Номер 3.14, страница 147 - гдз по алгебре 9 класс учебник Арефьева, Пирютко

Алгебра, 9 класс Учебник, авторы: Арефьева Ирина Глебовна, Пирютко Ольга Николаевна, издательство Народная асвета, Минск, 2019, голубого цвета

Авторы: Арефьева И. Г., Пирютко О. Н.

Тип: Учебник

Издательство: Народная асвета

Год издания: 2019 - 2025

Цвет обложки: голубой, синий с графиком

ISBN: 978-985-03-3077-2

Допущено Министерством образования Республики Беларусь

Популярные ГДЗ в 9 классе

Глава 3. Дробно-рациональные уравнения и неравенства. Параграф 10. Дробно-рациональные уравнения - номер 3.14, страница 147.

№3.14 (с. 147)
Условие. №3.14 (с. 147)
скриншот условия
Алгебра, 9 класс Учебник, авторы: Арефьева Ирина Глебовна, Пирютко Ольга Николаевна, издательство Народная асвета, Минск, 2019, голубого цвета, страница 147, номер 3.14, Условие

3.14. Решите дробно-рациональное уравнение, используя алгоритм:

a) $ \frac{x}{x + 3} = \frac{1}{x - 1} $;

б) $ \frac{x + 10}{2 - x} = \frac{x - 2}{x} $;

в) $ \frac{3x + 4}{x - 3} = \frac{2x - 9}{x + 1} $;

г) $ \frac{2x - 1}{3 - 2x} = \frac{x - 1}{2x + 3} $.

Решение. №3.14 (с. 147)
Алгебра, 9 класс Учебник, авторы: Арефьева Ирина Глебовна, Пирютко Ольга Николаевна, издательство Народная асвета, Минск, 2019, голубого цвета, страница 147, номер 3.14, Решение Алгебра, 9 класс Учебник, авторы: Арефьева Ирина Глебовна, Пирютко Ольга Николаевна, издательство Народная асвета, Минск, 2019, голубого цвета, страница 147, номер 3.14, Решение (продолжение 2) Алгебра, 9 класс Учебник, авторы: Арефьева Ирина Глебовна, Пирютко Ольга Николаевна, издательство Народная асвета, Минск, 2019, голубого цвета, страница 147, номер 3.14, Решение (продолжение 3)
Решение 2. №3.14 (с. 147)

а) Решим уравнение $\frac{x}{x+3} = \frac{1}{x-1}$.
1. Найдем область допустимых значений (ОДЗ). Знаменатели не могут быть равны нулю:
$x+3 \neq 0 \Rightarrow x \neq -3$
$x-1 \neq 0 \Rightarrow x \neq 1$
Таким образом, ОДЗ: $x \in (-\infty; -3) \cup (-3; 1) \cup (1; +\infty)$.
2. Используем основное свойство пропорции (перекрестное умножение):
$x(x-1) = 1 \cdot (x+3)$
3. Раскроем скобки и приведем уравнение к стандартному квадратному виду:
$x^2 - x = x + 3$
$x^2 - 2x - 3 = 0$
4. Решим полученное квадратное уравнение. По теореме Виета, сумма корней равна $2$, а их произведение равно $-3$. Следовательно, корни уравнения:
$x_1 = 3$, $x_2 = -1$.
5. Проверим, удовлетворяют ли найденные корни ОДЗ. Оба корня ($3$ и $-1$) не равны $-3$ и $1$, следовательно, они являются решениями исходного уравнения.
Ответ: -1; 3.

б) Решим уравнение $\frac{x+10}{2-x} = \frac{x-2}{x}$.
1. Найдем ОДЗ:
$2-x \neq 0 \Rightarrow x \neq 2$
$x \neq 0$
ОДЗ: $x \in (-\infty; 0) \cup (0; 2) \cup (2; +\infty)$.
2. Применим правило перекрестного умножения:
$x(x+10) = (x-2)(2-x)$
3. Раскроем скобки. Заметим, что $(2-x) = -(x-2)$:
$x^2 + 10x = -(x-2)^2$
$x^2 + 10x = -(x^2 - 4x + 4)$
$x^2 + 10x = -x^2 + 4x - 4$
$2x^2 + 6x + 4 = 0$
4. Разделим обе части уравнения на 2:
$x^2 + 3x + 2 = 0$
По теореме Виета, сумма корней равна $-3$, а произведение $2$. Корни:
$x_1 = -1$, $x_2 = -2$.
5. Оба корня ($-1$ и $-2$) удовлетворяют ОДЗ, так как они не равны $2$ и $0$.
Ответ: -2; -1.

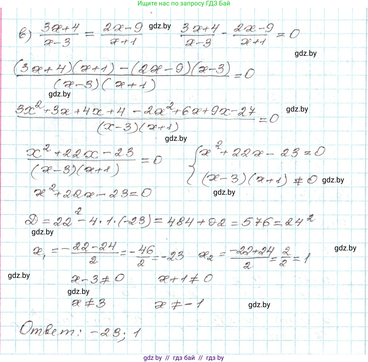
в) Решим уравнение $\frac{3x+4}{x-3} = \frac{2x-9}{x+1}$.
1. Найдем ОДЗ:
$x-3 \neq 0 \Rightarrow x \neq 3$
$x+1 \neq 0 \Rightarrow x \neq -1$
ОДЗ: $x \in (-\infty; -1) \cup (-1; 3) \cup (3; +\infty)$.
2. Применим правило перекрестного умножения:
$(3x+4)(x+1) = (2x-9)(x-3)$
3. Раскроем скобки и упростим выражение:
$3x^2 + 3x + 4x + 4 = 2x^2 - 6x - 9x + 27$
$3x^2 + 7x + 4 = 2x^2 - 15x + 27$
$x^2 + 22x - 23 = 0$
4. Решим квадратное уравнение с помощью дискриминанта:
$D = b^2 - 4ac = 22^2 - 4(1)(-23) = 484 + 92 = 576 = 24^2$
$x_{1,2} = \frac{-b \pm \sqrt{D}}{2a} = \frac{-22 \pm 24}{2}$
$x_1 = \frac{-22 + 24}{2} = \frac{2}{2} = 1$
$x_2 = \frac{-22 - 24}{2} = \frac{-46}{2} = -23$
5. Оба корня ($1$ и $-23$) удовлетворяют ОДЗ.
Ответ: -23; 1.

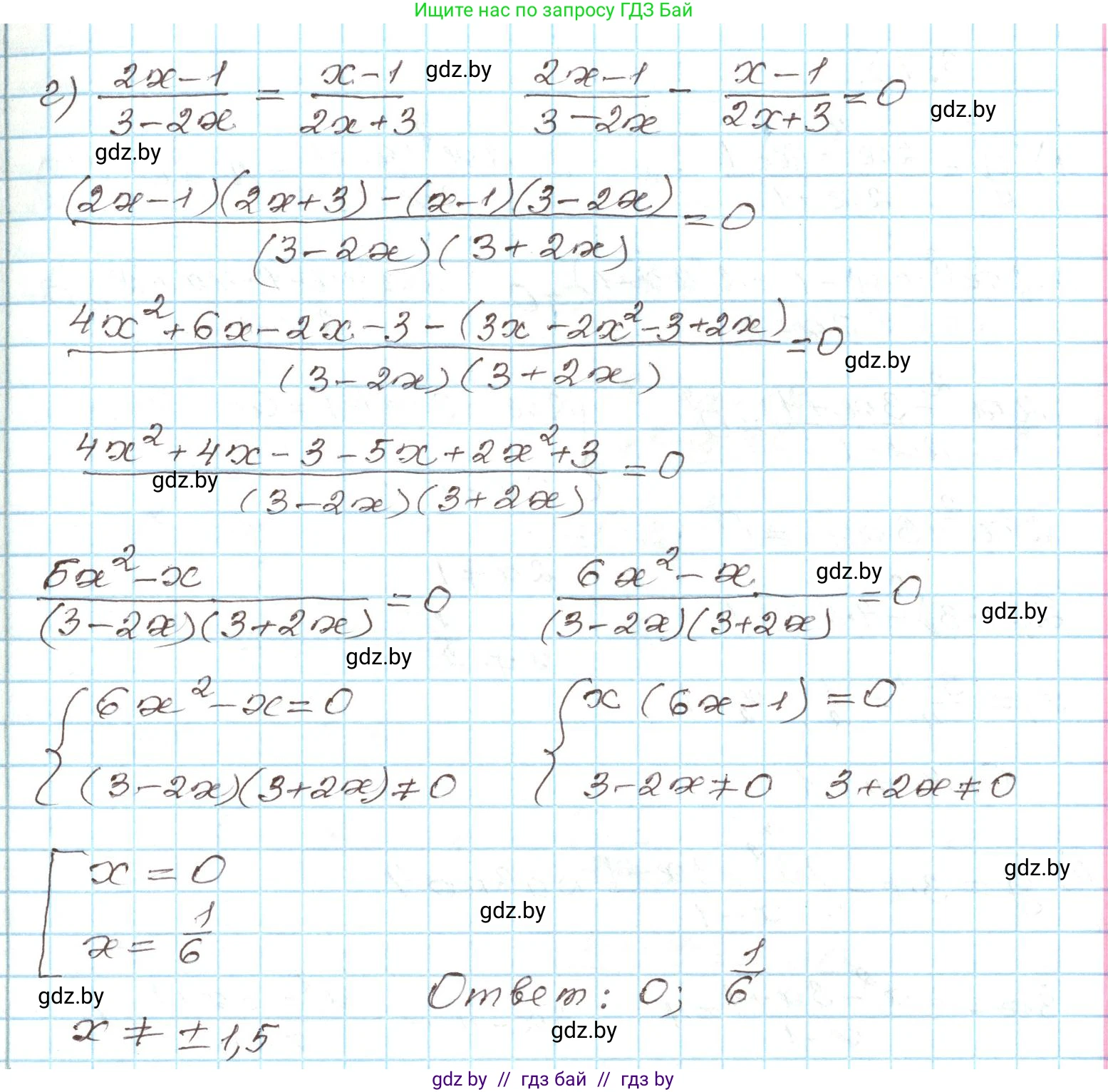
г) Решим уравнение $\frac{2x-1}{3-2x} = \frac{x-1}{2x+3}$.
1. Найдем ОДЗ:
$3-2x \neq 0 \Rightarrow 2x \neq 3 \Rightarrow x \neq \frac{3}{2}$
$2x+3 \neq 0 \Rightarrow 2x \neq -3 \Rightarrow x \neq -\frac{3}{2}$
ОДЗ: $x \in (-\infty; -1.5) \cup (-1.5; 1.5) \cup (1.5; +\infty)$.
2. Применим правило перекрестного умножения:
$(2x-1)(2x+3) = (x-1)(3-2x)$
3. Раскроем скобки и приведем подобные слагаемые:
$4x^2 + 6x - 2x - 3 = 3x - 2x^2 - 3 + 2x$
$4x^2 + 4x - 3 = -2x^2 + 5x - 3$
$6x^2 - x = 0$
4. Решим неполное квадратное уравнение, вынеся $x$ за скобку:
$x(6x-1) = 0$
Произведение равно нулю, если один из множителей равен нулю:
$x_1 = 0$ или $6x-1=0 \Rightarrow x_2 = \frac{1}{6}$
5. Проверим корни по ОДЗ. Оба корня ($0$ и $\frac{1}{6}$) удовлетворяют условиям $x \neq \frac{3}{2}$ и $x \neq -\frac{3}{2}$.
Ответ: 0; $\frac{1}{6}$.

Помогло решение? Оставьте отзыв в комментариях ниже.

Присоединяйтесь к Телеграм-группе @gdz_by_belarus

Присоединиться

Мы подготовили для вас ответ c подробным объяснением домашего задания по алгебре за 9 класс, для упражнения номер 3.14 расположенного на странице 147 к учебнику 2019 года издания для учащихся школ и гимназий.

Теперь на нашем сайте ГДЗ.ТОП вы всегда легко и бесплатно найдёте условие с правильным ответом на вопрос «Как решить ДЗ» и «Как сделать» задание по алгебре к упражнению №3.14 (с. 147), авторов: Арефьева (Ирина Глебовна), Пирютко (Ольга Николаевна), учебного пособия издательства Народная асвета.