Номер 3.200, страница 197 - гдз по алгебре 9 класс учебник Арефьева, Пирютко

Алгебра, 9 класс Учебник, авторы: Арефьева Ирина Глебовна, Пирютко Ольга Николаевна, издательство Народная асвета, Минск, 2019, голубого цвета

Авторы: Арефьева И. Г., Пирютко О. Н.

Тип: Учебник

Издательство: Народная асвета

Год издания: 2019 - 2025

Цвет обложки: голубой, синий с графиком

ISBN: 978-985-03-3077-2

Допущено Министерством образования Республики Беларусь

Популярные ГДЗ в 9 классе

Глава 3. Дробно-рациональные уравнения и неравенства. Параграф 13. Дробно-рациональные неравенства. Метод интервалов для решения рациональных неравенств - номер 3.200, страница 197.

№3.200 (с. 197)
Условие. №3.200 (с. 197)
скриншот условия
Алгебра, 9 класс Учебник, авторы: Арефьева Ирина Глебовна, Пирютко Ольга Николаевна, издательство Народная асвета, Минск, 2019, голубого цвета, страница 197, номер 3.200, Условие

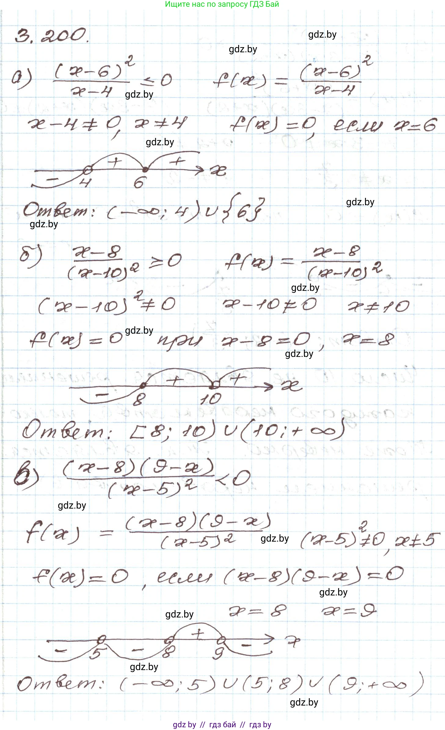
3.200. Решите неравенство:

а) $\frac{(x - 6)^2}{x - 4} \le 0;$

б) $\frac{x - 8}{(x - 10)^2} \ge 0;$

в) $\frac{(x - 8)(9 - x)}{(x - 5)^2} < 0;$

г) $\frac{(x + 6)^2}{(7 - 3x)(x + 2)} \ge 0.$

Верно ли, что число 10 является решением каждого неравенства; не является решением ни одного из неравенств?

Решение. №3.200 (с. 197)
Алгебра, 9 класс Учебник, авторы: Арефьева Ирина Глебовна, Пирютко Ольга Николаевна, издательство Народная асвета, Минск, 2019, голубого цвета, страница 197, номер 3.200, Решение Алгебра, 9 класс Учебник, авторы: Арефьева Ирина Глебовна, Пирютко Ольга Николаевна, издательство Народная асвета, Минск, 2019, голубого цвета, страница 197, номер 3.200, Решение (продолжение 2)
Решение 2. №3.200 (с. 197)

а) $\frac{(x-6)^2}{x-4} \le 0$

Решим неравенство методом интервалов.
1. Найдем область допустимых значений (ОДЗ). Знаменатель дроби не может быть равен нулю:
$x - 4 \neq 0 \implies x \neq 4$.
2. Найдем нули числителя и знаменателя.
Нуль числителя: $(x-6)^2 = 0 \implies x = 6$.
Нуль знаменателя: $x-4 = 0 \implies x = 4$.
3. Отметим найденные точки на числовой оси. Точка $x=6$ будет закрашенной (неравенство нестрогое), а точка $x=4$ — выколотой (ОДЗ).
4. Выражение $(x-6)^2$ всегда неотрицательно. При переходе через точку $x=6$ знак выражения не меняется, так как множитель $(x-6)$ стоит в четной степени.
Определим знаки на интервалах:

  • При $x > 6$: числитель положителен, знаменатель положителен. Дробь положительна.
  • При $4 < x < 6$: числитель положителен, знаменатель положителен. Дробь положительна.
  • При $x < 4$: числитель положителен, знаменатель отрицателен. Дробь отрицательна.

5. Нам нужны значения, где дробь меньше или равна нулю.
Дробь равна нулю при $x=6$.
Дробь меньше нуля при $x < 4$.
Объединяя эти условия, получаем решение: $x \in (-\infty, 4) \cup \{6\}$.

Ответ: $x \in (-\infty, 4) \cup \{6\}$.

б) $\frac{x-8}{(x-10)^2} \ge 0$

1. ОДЗ: $(x-10)^2 \neq 0 \implies x \neq 10$.
2. Знаменатель $(x-10)^2$ всегда положителен для всех $x$ из ОДЗ.
3. Так как знаменатель всегда положителен, знак дроби зависит только от знака числителя.
4. Таким образом, неравенство равносильно системе:
$\begin{cases} x - 8 \ge 0 \\ x \neq 10 \end{cases}$
5. Решаем систему:
$\begin{cases} x \ge 8 \\ x \neq 10 \end{cases}$
Это означает, что $x$ может принимать любые значения от 8 и больше, кроме 10.

Ответ: $x \in [8, 10) \cup (10, \infty)$.

в) $\frac{(x-8)(9-x)}{(x-5)^2} < 0$

1. ОДЗ: $(x-5)^2 \neq 0 \implies x \neq 5$.
2. Знаменатель $(x-5)^2$ всегда положителен для всех $x$ из ОДЗ.
3. Так как знаменатель положителен, знак дроби определяется знаком числителя. Неравенство строгое, поэтому числитель не может быть равен нулю.
$(x-8)(9-x) < 0$.
4. Решим это неравенство. Преобразуем его, чтобы коэффициент при старшей степени $x$ был положительным:
$-(x-8)(x-9) < 0$
$(x-8)(x-9) > 0$.
5. Корни выражения $x_1=8, x_2=9$. График функции $y=(x-8)(x-9)$ — парабола с ветвями вверх. Значения функции положительны вне интервала между корнями.
Таким образом, $x < 8$ или $x > 9$.
6. Учитываем ОДЗ ($x \neq 5$), которое попадает в интервал $x < 8$. Исключаем эту точку.

Ответ: $x \in (-\infty, 5) \cup (5, 8) \cup (9, \infty)$.

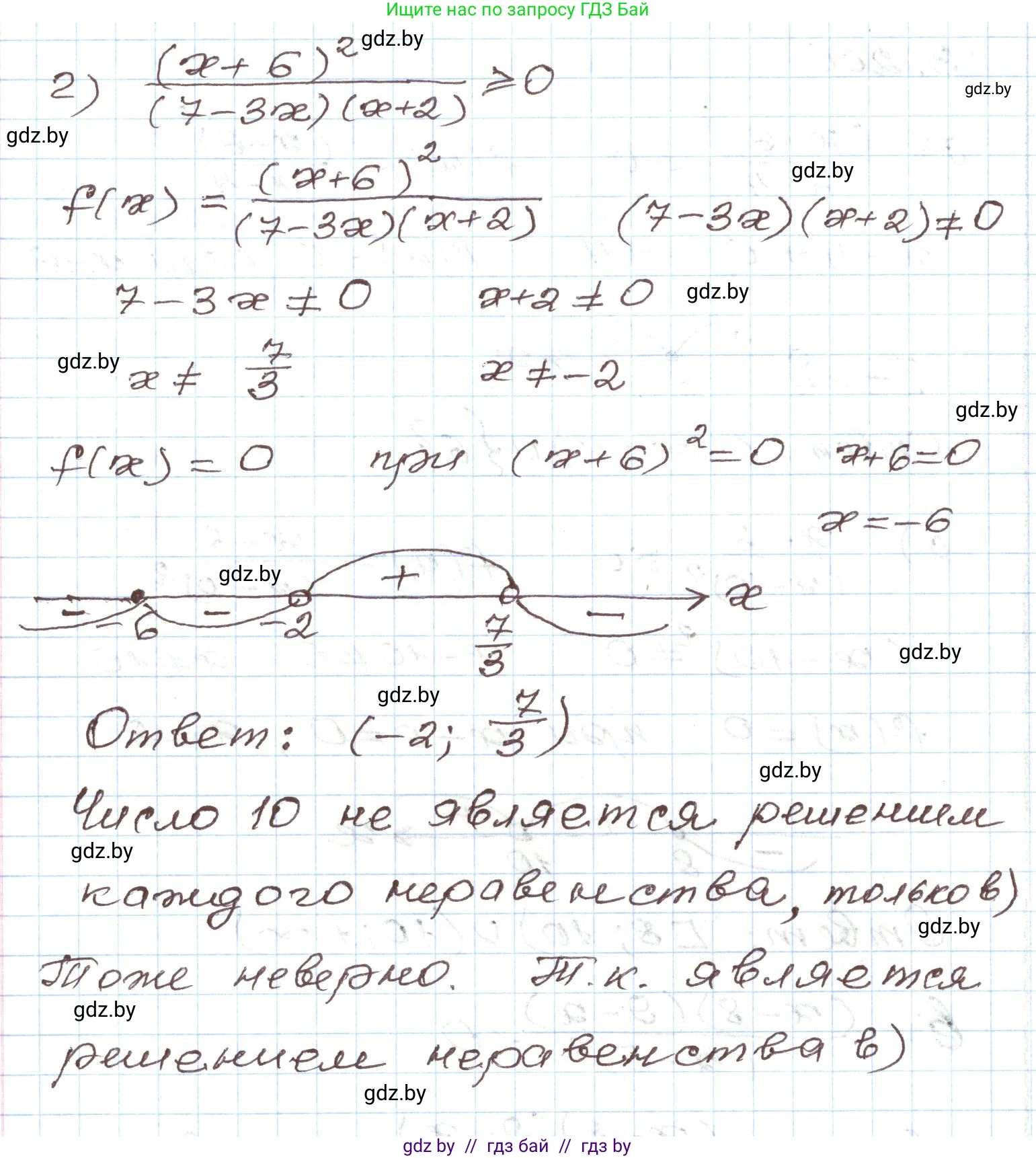
г) $\frac{(x+6)^2}{(7-3x)(x+2)} \ge 0$

1. ОДЗ: $(7-3x)(x+2) \neq 0$.
$7-3x \neq 0 \implies x \neq \frac{7}{3}$.
$x+2 \neq 0 \implies x \neq -2$.
2. Неравенство выполняется в двух случаях:
а) Дробь равна нулю. Это происходит, когда числитель равен нулю:
$(x+6)^2 = 0 \implies x = -6$. Эта точка входит в ОДЗ, значит, является решением.
б) Дробь строго больше нуля. Числитель $(x+6)^2$ положителен при $x \neq -6$. Следовательно, знаменатель также должен быть положителен:
$(7-3x)(x+2) > 0$.
3. Решим неравенство $(7-3x)(x+2) > 0$ методом интервалов. Корни: $x_1 = \frac{7}{3}, x_2 = -2$. График функции $y=(7-3x)(x+2)$ — парабола с ветвями вниз (коэффициент при $x^2$ отрицателен). Значения функции положительны между корнями.
$-2 < x < \frac{7}{3}$.
4. Объединяем полученные решения: $x=-6$ и $-2 < x < \frac{7}{3}$.
Представим неправильную дробь $\frac{7}{3}$ в виде смешанного числа: $\frac{7}{3} = 2\frac{1}{3}$.

Ответ: $x \in \{-6\} \cup (-2, \mathbf{2}\frac{1}{3})$.


Верно ли, что число 10 является решением каждого неравенства; не является решением ни одного из неравенств?

Проверим, является ли число 10 решением для каждого из неравенств, подставив $x=10$:

  • а) $\frac{(10-6)^2}{10-4} = \frac{16}{6} = \frac{8}{3}$. Неравенство $\frac{8}{3} \le 0$ неверно.
  • б) При $x=10$ знаменатель $(10-10)^2$ равен 0. Деление на ноль невозможно, $x=10$ не входит в ОДЗ.
  • в) $\frac{(10-8)(9-10)}{(10-5)^2} = \frac{2 \cdot (-1)}{25} = -\frac{2}{25}$. Неравенство $-\frac{2}{25} < 0$ верно.
  • г) $\frac{(10+6)^2}{(7-3 \cdot 10)(10+2)} = \frac{256}{(-23)(12)}$. Это отрицательное число. Неравенство $\ge 0$ неверно.

1. Утверждение "число 10 является решением каждого неравенства" — неверно, так как 10 является решением только неравенства в).
2. Утверждение "число 10 не является решением ни одного из неравенств" — неверно, так как 10 является решением неравенства в).

Ответ: Оба утверждения неверны.

Помогло решение? Оставьте отзыв в комментариях ниже.

Присоединяйтесь к Телеграм-группе @gdz_by_belarus

Присоединиться

Мы подготовили для вас ответ c подробным объяснением домашего задания по алгебре за 9 класс, для упражнения номер 3.200 расположенного на странице 197 к учебнику 2019 года издания для учащихся школ и гимназий.

Теперь на нашем сайте ГДЗ.ТОП вы всегда легко и бесплатно найдёте условие с правильным ответом на вопрос «Как решить ДЗ» и «Как сделать» задание по алгебре к упражнению №3.200 (с. 197), авторов: Арефьева (Ирина Глебовна), Пирютко (Ольга Николаевна), учебного пособия издательства Народная асвета.