классе

Глава 1. Рациональные выражения. Параграф 3. Сложение и вычитание рациональных дробей - номер 1.119, страница 42.

№1.119 (с. 42)
Условие. №1.119 (с. 42)
скриншот условия
Алгебра, 9 класс Учебник, авторы: Арефьева Ирина Глебовна, Пирютко Ольга Николаевна, издательство Народная асвета, Минск, 2019, голубого цвета, страница 42, номер 1.119, Условие

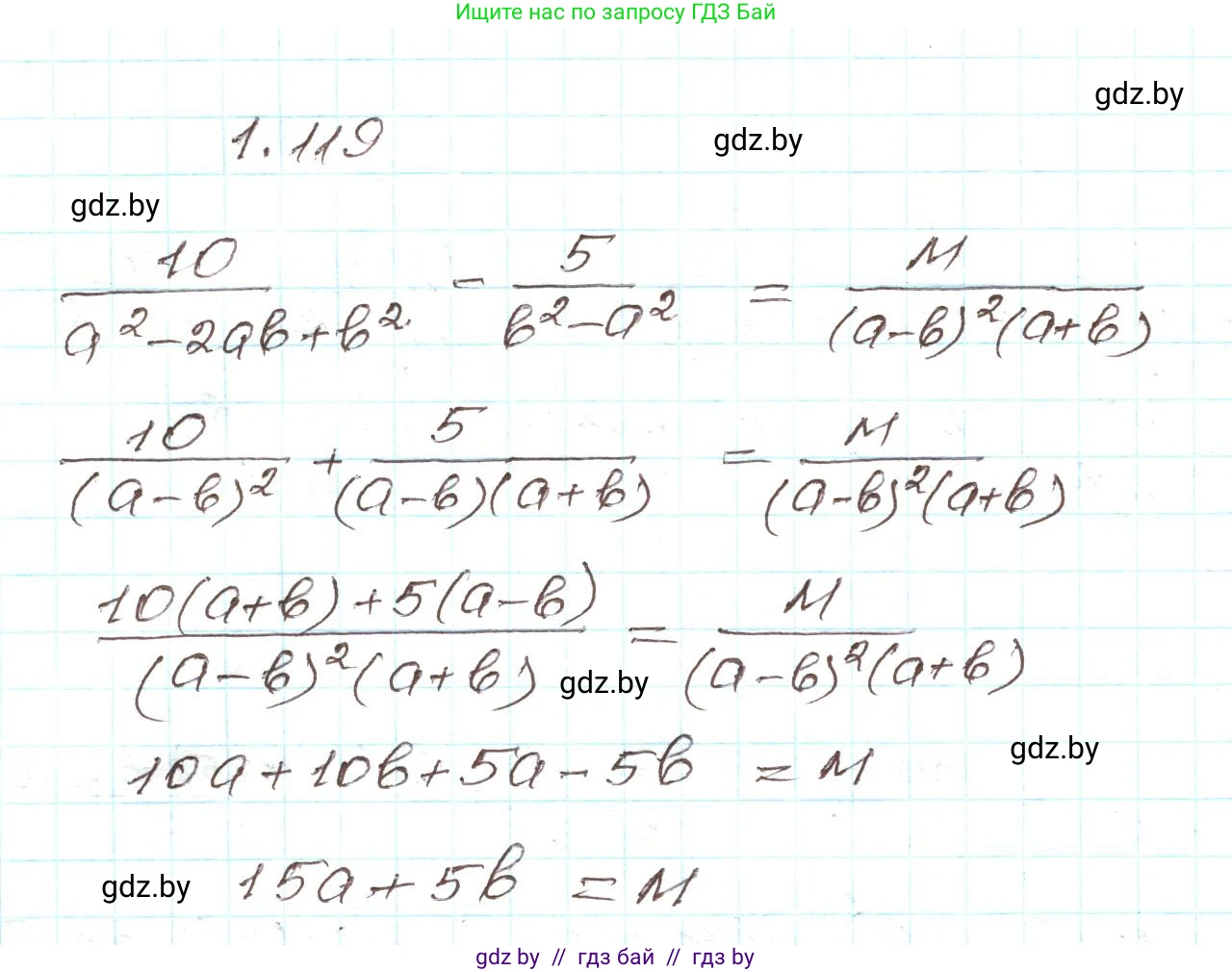
1.119. Замените M таким двучленом, при котором верно равенство $ \frac{10}{a^2 - 2ab + b^2} - \frac{5}{b^2 - a^2} = \frac{M}{(a-b)^2 (a+b)} $.

Решение. №1.119 (с. 42)
Алгебра, 9 класс Учебник, авторы: Арефьева Ирина Глебовна, Пирютко Ольга Николаевна, издательство Народная асвета, Минск, 2019, голубого цвета, страница 42, номер 1.119, Решение
Решение 2. №1.119 (с. 42)

Для того чтобы найти двучлен M, при котором равенство будет верным, необходимо преобразовать левую часть уравнения, приведя дроби к общему знаменателю.

Первым шагом упростим знаменатели дробей. Знаменатель первой дроби $a^2 - 2ab + b^2$ является полным квадратом разности, то есть $(a - b)^2$. Знаменатель второй дроби $b^2 - a^2$ является разностью квадратов. Для удобства дальнейших преобразований вынесем знак минус: $b^2 - a^2 = -(a^2 - b^2) = -(a - b)(a + b)$.

Теперь подставим упрощенные знаменатели в левую часть равенства:

$$ \frac{10}{(a - b)^2} - \frac{5}{-(a - b)(a + b)} $$

Знак "минус" в знаменателе второй дроби позволяет изменить знак перед дробью на "плюс":

$$ \frac{10}{(a - b)^2} + \frac{5}{(a - b)(a + b)} $$

Общим знаменателем для этих дробей является выражение $(a - b)^2(a + b)$. Приведем дроби к этому знаменателю, домножив числитель первой дроби на $(a+b)$, а второй на $(a-b)$:

$$ \frac{10(a+b)}{(a - b)^2(a + b)} + \frac{5(a-b)}{(a - b)^2(a + b)} = \frac{10(a+b) + 5(a-b)}{(a - b)^2(a + b)} $$

Далее, упростим выражение в числителе, раскрыв скобки и приведя подобные слагаемые:

$$ 10(a+b) + 5(a-b) = 10a + 10b + 5a - 5b = 15a + 5b $$

Таким образом, исходное равенство можно переписать в следующем виде:

$$ \frac{15a + 5b}{(a - b)^2(a + b)} = \frac{M}{(a - b)^2(a + b)} $$

Поскольку знаменатели в левой и правой частях равенства одинаковы, для выполнения равенства должны быть одинаковы и числители. Отсюда следует, что искомый двучлен M равен:

Ответ: $M = 15a + 5b$.

Помогло решение? Оставьте отзыв в комментариях ниже.

Присоединяйтесь к Телеграм-группе @gdz_by_belarus

Присоединиться

Мы подготовили для вас ответ c подробным объяснением домашего задания по алгебре за 9 класс, для упражнения номер 1.119 расположенного на странице 42 к учебнику 2019 года издания для учащихся школ и гимназий.

Теперь на нашем сайте ГДЗ.ТОП вы всегда легко и бесплатно найдёте условие с правильным ответом на вопрос «Как решить ДЗ» и «Как сделать» задание по алгебре к упражнению №1.119 (с. 42), авторов: Арефьева (Ирина Глебовна), Пирютко (Ольга Николаевна), учебного пособия издательства Народная асвета.