Номер 3.5, страница 145 - гдз по алгебре 9 класс учебник Арефьева, Пирютко

Алгебра, 9 класс Учебник, авторы: Арефьева Ирина Глебовна, Пирютко Ольга Николаевна, издательство Народная асвета, Минск, 2019, голубого цвета

Авторы: Арефьева И. Г., Пирютко О. Н.

Тип: Учебник

Издательство: Народная асвета

Год издания: 2019 - 2025

Цвет обложки: голубой, синий с графиком

ISBN: 978-985-03-3077-2

Допущено Министерством образования Республики Беларусь

Популярные ГДЗ в 9 классе

Глава 3. Дробно-рациональные уравнения и неравенства. Параграф 10. Дробно-рациональные уравнения - номер 3.5, страница 145.

№3.5 (с. 145)
Условие. №3.5 (с. 145)
скриншот условия
Алгебра, 9 класс Учебник, авторы: Арефьева Ирина Глебовна, Пирютко Ольга Николаевна, издательство Народная асвета, Минск, 2019, голубого цвета, страница 145, номер 3.5, Условие

3.5. Решите уравнение, используя условие равенства дроби нулю:

а) $\frac{x+2}{x-2} = 0;$

б) $\frac{3x-1}{x} = 0;$

в) $\frac{x^2-9}{x-3} = 0;$

г) $\frac{x-7}{x^2-49} = 0;$

д) $\frac{x^2-6x}{2x-12} = 0;$

е) $\frac{x^2+7x}{x^2} = 0;$

ж) $\frac{x^2-6x+5}{x-1} = 0;$

з) $\frac{x^2-4}{x^2-5x+6} = 0.$

Решение. №3.5 (с. 145)
Алгебра, 9 класс Учебник, авторы: Арефьева Ирина Глебовна, Пирютко Ольга Николаевна, издательство Народная асвета, Минск, 2019, голубого цвета, страница 145, номер 3.5, Решение Алгебра, 9 класс Учебник, авторы: Арефьева Ирина Глебовна, Пирютко Ольга Николаевна, издательство Народная асвета, Минск, 2019, голубого цвета, страница 145, номер 3.5, Решение (продолжение 2)
Решение 2. №3.5 (с. 145)

Основное условие равенства дроби нулю: дробь равна нулю тогда и только тогда, когда ее числитель равен нулю, а знаменатель при этом не равен нулю. Это можно записать в виде системы:

$\frac{A(x)}{B(x)} = 0 \iff \begin{cases} A(x) = 0 \\ B(x) \neq 0 \end{cases}$

Решим каждое уравнение, используя это правило.

а) Дано уравнение $\frac{x+2}{x-2} = 0$.

Приравниваем числитель к нулю и проверяем, чтобы знаменатель не был равен нулю:

$\begin{cases} x + 2 = 0 \\ x - 2 \neq 0 \end{cases}$

Из первого уравнения получаем: $x = -2$.

Подставляем это значение во второе условие: $-2 - 2 = -4 \neq 0$. Условие выполняется.

Ответ: -2.

б) Дано уравнение $\frac{3x-1}{x} = 0$.

Составим систему:

$\begin{cases} 3x - 1 = 0 \\ x \neq 0 \end{cases}$

Из первого уравнения получаем: $3x = 1 \implies x = \frac{1}{3}$.

Проверяем второе условие: $\frac{1}{3} \neq 0$. Условие выполняется.

Ответ: $\frac{1}{3}$.

в) Дано уравнение $\frac{x^2-9}{x-3} = 0$.

Составим систему:

$\begin{cases} x^2 - 9 = 0 \\ x - 3 \neq 0 \end{cases}$

Решаем первое уравнение: $x^2 = 9$, откуда $x_1 = 3$ и $x_2 = -3$.

Из второго условия имеем: $x \neq 3$.

Корень $x_1 = 3$ не удовлетворяет условию $x \neq 3$, поэтому он является посторонним. Остается только один корень.

Ответ: -3.

г) Дано уравнение $\frac{x-7}{x^2-49} = 0$.

Составим систему:

$\begin{cases} x - 7 = 0 \\ x^2 - 49 \neq 0 \end{cases}$

Из первого уравнения получаем: $x = 7$.

Проверяем второе условие. Знаменатель $x^2 - 49 = (x-7)(x+7)$ не должен быть равен нулю, то есть $x \neq 7$ и $x \neq -7$.

Корень $x = 7$, полученный из числителя, обращает знаменатель в ноль, поэтому он не является решением.

Ответ: решений нет.

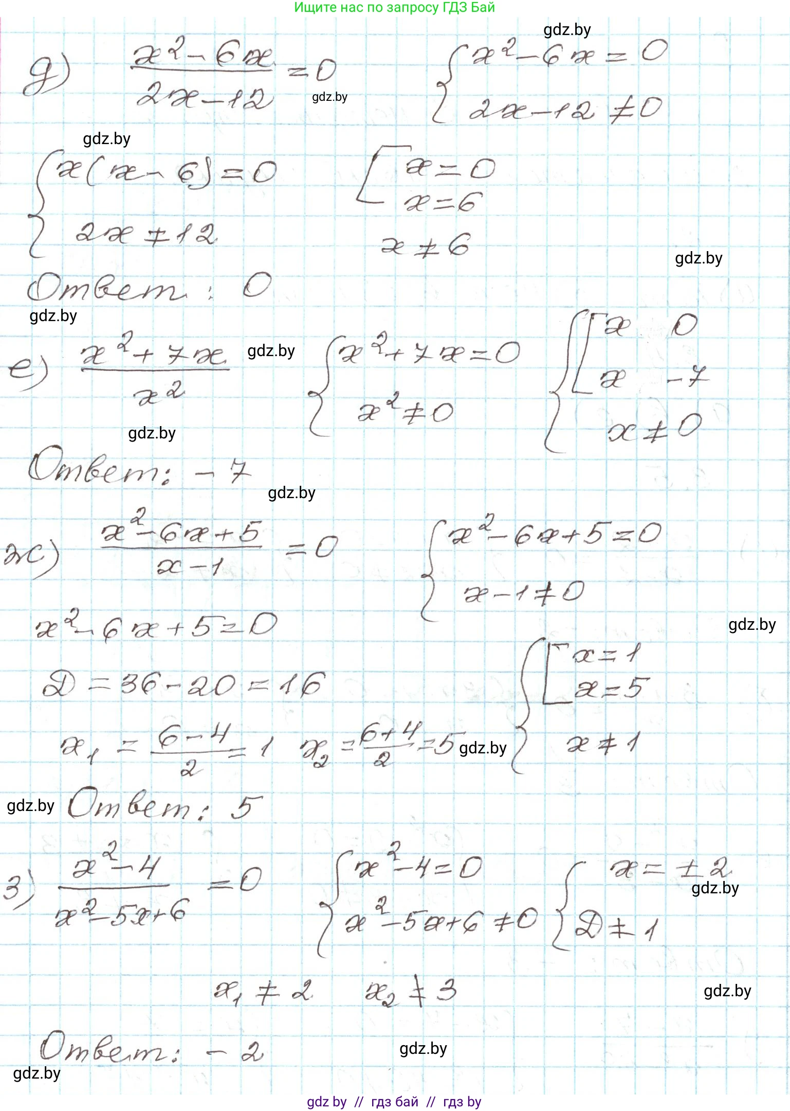
д) Дано уравнение $\frac{x^2-6x}{2x-12} = 0$.

Составим систему:

$\begin{cases} x^2 - 6x = 0 \\ 2x - 12 \neq 0 \end{cases}$

Решаем первое уравнение: $x(x - 6) = 0$, откуда $x_1 = 0$ и $x_2 = 6$.

Из второго условия имеем: $2(x - 6) \neq 0$, то есть $x \neq 6$.

Корень $x_2 = 6$ является посторонним. Остается только один корень.

Ответ: 0.

е) Дано уравнение $\frac{x^2+7x}{x^2} = 0$.

Составим систему:

$\begin{cases} x^2 + 7x = 0 \\ x^2 \neq 0 \end{cases}$

Решаем первое уравнение: $x(x + 7) = 0$, откуда $x_1 = 0$ и $x_2 = -7$.

Из второго условия имеем: $x \neq 0$.

Корень $x_1 = 0$ является посторонним. Остается только один корень.

Ответ: -7.

ж) Дано уравнение $\frac{x^2-6x+5}{x-1} = 0$.

Составим систему:

$\begin{cases} x^2 - 6x + 5 = 0 \\ x - 1 \neq 0 \end{cases}$

Решаем первое уравнение. По теореме Виета, сумма корней равна 6, а их произведение равно 5. Следовательно, корни $x_1 = 1$ и $x_2 = 5$.

Из второго условия имеем: $x \neq 1$.

Корень $x_1 = 1$ является посторонним. Остается только один корень.

Ответ: 5.

з) Дано уравнение $\frac{x^2-4}{x^2-5x+6} = 0$.

Составим систему:

$\begin{cases} x^2 - 4 = 0 \\ x^2 - 5x + 6 \neq 0 \end{cases}$

Решаем первое уравнение: $x^2 = 4$, откуда $x_1 = 2$ и $x_2 = -2$.

Находим корни знаменателя. Для уравнения $x^2 - 5x + 6 = 0$ по теореме Виета корни $x_3 = 2$ и $x_4 = 3$. Значит, условие на знаменатель: $x \neq 2$ и $x \neq 3$.

Сравнивая корни числителя с ограничениями, видим, что корень $x_1 = 2$ является посторонним. Остается только один корень.

Ответ: -2.

Помогло решение? Оставьте отзыв в комментариях ниже.

Присоединяйтесь к Телеграм-группе @gdz_by_belarus

Присоединиться

Мы подготовили для вас ответ c подробным объяснением домашего задания по алгебре за 9 класс, для упражнения номер 3.5 расположенного на странице 145 к учебнику 2019 года издания для учащихся школ и гимназий.

Теперь на нашем сайте ГДЗ.ТОП вы всегда легко и бесплатно найдёте условие с правильным ответом на вопрос «Как решить ДЗ» и «Как сделать» задание по алгебре к упражнению №3.5 (с. 145), авторов: Арефьева (Ирина Глебовна), Пирютко (Ольга Николаевна), учебного пособия издательства Народная асвета.