Номер 3.204, страница 198 - гдз по алгебре 9 класс учебник Арефьева, Пирютко

Алгебра, 9 класс Учебник, авторы: Арефьева Ирина Глебовна, Пирютко Ольга Николаевна, издательство Народная асвета, Минск, 2019, голубого цвета

Авторы: Арефьева И. Г., Пирютко О. Н.

Тип: Учебник

Издательство: Народная асвета

Год издания: 2019 - 2025

Цвет обложки: голубой, синий с графиком

ISBN: 978-985-03-3077-2

Допущено Министерством образования Республики Беларусь

Популярные ГДЗ в 9 классе

Глава 3. Дробно-рациональные уравнения и неравенства. Параграф 13. Дробно-рациональные неравенства. Метод интервалов для решения рациональных неравенств - номер 3.204, страница 198.

№3.204 (с. 198)
Условие. №3.204 (с. 198)
скриншот условия
Алгебра, 9 класс Учебник, авторы: Арефьева Ирина Глебовна, Пирютко Ольга Николаевна, издательство Народная асвета, Минск, 2019, голубого цвета, страница 198, номер 3.204, Условие

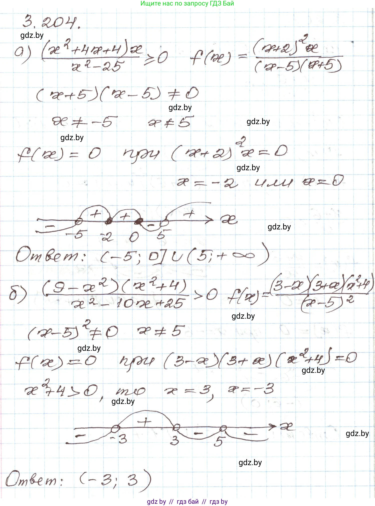
3.204. Решите неравенство:

a) $\frac{(x^2 + 4x + 4)x}{x^2 - 25} \ge 0;$

б) $\frac{(9 - x^2)(x^2 + 4)}{x^2 - 10x + 25} > 0.$

Решение. №3.204 (с. 198)
Алгебра, 9 класс Учебник, авторы: Арефьева Ирина Глебовна, Пирютко Ольга Николаевна, издательство Народная асвета, Минск, 2019, голубого цвета, страница 198, номер 3.204, Решение
Решение 2. №3.204 (с. 198)

a) Решим неравенство: $$ \frac{(x^2 + 4x + 4)x}{x^2 - 25} \ge 0 $$

1. Преобразуем числитель и знаменатель дроби, разложив их на множители. Выражение в скобках в числителе является полным квадратом: $x^2 + 4x + 4 = (x+2)^2$. Знаменатель является разностью квадратов: $x^2 - 25 = (x-5)(x+5)$.

После преобразования неравенство принимает вид: $$ \frac{(x+2)^2x}{(x-5)(x+5)} \ge 0 $$

2. Для решения используем метод интервалов. Найдем точки, в которых числитель или знаменатель обращаются в ноль.

Нули числителя: $(x+2)^2x = 0$, откуда $x_1 = -2$ и $x_2 = 0$. Так как неравенство нестрогое ($\ge$), эти точки являются решениями и на числовой оси будут закрашенными.

Нули знаменателя: $(x-5)(x+5) = 0$, откуда $x_3 = 5$ и $x_4 = -5$. Эти точки не входят в область допустимых значений, поэтому на числовой оси они будут выколотыми.

3. Отметим все найденные точки на числовой оси и определим знаки выражения на каждом из полученных интервалов. Точка $x = -2$ является корнем четной кратности (множитель $(x+2)^2$), поэтому при переходе через нее знак выражения на оси не меняется. Все остальные корни ($x=0, x=5, x=-5$) имеют нечетную кратность, и знак при переходе через них будет меняться.

Проверим знак в крайнем правом интервале, взяв $x=6$: $$ \frac{(6+2)^2 \cdot 6}{(6-5)(6+5)} = \frac{8^2 \cdot 6}{1 \cdot 11} > 0 $$ Значит, на интервале $(5, +\infty)$ выражение положительно.

Двигаясь справа налево по числовой оси, расставим знаки:
---(-)---(-5)---(+)---(-2)---(+)---(0)---(-)---(5)---(+)---> x

4. Выбираем интервалы, где значение выражения больше или равно нулю. Это объединение интервалов $(-5, 0]$ и $(5, +\infty)$. Интервал $(-5, 0]$ получается из объединения $(-5, -2) \cup \{-2\} \cup (-2, 0) \cup \{0\}$.

Ответ: $x \in (-5, 0] \cup (5, +\infty)$

б) Решим неравенство: $$ \frac{(9-x^2)(x^2+4)}{x^2-10x+25} > 0 $$

1. Преобразуем числитель и знаменатель. Заметим, что выражение $x^2+4$ всегда положительно при любом $x$ (так как $x^2 \ge 0$, то $x^2+4 \ge 4$). Мы можем разделить обе части неравенства на это положительное выражение, знак неравенства при этом не изменится. Оставшуюся часть числителя разложим как разность квадратов: $9-x^2 = (3-x)(3+x)$. Знаменатель является полным квадратом: $x^2-10x+25 = (x-5)^2$.

Таким образом, исходное неравенство равносильно следующему: $$ \frac{(3-x)(3+x)}{(x-5)^2} > 0 $$

2. Применим метод интервалов. Найдем нули числителя и знаменателя.

Нули числителя: $(3-x)(3+x)=0$, откуда $x_1=3$ и $x_2=-3$.

Нуль знаменателя: $(x-5)^2=0$, откуда $x_3=5$.

3. Отметим все точки на числовой оси. Так как неравенство строгое ($>$), все точки будут выколотыми. Точка $x=5$ является корнем четной кратности (от множителя $(x-5)^2$), поэтому знак при переходе через нее не меняется. Точки $x=3$ и $x=-3$ — корни нечетной кратности, знак меняется.

Определим знаки на интервалах. Возьмем пробную точку $x=6$: $$ \frac{(3-6)(3+6)}{(6-5)^2} = \frac{(-3)(9)}{1^2} < 0 $$ На интервале $(5, +\infty)$ выражение отрицательно.

Расставим знаки на числовой оси, двигаясь справа налево:
---(-)---(-3)---(+)---(3)---(-)---(5)---(-)---> x

4. Выбираем интервалы, где выражение строго больше нуля. Согласно схеме, это единственный интервал $(-3, 3)$.

Ответ: $x \in (-3, 3)$

Помогло решение? Оставьте отзыв в комментариях ниже.

Присоединяйтесь к Телеграм-группе @gdz_by_belarus

Присоединиться

Мы подготовили для вас ответ c подробным объяснением домашего задания по алгебре за 9 класс, для упражнения номер 3.204 расположенного на странице 198 к учебнику 2019 года издания для учащихся школ и гимназий.

Теперь на нашем сайте ГДЗ.ТОП вы всегда легко и бесплатно найдёте условие с правильным ответом на вопрос «Как решить ДЗ» и «Как сделать» задание по алгебре к упражнению №3.204 (с. 198), авторов: Арефьева (Ирина Глебовна), Пирютко (Ольга Николаевна), учебного пособия издательства Народная асвета.