Номер 3.198, страница 197 - гдз по алгебре 9 класс учебник Арефьева, Пирютко

Алгебра, 9 класс Учебник, авторы: Арефьева Ирина Глебовна, Пирютко Ольга Николаевна, издательство Народная асвета, Минск, 2019, голубого цвета

Авторы: Арефьева И. Г., Пирютко О. Н.

Тип: Учебник

Издательство: Народная асвета

Год издания: 2019 - 2025

Цвет обложки: голубой, синий с графиком

ISBN: 978-985-03-3077-2

Допущено Министерством образования Республики Беларусь

Популярные ГДЗ в 9 классе

Глава 3. Дробно-рациональные уравнения и неравенства. Параграф 13. Дробно-рациональные неравенства. Метод интервалов для решения рациональных неравенств - номер 3.198, страница 197.

№3.198 (с. 197)
Условие. №3.198 (с. 197)
скриншот условия
Алгебра, 9 класс Учебник, авторы: Арефьева Ирина Глебовна, Пирютко Ольга Николаевна, издательство Народная асвета, Минск, 2019, голубого цвета, страница 197, номер 3.198, Условие

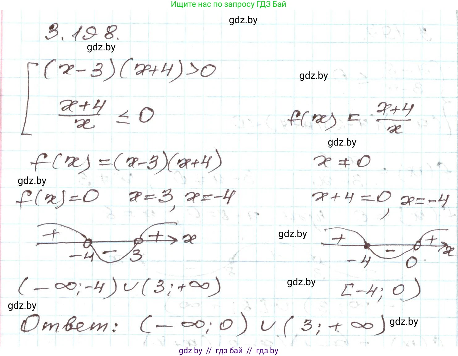
3.198. Решите совокупность неравенств

$\begin{cases} (x-3)(x+4)>0, \\ \frac{x+4}{x} \le 0. \end{cases}$

Решение. №3.198 (с. 197)
Алгебра, 9 класс Учебник, авторы: Арефьева Ирина Глебовна, Пирютко Ольга Николаевна, издательство Народная асвета, Минск, 2019, голубого цвета, страница 197, номер 3.198, Решение
Решение 2. №3.198 (с. 197)

Требуется решить совокупность неравенств, что означает найти объединение множеств решений каждого из неравенств. $$ \left[ \begin{aligned} (x - 3)(x + 4) > 0 \\ \frac{x + 4}{x} \le 0 \end{aligned} \right. $$

1. Решим первое неравенство: $(x - 3)(x + 4) > 0$.
Это квадратное неравенство. Корни соответствующего уравнения $(x-3)(x+4)=0$ равны $x_1 = 3$ и $x_2 = -4$. Графиком функции $y=(x-3)(x+4)$ является парабола, ветви которой направлены вверх. Следовательно, выражение положительно при значениях $x$ вне интервала между корнями.
Решением этого неравенства является объединение интервалов: $x \in (-\infty, -4) \cup (3, +\infty)$.

2. Решим второе неравенство: $\frac{x + 4}{x} \le 0$.
Это рациональное неравенство, решим его методом интервалов.

  • Нуль числителя: $x + 4 = 0 \implies x = -4$. Эта точка входит в решение, так как неравенство нестрогое.
  • Нуль знаменателя: $x = 0$. Эта точка исключается из решения, так как на ноль делить нельзя.

На числовой оси отмечаем точки $-4$ и $0$ и определяем знаки дроби на полученных интервалах. Выражение $\frac{x+4}{x}$ будет меньше или равно нулю на интервале, включающем корень числителя и не включающем корень знаменателя.
Решением этого неравенства является полуинтервал: $x \in [-4, 0)$.

3. Объединим полученные решения.
Решением исходной совокупности является объединение решений первого и второго неравенств: $$ S = ((-\infty, -4) \cup (3, +\infty)) \cup [-4, 0) $$ Объединяя интервалы $(-\infty, -4)$ и $[-4, 0)$, получаем один сплошной интервал $(-\infty, 0)$. Интервал $(3, +\infty)$ также является частью решения.

Ответ: $x \in (-\infty, 0) \cup (3, +\infty)$.

3.199.

Условие задачи для этого номера на изображении не представлено.

Ответ: Невозможно решить, так как условие отсутствует.

Помогло решение? Оставьте отзыв в комментариях ниже.

Присоединяйтесь к Телеграм-группе @gdz_by_belarus

Присоединиться

Мы подготовили для вас ответ c подробным объяснением домашего задания по алгебре за 9 класс, для упражнения номер 3.198 расположенного на странице 197 к учебнику 2019 года издания для учащихся школ и гимназий.

Теперь на нашем сайте ГДЗ.ТОП вы всегда легко и бесплатно найдёте условие с правильным ответом на вопрос «Как решить ДЗ» и «Как сделать» задание по алгебре к упражнению №3.198 (с. 197), авторов: Арефьева (Ирина Глебовна), Пирютко (Ольга Николаевна), учебного пособия издательства Народная асвета.