Номер 3.199, страница 197 - гдз по алгебре 9 класс учебник Арефьева, Пирютко

Алгебра, 9 класс Учебник, авторы: Арефьева Ирина Глебовна, Пирютко Ольга Николаевна, издательство Народная асвета, Минск, 2019, голубого цвета

Авторы: Арефьева И. Г., Пирютко О. Н.

Тип: Учебник

Издательство: Народная асвета

Год издания: 2019 - 2025

Цвет обложки: голубой, синий с графиком

ISBN: 978-985-03-3077-2

Допущено Министерством образования Республики Беларусь

Популярные ГДЗ в 9 классе

Глава 3. Дробно-рациональные уравнения и неравенства. Параграф 13. Дробно-рациональные неравенства. Метод интервалов для решения рациональных неравенств - номер 3.199, страница 197.

№3.199 (с. 197)
Условие. №3.199 (с. 197)
скриншот условия
Алгебра, 9 класс Учебник, авторы: Арефьева Ирина Глебовна, Пирютко Ольга Николаевна, издательство Народная асвета, Минск, 2019, голубого цвета, страница 197, номер 3.199, Условие

3.199. Решите неравенство: $ \left[ \frac{}{x} \leq 0. $

а) $(x-5)^2(x+3) \leq 0;$

б) $x^2(x-9) < 0;$

в) $(x-9)(x-7)^2(x+6) \geq 0;$

г) $(3x+7)(8-x)(x-2)^2 \geq 0.$

Решение. №3.199 (с. 197)
Алгебра, 9 класс Учебник, авторы: Арефьева Ирина Глебовна, Пирютко Ольга Николаевна, издательство Народная асвета, Минск, 2019, голубого цвета, страница 197, номер 3.199, Решение Алгебра, 9 класс Учебник, авторы: Арефьева Ирина Глебовна, Пирютко Ольга Николаевна, издательство Народная асвета, Минск, 2019, голубого цвета, страница 197, номер 3.199, Решение (продолжение 2)
Решение 2. №3.199 (с. 197)

а) Решим неравенство $(x-5)^2(x+3) \le 0$ методом интервалов.

1. Находим нули функции $f(x) = (x-5)^2(x+3)$:

  • $(x-5)^2 = 0 \implies x_1 = 5$ (корень кратности 2, то есть четной).
  • $x+3 = 0 \implies x_2 = -3$ (корень кратности 1, то есть нечетной).

2. Отмечаем корни на числовой оси. Поскольку неравенство нестрогое ($\le$), точки $x=-3$ и $x=5$ включаются в решение (закрашенные точки). При переходе через корень четной кратности ($x=5$) знак функции не меняется, а при переходе через корень нечетной кратности ($x=-3$) — меняется.

3. Определяем знак функции на крайнем правом интервале $(5, \infty)$. Для этого возьмем любую точку из этого интервала, например $x=6$:

$(6-5)^2(6+3) = 1^2 \cdot 9 = 9 > 0$.

Следовательно, на интервале $(5, \infty)$ функция положительна. Двигаясь справа налево по числовой оси, расставляем знаки на остальных интервалах:

  • Интервал $(5, \infty)$: +
  • Точка $x=5$ (четная кратность): знак не меняется.
  • Интервал $(-3, 5)$: +
  • Точка $x=-3$ (нечетная кратность): знак меняется.
  • Интервал $(-\infty, -3)$: -

4. Нам нужно найти значения $x$, при которых выражение меньше или равно нулю ($\le 0$). Это промежуток, где функция отрицательна, и точки, где она равна нулю.

  • Выражение отрицательно на $(-\infty, -3)$.
  • Выражение равно нулю в точках $x=-3$ и $x=5$.

Объединяя эти результаты, получаем решение.

Ответ: $(-\infty, -3] \cup \{5\}$

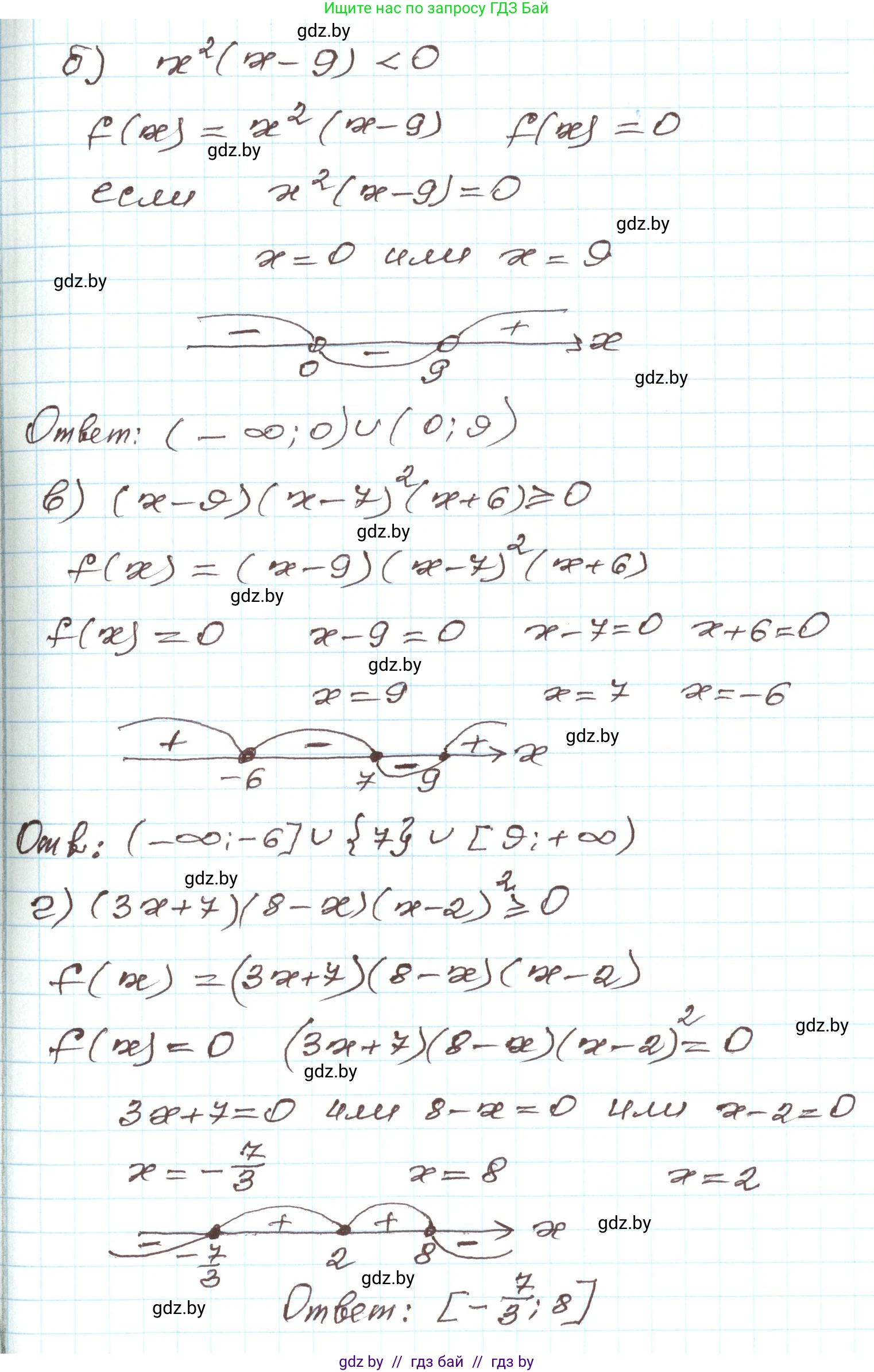
б) Решим неравенство $x^2(x-9) < 0$ методом интервалов.

1. Находим нули функции $f(x) = x^2(x-9)$:

  • $x^2 = 0 \implies x_1 = 0$ (корень кратности 2, четной).
  • $x-9 = 0 \implies x_2 = 9$ (корень кратности 1, нечетной).

2. Отмечаем корни на числовой оси. Поскольку неравенство строгое ($<$), точки $x=0$ и $x=9$ не включаются в решение (выколотые точки). При переходе через $x=0$ знак не меняется, при переходе через $x=9$ — меняется.

3. Определяем знак функции на крайнем правом интервале $(9, \infty)$. Возьмем $x=10$:

$10^2(10-9) = 100 \cdot 1 = 100 > 0$.

Расставляем знаки на остальных интервалах:

  • Интервал $(9, \infty)$: +
  • Точка $x=9$ (нечетная кратность): знак меняется.
  • Интервал $(0, 9)$: -
  • Точка $x=0$ (четная кратность): знак не меняется.
  • Интервал $(-\infty, 0)$: -

4. Нам нужно найти значения $x$, при которых выражение строго меньше нуля ($< 0$). Это промежутки, где функция отрицательна.

Выражение отрицательно на $(-\infty, 0)$ и на $(0, 9)$.

Ответ: $(-\infty, 0) \cup (0, 9)$

в) Решим неравенство $(x-9)(x-7)^2(x+6) \ge 0$ методом интервалов.

1. Находим нули функции $f(x) = (x-9)(x-7)^2(x+6)$:

  • $x-9 = 0 \implies x_1 = 9$ (корень кратности 1, нечетной).
  • $(x-7)^2 = 0 \implies x_2 = 7$ (корень кратности 2, четной).
  • $x+6 = 0 \implies x_3 = -6$ (корень кратности 1, нечетной).

2. Отмечаем корни на числовой оси в порядке возрастания: -6, 7, 9. Неравенство нестрогое ($\ge$), поэтому все точки включаются в решение. При переходе через $x=7$ знак не меняется, при переходе через $x=-6$ и $x=9$ — меняется.

3. Определяем знак функции на крайнем правом интервале $(9, \infty)$. Возьмем $x=10$:

$(10-9)(10-7)^2(10+6) = 1 \cdot 3^2 \cdot 16 > 0$.

Расставляем знаки на остальных интервалах:

  • Интервал $(9, \infty)$: +
  • Точка $x=9$ (нечетная кратность): знак меняется.
  • Интервал $(7, 9)$: -
  • Точка $x=7$ (четная кратность): знак не меняется.
  • Интервал $(-6, 7)$: -
  • Точка $x=-6$ (нечетная кратность): знак меняется.
  • Интервал $(-\infty, -6)$: +

4. Нам нужны значения $x$, при которых выражение больше или равно нулю ($\ge 0$). Это промежутки, где функция положительна, и точки, где она равна нулю.

  • Выражение положительно на $(-\infty, -6)$ и на $(9, \infty)$.
  • Выражение равно нулю в точках $x=-6, x=7, x=9$.

Объединяя результаты, получаем решение: $x \in (-\infty, -6] \cup \{7\} \cup [9, \infty)$.

Ответ: $(-\infty, -6] \cup \{7\} \cup [9, \infty)$

г) Решим неравенство $(3x+7)(8-x)(x-2)^2 \ge 0$.

1. Для удобства применения метода интервалов преобразуем множитель $(8-x)$, вынеся знак минус. Это необходимо, чтобы коэффициенты при $x$ во всех множителях были положительными.

$(3x+7)(-1)(x-8)(x-2)^2 \ge 0$

Умножим обе части неравенства на -1, при этом знак неравенства изменится на противоположный:

$(3x+7)(x-8)(x-2)^2 \le 0$

2. Найдём нули левой части, приравняв ее к нулю:

  • $3x+7 = 0 \implies x_1 = -\frac{7}{3}$ (корень нечетной кратности).
  • $x-8 = 0 \implies x_2 = 8$ (корень нечетной кратности).
  • $(x-2)^2 = 0 \implies x_3 = 2$ (корень четной кратности).

3. Отметим корни на числовой прямой: $-\frac{7}{3}$, 2, 8. Точки включаем в решение, так как неравенство нестрогое. Определим знаки на полученных интервалах. Для $x>8$ выражение $(3x+7)(x-8)(x-2)^2$ положительно. При переходе через корни нечетной кратности ($8$ и $-\frac{7}{3}$) знак меняется, а через корень четной кратности ($2$) — сохраняется.

Схема знаков для $(3x+7)(x-8)(x-2)^2$:

  • Интервал $(8, \infty)$: +
  • Интервал $(2, 8)$: -
  • Интервал $(-\frac{7}{3}, 2)$: -
  • Интервал $(-\infty, -\frac{7}{3})$: +

4. Нам нужно найти интервалы, где преобразованное выражение $\le 0$. Это объединение промежутков $[-\frac{7}{3}, 2]$ и $[2, 8]$, так как в точке $x=2$ выражение равно нулю, а на соседних интервалах отрицательно.

Таким образом, решение: $x \in [-\frac{7}{3}, 8]$.

Представим неправильную дробь $-\frac{7}{3}$ в виде смешанного числа: $-\frac{7}{3} = -2\frac{1}{3}$. Целая часть равна -2.

Ответ: $[-2\frac{1}{3}, 8]$

Помогло решение? Оставьте отзыв в комментариях ниже.

Присоединяйтесь к Телеграм-группе @gdz_by_belarus

Присоединиться

Мы подготовили для вас ответ c подробным объяснением домашего задания по алгебре за 9 класс, для упражнения номер 3.199 расположенного на странице 197 к учебнику 2019 года издания для учащихся школ и гимназий.

Теперь на нашем сайте ГДЗ.ТОП вы всегда легко и бесплатно найдёте условие с правильным ответом на вопрос «Как решить ДЗ» и «Как сделать» задание по алгебре к упражнению №3.199 (с. 197), авторов: Арефьева (Ирина Глебовна), Пирютко (Ольга Николаевна), учебного пособия издательства Народная асвета.