Номер 3.12, страница 146 - гдз по алгебре 9 класс учебник Арефьева, Пирютко

Алгебра, 9 класс Учебник, авторы: Арефьева Ирина Глебовна, Пирютко Ольга Николаевна, издательство Народная асвета, Минск, 2019, голубого цвета

Авторы: Арефьева И. Г., Пирютко О. Н.

Тип: Учебник

Издательство: Народная асвета

Год издания: 2019 - 2025

Цвет обложки: голубой, синий с графиком

ISBN: 978-985-03-3077-2

Допущено Министерством образования Республики Беларусь

Популярные ГДЗ в 9 классе

Глава 3. Дробно-рациональные уравнения и неравенства. Параграф 10. Дробно-рациональные уравнения - номер 3.12, страница 146.

№3.12 (с. 146)
Условие. №3.12 (с. 146)
скриншот условия
Алгебра, 9 класс Учебник, авторы: Арефьева Ирина Глебовна, Пирютко Ольга Николаевна, издательство Народная асвета, Минск, 2019, голубого цвета, страница 146, номер 3.12, Условие

3.12. Найдите корни уравнения:

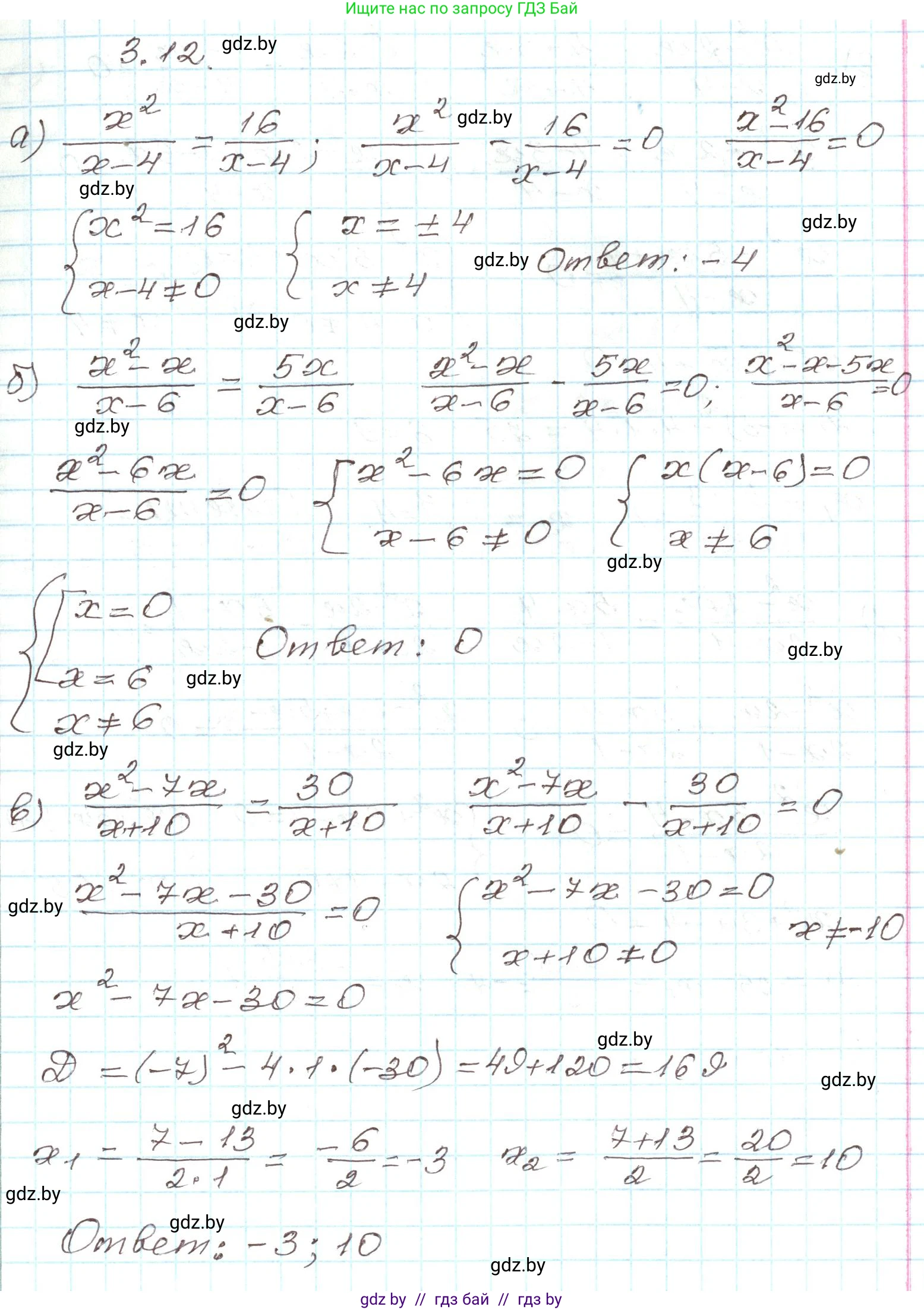
а) $\frac{x^2}{x - 4} = \frac{16}{x - 4}$;

б) $\frac{x^2 - x}{x - 6} = \frac{5x}{x - 6}$;

в) $\frac{x^2 - 7x}{x + 10} = \frac{30}{x + 10}$;

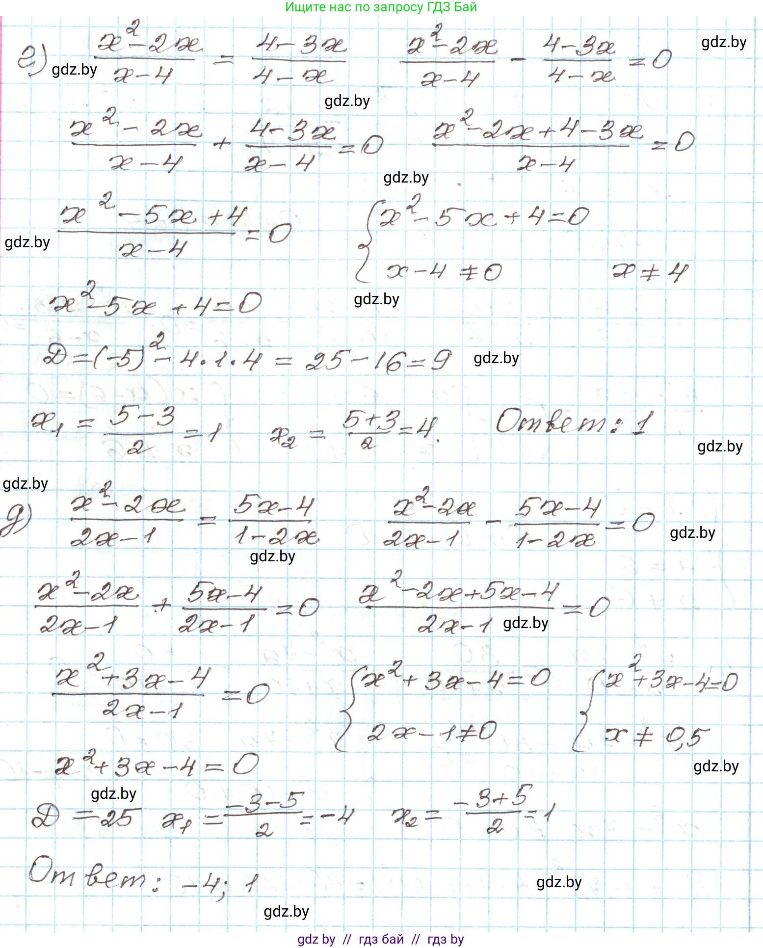
г) $\frac{x^2 - 2x}{x - 4} = \frac{4 - 3x}{4 - x}$;

д) $\frac{x^2 - 2x}{2x - 1} = \frac{5x - 4}{1 - 2x}$;

е) $\frac{x^2 + 2x}{x^2 - 3x} = \frac{x - 18}{3x - x^2}$;

Решение. №3.12 (с. 146)
Алгебра, 9 класс Учебник, авторы: Арефьева Ирина Глебовна, Пирютко Ольга Николаевна, издательство Народная асвета, Минск, 2019, голубого цвета, страница 146, номер 3.12, Решение Алгебра, 9 класс Учебник, авторы: Арефьева Ирина Глебовна, Пирютко Ольга Николаевна, издательство Народная асвета, Минск, 2019, голубого цвета, страница 146, номер 3.12, Решение (продолжение 2) Алгебра, 9 класс Учебник, авторы: Арефьева Ирина Глебовна, Пирютко Ольга Николаевна, издательство Народная асвета, Минск, 2019, голубого цвета, страница 146, номер 3.12, Решение (продолжение 3)
Решение 2. №3.12 (с. 146)

а) Исходное уравнение:$$ \frac{x^2}{x-4} = \frac{16}{x-4} $$Область допустимых значений (ОДЗ) определяется условием, что знаменатель не равен нулю:$$ x - 4 \neq 0 \implies x \neq 4 $$Так как знаменатели в обеих частях уравнения одинаковы, мы можем приравнять числители:$$ x^2 = 16 $$Это уравнение имеет два корня:$$ x_1 = 4, \quad x_2 = -4 $$Проверим найденные корни на соответствие ОДЗ. Корень $x_1 = 4$ не входит в ОДЗ, так как при этом значении знаменатель обращается в ноль. Следовательно, $x = 4$ является посторонним корнем. Корень $x_2 = -4$ удовлетворяет ОДЗ.
Ответ: -4

б) Исходное уравнение:$$ \frac{x^2 - x}{x - 6} = \frac{5x}{x - 6} $$ОДЗ:$$ x - 6 \neq 0 \implies x \neq 6 $$Приравниваем числители, так как знаменатели равны:$$ x^2 - x = 5x $$Переносим все члены в левую часть:$$ x^2 - x - 5x = 0 $$$$ x^2 - 6x = 0 $$Выносим общий множитель $x$ за скобки:$$ x(x - 6) = 0 $$Получаем два корня:$$ x_1 = 0, \quad x_2 = 6 $$Проверяем корни по ОДЗ. Корень $x_1 = 0$ удовлетворяет условию $x \neq 6$. Корень $x_2 = 6$ не удовлетворяет ОДЗ, поэтому является посторонним.
Ответ: 0

в) Исходное уравнение:$$ \frac{x^2 - 7x}{x + 10} = \frac{30}{x + 10} $$ОДЗ:$$ x + 10 \neq 0 \implies x \neq -10 $$Приравниваем числители:$$ x^2 - 7x = 30 $$$$ x^2 - 7x - 30 = 0 $$Решим полученное квадратное уравнение. Воспользуемся теоремой Виета: сумма корней равна 7, а их произведение равно -30.$$ x_1 + x_2 = 7 $$$$ x_1 \cdot x_2 = -30 $$Подбором находим корни:$$ x_1 = 10, \quad x_2 = -3 $$Оба корня удовлетворяют ОДЗ ($x \neq -10$).
Ответ: -3; 10

г) Исходное уравнение:$$ \frac{x^2 - 2x}{x - 4} = \frac{4 - 3x}{4 - x} $$Обратим внимание на знаменатели. Заметим, что $4 - x = -(x - 4)$. Преобразуем правую часть уравнения:$$ \frac{4 - 3x}{-(x - 4)} = -\frac{4 - 3x}{x - 4} = \frac{-(4 - 3x)}{x - 4} = \frac{3x - 4}{x - 4} $$Теперь уравнение имеет вид:$$ \frac{x^2 - 2x}{x - 4} = \frac{3x - 4}{x - 4} $$ОДЗ:$$ x - 4 \neq 0 \implies x \neq 4 $$Приравниваем числители:$$ x^2 - 2x = 3x - 4 $$$$ x^2 - 5x + 4 = 0 $$По теореме Виета: сумма корней равна 5, произведение равно 4.$$ x_1 + x_2 = 5 $$$$ x_1 \cdot x_2 = 4 $$Корни уравнения:$$ x_1 = 1, \quad x_2 = 4 $$Проверяем корни по ОДЗ. Корень $x_1 = 1$ удовлетворяет условию. Корень $x_2 = 4$ не удовлетворяет ОДЗ и является посторонним.
Ответ: 1

д) Исходное уравнение:$$ \frac{x^2 - 2x}{2x - 1} = \frac{5x - 4}{1 - 2x} $$Знаменатель правой части $1 - 2x = -(2x - 1)$. Преобразуем уравнение:$$ \frac{x^2 - 2x}{2x - 1} = \frac{5x - 4}{-(2x - 1)} $$$$ \frac{x^2 - 2x}{2x - 1} = \frac{-(5x - 4)}{2x - 1} $$$$ \frac{x^2 - 2x}{2x - 1} = \frac{4 - 5x}{2x - 1} $$ОДЗ:$$ 2x - 1 \neq 0 \implies 2x \neq 1 \implies x \neq \frac{1}{2} $$Приравниваем числители:$$ x^2 - 2x = 4 - 5x $$$$ x^2 + 3x - 4 = 0 $$По теореме Виета: сумма корней равна -3, произведение равно -4.$$ x_1 + x_2 = -3 $$$$ x_1 \cdot x_2 = -4 $$Корни уравнения:$$ x_1 = 1, \quad x_2 = -4 $$Оба корня удовлетворяют ОДЗ ($x \neq \frac{1}{2}$).
Ответ: -4; 1

е) Исходное уравнение:$$ \frac{x^2 + 2x}{x^2 - 3x} = \frac{x - 18}{3x - x^2} $$Знаменатель правой части $3x - x^2 = -(x^2 - 3x)$. Преобразуем уравнение:$$ \frac{x^2 + 2x}{x^2 - 3x} = \frac{x - 18}{-(x^2 - 3x)} $$$$ \frac{x^2 + 2x}{x^2 - 3x} = \frac{-(x - 18)}{x^2 - 3x} $$$$ \frac{x^2 + 2x}{x^2 - 3x} = \frac{18 - x}{x^2 - 3x} $$ОДЗ:$$ x^2 - 3x \neq 0 \implies x(x - 3) \neq 0 \implies x \neq 0 \text{ и } x \neq 3 $$Приравниваем числители:$$ x^2 + 2x = 18 - x $$$$ x^2 + 3x - 18 = 0 $$По теореме Виета: сумма корней равна -3, произведение равно -18.$$ x_1 + x_2 = -3 $$$$ x_1 \cdot x_2 = -18 $$Корни уравнения:$$ x_1 = 3, \quad x_2 = -6 $$Проверяем корни по ОДЗ. Корень $x_1 = 3$ не удовлетворяет условию $x \neq 3$ и является посторонним. Корень $x_2 = -6$ удовлетворяет ОДЗ.
Ответ: -6

Помогло решение? Оставьте отзыв в комментариях ниже.

Присоединяйтесь к Телеграм-группе @gdz_by_belarus

Присоединиться

Мы подготовили для вас ответ c подробным объяснением домашего задания по алгебре за 9 класс, для упражнения номер 3.12 расположенного на странице 146 к учебнику 2019 года издания для учащихся школ и гимназий.

Теперь на нашем сайте ГДЗ.ТОП вы всегда легко и бесплатно найдёте условие с правильным ответом на вопрос «Как решить ДЗ» и «Как сделать» задание по алгебре к упражнению №3.12 (с. 146), авторов: Арефьева (Ирина Глебовна), Пирютко (Ольга Николаевна), учебного пособия издательства Народная асвета.