Номер 3.202, страница 198 - гдз по алгебре 9 класс учебник Арефьева, Пирютко

Алгебра, 9 класс Учебник, авторы: Арефьева Ирина Глебовна, Пирютко Ольга Николаевна, издательство Народная асвета, Минск, 2019, голубого цвета

Авторы: Арефьева И. Г., Пирютко О. Н.

Тип: Учебник

Издательство: Народная асвета

Год издания: 2019 - 2025

Цвет обложки: голубой, синий с графиком

ISBN: 978-985-03-3077-2

Допущено Министерством образования Республики Беларусь

Популярные ГДЗ в 9 классе

Глава 3. Дробно-рациональные уравнения и неравенства. Параграф 13. Дробно-рациональные неравенства. Метод интервалов для решения рациональных неравенств - номер 3.202, страница 198.

№3.202 (с. 198)
Условие. №3.202 (с. 198)
скриншот условия
Алгебра, 9 класс Учебник, авторы: Арефьева Ирина Глебовна, Пирютко Ольга Николаевна, издательство Народная асвета, Минск, 2019, голубого цвета, страница 198, номер 3.202, Условие

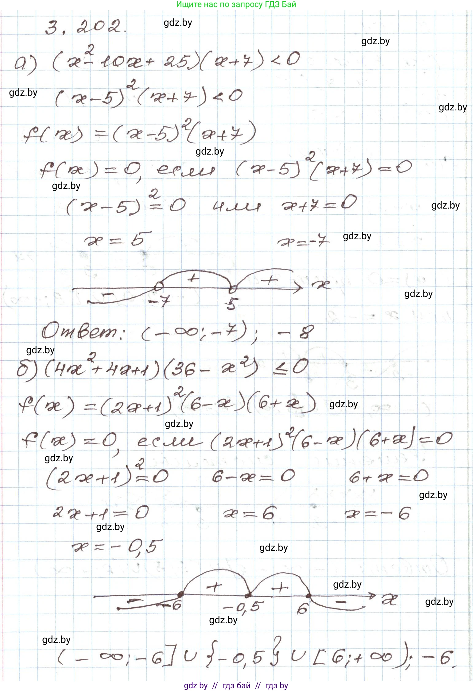
3.202. Найдите все значения переменной, при которых значение выражения:

а) $(x^2 - 10x + 25)(x + 7)$ отрицательно;

б) $(4x^2 + 4x + 1)(36 - x^2)$ неположительно.

Выберите наибольшее целое отрицательное решение каждого из этих неравенств.

Решение. №3.202 (с. 198)
Алгебра, 9 класс Учебник, авторы: Арефьева Ирина Глебовна, Пирютко Ольга Николаевна, издательство Народная асвета, Минск, 2019, голубого цвета, страница 198, номер 3.202, Решение
Решение 2. №3.202 (с. 198)

а) Требуется найти все значения переменной $x$, при которых выражение $(x^2 - 10x + 25)(x + 7)$ отрицательно. Это равносильно решению неравенства:

$(x^2 - 10x + 25)(x + 7) < 0$

Преобразуем первый множитель, который является полным квадратом разности:

$x^2 - 2 \cdot x \cdot 5 + 5^2 = (x - 5)^2$

Неравенство принимает вид:

$(x - 5)^2(x + 7) < 0$

Множитель $(x - 5)^2$ является квадратом и всегда неотрицателен, то есть $(x - 5)^2 \ge 0$. Чтобы произведение было строго отрицательным, необходимо выполнение двух условий одновременно:

  1. $(x - 5)^2 > 0$, откуда $x \ne 5$.
  2. $x + 7 < 0$, откуда $x < -7$.

Решением системы является пересечение условий $x < -7$ и $x \ne 5$. Так как все числа, меньшие $-7$, не равны $5$, решением будет $x < -7$.

В виде интервала это записывается как $x \in (-\infty; -7)$.

Теперь выберем наибольшее целое отрицательное решение. Это наибольшее целое число в интервале $(-\infty; -7)$. Таким числом является $-8$.

Ответ: -8


б) Требуется найти все значения переменной $x$, при которых выражение $(4x^2 + 4x + 1)(36 - x^2)$ неположительно. Это равносильно решению неравенства:

$(4x^2 + 4x + 1)(36 - x^2) \le 0$

Разложим оба множителя. Первый множитель является полным квадратом суммы, а второй — разностью квадратов:

$4x^2 + 4x + 1 = (2x)^2 + 2 \cdot 2x \cdot 1 + 1^2 = (2x + 1)^2$

$36 - x^2 = 6^2 - x^2 = (6 - x)(6 + x)$

Неравенство принимает вид:

$(2x + 1)^2(6 - x)(6 + x) \le 0$

Для решения используем метод интервалов. Найдем нули левой части неравенства:

  • $(2x + 1)^2 = 0 \implies x = -\frac{1}{2}$ (корень кратности 2)
  • $6 - x = 0 \implies x = 6$
  • $6 + x = 0 \implies x = -6$

Отметим эти точки на числовой прямой. Поскольку неравенство нестрогое, все точки будут включены в решение.

Множитель $(2x + 1)^2$ всегда $\ge 0$ и не влияет на знак произведения, за исключением точки $x = -\frac{1}{2}$, где он обнуляет все выражение. При переходе через эту точку знак неравенства не меняется.

Знак всего выражения зависит от знака произведения $(6 - x)(6 + x)$. График функции $y = 36 - x^2$ — парабола с ветвями вниз, она неположительна ($\le 0$) при $x \le -6$ и $x \ge 6$.

Таким образом, решение неравенства $(2x + 1)^2(36 - x^2) \le 0$ состоит из:

  • Интервалов, где $(36 - x^2) \le 0$, то есть $(-\infty, -6] \cup [6, \infty)$.
  • Точки, где $(2x + 1)^2 = 0$, то есть $x = -\frac{1}{2}$.

Объединяя, получаем полное решение: $x \in (-\infty, -6] \cup \{-\frac{1}{2}\} \cup [6, \infty)$.

Теперь выберем наибольшее целое отрицательное решение. Отрицательные решения — это интервал $(-\infty, -6]$ и точка $x = -\frac{1}{2}$. Целыми отрицательными решениями являются числа ..., $-8, -7, -6$. Наибольшее из них — это $-6$.

Ответ: -6

Помогло решение? Оставьте отзыв в комментариях ниже.

Присоединяйтесь к Телеграм-группе @gdz_by_belarus

Присоединиться

Мы подготовили для вас ответ c подробным объяснением домашего задания по алгебре за 9 класс, для упражнения номер 3.202 расположенного на странице 198 к учебнику 2019 года издания для учащихся школ и гимназий.

Теперь на нашем сайте ГДЗ.ТОП вы всегда легко и бесплатно найдёте условие с правильным ответом на вопрос «Как решить ДЗ» и «Как сделать» задание по алгебре к упражнению №3.202 (с. 198), авторов: Арефьева (Ирина Глебовна), Пирютко (Ольга Николаевна), учебного пособия издательства Народная асвета.